Parameter Optimization and Development of Mini Infrared Lidar for Atmospheric Three-Dimensional Detection
Abstract
1. Introduction
2. Parameter Optimization
2.1. Model of Lidar
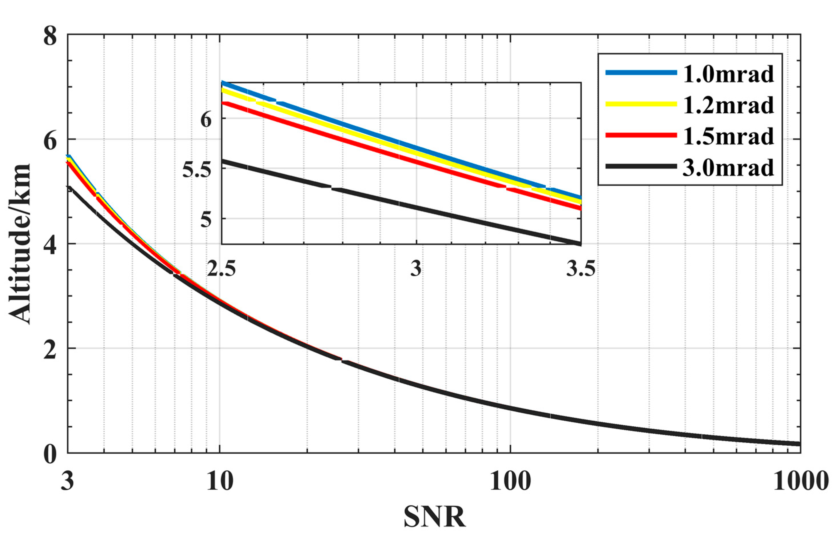
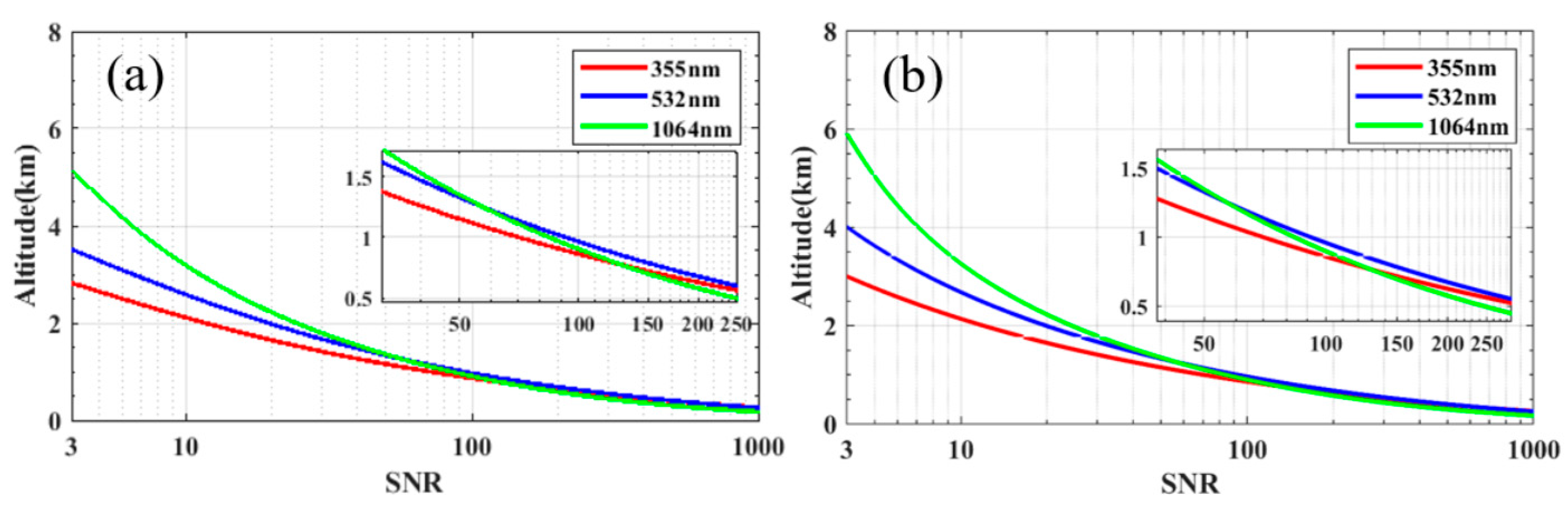
2.2. Optimization of Lidar Parameters
3. Development of mIRLidar System
4. Observations
5. Conclusions and Outlook
Author Contributions
Funding
Institutional Review Board Statement
Informed Consent Statement
Data Availability Statement
Acknowledgments
Conflicts of Interest
References
- Northend, C.A.; Honey, R.C.; Evans, W.E. Laser radar (lidar) for meteorological observations. Rev. Sci. Instrum. 1966, 37, 393–400. [Google Scholar] [CrossRef]
- Yin, Q.; He, J.H.; Zhang, H. Application of laser radar in monitoring meteorological and atmospheric environment. J. Meteorol. Environ. 2009, 25, 48–56. [Google Scholar]
- Pappalardo, G.; Amodeo, A.; Pandolfifi, M.; Wandinger, U.; Ansmann, A.; Bösenberg, J.; Matthias, V.; Amiridis, V.; Tomasi, F.D.; Frioud, M.; et al. Aerosol lidar intercomparison in the framework of the EARLINET project. 3. Ramanlidar algorithm for aerosol extinction, backscatter, and lidar ratio. Appl. Opt. 2004, 43, 5370–5385. [Google Scholar] [CrossRef]
- Brown, A.J.; Videen, G.; Zubko, E.; Heavens, N.; Schlegel, N.J.; Beccera, P.; Meyer, C.; Harrison, T.; Hayne, P.; Obbard, R.; et al. The case for a multi-channel polarization sensitive LIDAR for investigation of insolation-driven ices and atmospheres. Planetary Science Decadal Survey White Paper. ESS Open Arch. 2020. [Google Scholar] [CrossRef]
- Spinhirne, J.D. Micro pulse lidar. IEEE Trans. Geosci. Remote Sens. 1993, 31, 48–55. [Google Scholar] [CrossRef]
- Marchant, C.C.; Wilkerson, T.D.; Bingham, G.E.; Zavyalov, V.V.; Andersen, J.M.; Wright, C.B.; Cornelsen, S.S.; Martin, R.S.; Silva, P.J.; Hatfield, J.L. Aglite lidar: A portable elastic lidar system for investigating aerosol and wind motions at or around gricultural production facilities. J. Appl. Remote Sens. 2009, 3, 033511. [Google Scholar] [CrossRef]
- Lewis, J.R.; Campbell, J.; Welton, R.E.; Stewart, S.A.; Haftings, P.C. Overview of MPLNET, Version 3, cloud detection. J. Atmos. Ocean. Technol. 2016, 33, 2113–2134. [Google Scholar] [CrossRef]
- Gong, W.; Chyba, T.H.; Temple, D.A. Eye-safe compact scanning LIDAR technology. Opt. Lasers Eng. 2007, 45, 898–906. [Google Scholar] [CrossRef]
- Xie, C.B.; Zhao, M.; Wang, B.X.; Zhong, Z.Q.; Wang, L.; Liu, D.; Wang, Y.J. Study of the scanning lidar on the atmospheric detection. J. Quant. Spectrosc. Radiat. Transf. 2015, 150, 114–120. [Google Scholar] [CrossRef]
- Yan, Q.; Hua, D.X.; Wang, Y.F. Observations of the boundary layer structure and aerosol properties over Xi’an using an eye-safe Mie scattering lidar. J. Quant. Spectrosc. Radiat. Transf. 2013, 122, 97–105. [Google Scholar] [CrossRef]
- Chiang, C.W.; Das, S.K.; Chiang, H.W.; Nee, J.B.; Sun, S.H.; Chen, S.W.; Lin, P.H.; Chu, J.C.; Su, C.S.; Su, L.S. A new mobile and portable scanning lidar for profiling the lower troposphere. Geosci. Instrum. Methods Data Syst. 2015, 4, 35–44. [Google Scholar] [CrossRef]
- Xie, C.B.; Han, Y.; Li, C.; Yue, G.M.; Qi, F.D.; Fan, A.Y.; Yin, J.; Yuan, S.; Hou, J. Mobile lidar for visibility measurement. High Power Laser Part. Beams 2005, 17, 971–975. [Google Scholar]
- Mei, L.; Li, Y.C.; Kong, Z.; Ma, T.; Zhang, Z.; Fei, R.n.; Cheng, Y.; Gong, Z.F.; Liu, K. Mini-Scheimpflug lidar system for all-day atmospheric remote sensing in the boundary layer. Appl. Opt. 2020, 59, 6729–6736. [Google Scholar] [CrossRef]
- Shiina, T. LED mini Lidar for atmospheric application. Sensors 2019, 19, 569. [Google Scholar] [CrossRef] [PubMed]
- Liu, Z.; Sugimoto, N. Simulation study for cloud detection with space lidars by use of analog detection photomultiplier tubes. Appl. Opt. 2002, 41, 1750–1759. [Google Scholar] [CrossRef]
- Zhen, H.Z.; Peng, C.; Zhi, H.M. SOLS: An Open-Source Spaceborne Oceanic Lidar Simulator. Remote Sens. 2022, 14, 1849. [Google Scholar]
- Yuan, L.; Liu, B.; Wang, B.X.; Zhong, Z.Q.; Chen, T.; Qi, F.S.; Zhou, J. Design of Mobile 1064 nm Mie Scattering Lidar. Chin. J. Laser 2010, 37, 1721–1725. [Google Scholar] [CrossRef]
- Zhang, D.M.; Xu, C.D.; Yu, T.; Hu, H.L.; Du, Q.C.; Ji, Y.F. Development of scanning micro pulse lidar and its applications. J. Atmos. Environ. Opt. 2006, 1, 47–52. [Google Scholar]
- Fernald, F.G.; Herman, B.M.; Reagan, J.A. Determination of aerosol height distributions by lidar. J. Appl. Meteorol. Climatol. 1971, 11, 482–489. [Google Scholar] [CrossRef]
- Fernald, F.G. Analysis of Atmospheric Lidar Observations—Some Comments. Appl. Opt. 1984, 23, 652–653. [Google Scholar] [CrossRef]
- Takamura, T.; Sasano, Y. Ratio of aerosol backscatter to extinction coefficients as determined from angular scattering measurements for use in atmospheric lidar applications. Opt. Quantum Electron. 1987, 19, 293–302. [Google Scholar] [CrossRef]
- NOAA. US Standard Atmosphere; National Oceanic and Atmospheric Administration: Washington, DC, USA, 1976.
- Wu, D.C. Lidar Measurements of Atmospheric Aerosols and Water Vapor. Ph.D. Thesis, Chinese Academy of Science, Hefei, China, 2011. [Google Scholar]
- Baguckis, A.; Novickovas, A.; Mekys, A.; Tamosiunas, V. Compact hybrid solar simulator with the spectral match beyond class A. J. Photonics Energy 2016, 6, 10. [Google Scholar] [CrossRef]
- Ma, X.; Li, Y.X.; Huang, R.Y.; Ye, H.F.; Hou, Z.P.; Shi, Y.L. Development and application of short wavelength infrared detectors. Infrared Laser Eng. 2022, 51, 20210897. [Google Scholar]
- Tempeture dependence. Available online: https://www.alluxa.com/optical-filter-specs/temperature-dependence (accessed on 1 November 2022).
- Wang, K.X.; Chen, G.; Liu, D.Q.; Ma, C.; Zhang, Q.Y.; Gao, L.S. Fabrication of 0.2 nm bandwidth filter and effects of annealing temperature on its morphology and characteristics. Acta Opt. Sin. 2021, 41, 217–223. [Google Scholar]
- SPCM-AQRH, Single-Photon Counting Module, Silicon Avalanche Photodiode | Excelitas. Available online: https://www.excelitas.com/product/spcm-aqrh (accessed on 2 November 2022).
- Liu, S.; Bi, G.J.; Mao, X.J.; Li, T.Q.; Fang, J.C.; Liu, X.D. A solid state laser with narrow pulse time on the repetition of 10 kHz. Laser Infrared 2019, 49, 1333–1337. [Google Scholar]
- Yu, S.Q.; Liu, D.; Xu, J.W.; Wang, Z.Z.; Wu, D.C.; Shan, Y.P.; Shao, J.; Mao, M.J.; Qian, L.Y.; Wang, B.X.; et al. Optical properties and seasonal distribution of aerosol layers observed by lidar over Jinhua, southeast China. Atmos. Environ. 2021, 41, 19–27. [Google Scholar] [CrossRef]
- Xian, J.; Han, Y.; Huang, S.; Sun, D.; Li, X. Novel lidar algorithm for horizontal visibility measurement and sea fog monitoring. Opt. Express 2018, 26, 34853. [Google Scholar] [CrossRef]













| Parameters | Index | Values |
|---|---|---|
| Wavelength of laser | 355 nm, 532 nm, 1064 nm | |
| Quantum efficiency of detector | 30% (PMT @355 nm) 40% (PMT @532 nm) 3% (APD @1064 nm) | |
| Sky spectral radiance | 0.03 W/m2/Sr/nm (@355 nm) 0.12 W/m2/Sr/nm (@532 nm) 0.05 W/m2/Sr/nm (@1064 nm) | |
| The energy of laser pulse | 1~100 μJ | |
| FOV of telescope | 1.0 mrad, 1.2 mrad,1.5 mrad,3.0 mrad | |
| Diameter of telescope | 1~200 mm | |
| Bandwidth of filter | 0.1 nm, 0.3 nm, 0.5 nm, 1.0 nm | |
| The central of the filter(affected by temperature) | 1064 nm | |
| Dark count(affected by temperature) | 300 |
| Parameters | Value |
|---|---|
| Wavelength of laser | 1064 nm |
| Energy of pulse laser | 15 μJ |
| Diameter of telescope | 100 mm |
| FOV | 1.5 mrad |
| Bandwidth of Filter | 0.5 nm |
| Transmitter | |
|---|---|
| Laser wavelength | 1064.2 nm |
| Laser beam Divergence | 0.7 mrad |
| Energy of pulse laser | 15 μJ |
| Pulse repetition | 5 kHz |
| Pulse width | 3 ns |
| Beam size | 2.5 mm |
| Receiver | |
| Diameter of telescope | 100 mm |
| FOV | 1.5 mrad |
| Bandwidth of filter | 0.5 nm |
| Detector | APD |
| Acquisition mode | AD/16 bit |
| Sampling rate | 20 MHz |
| System | |
| Size | 200 × 200 × 420 mm |
| Weight | ~13.5 kg |
| Power | <100 W |
| Operating temperature | −40~50 °C |
Disclaimer/Publisher’s Note: The statements, opinions and data contained in all publications are solely those of the individual author(s) and contributor(s) and not of MDPI and/or the editor(s). MDPI and/or the editor(s) disclaim responsibility for any injury to people or property resulting from any ideas, methods, instructions or products referred to in the content. |
© 2023 by the authors. Licensee MDPI, Basel, Switzerland. This article is an open access article distributed under the terms and conditions of the Creative Commons Attribution (CC BY) license (https://creativecommons.org/licenses/by/4.0/).
Share and Cite
Kuang, Z.; Liu, D.; Wu, D.; Wang, Z.; Li, C.; Deng, Q. Parameter Optimization and Development of Mini Infrared Lidar for Atmospheric Three-Dimensional Detection. Sensors 2023, 23, 892. https://doi.org/10.3390/s23020892
Kuang Z, Liu D, Wu D, Wang Z, Li C, Deng Q. Parameter Optimization and Development of Mini Infrared Lidar for Atmospheric Three-Dimensional Detection. Sensors. 2023; 23(2):892. https://doi.org/10.3390/s23020892
Chicago/Turabian StyleKuang, Zhiqiang, Dong Liu, Decheng Wu, Zhenzhu Wang, Cheng Li, and Qian Deng. 2023. "Parameter Optimization and Development of Mini Infrared Lidar for Atmospheric Three-Dimensional Detection" Sensors 23, no. 2: 892. https://doi.org/10.3390/s23020892
APA StyleKuang, Z., Liu, D., Wu, D., Wang, Z., Li, C., & Deng, Q. (2023). Parameter Optimization and Development of Mini Infrared Lidar for Atmospheric Three-Dimensional Detection. Sensors, 23(2), 892. https://doi.org/10.3390/s23020892

