Spectra Reconstruction for Human Facial Color from RGB Images via Clusters in 3D Uniform CIELab* and Its Subordinate Color Space
Abstract
1. Introduction
2. Related Works
3. Method
3.1. HPCAPR Spectral Reconstruction Framework
3.1.1. General Two-Step Algorithm
3.1.2. Polynomial Dimensional Extension
BBBR BBBG RRGG RRBB GGBB RRGB GGRB BBRG].
3.1.3. PCA Dimension Reduction
3.2. Hybrid Spectral Reconstruction Framework (HPCAPR)
3.2.1. Combining PR and PCA
3.2.2. Spectra Reconstruction in Clusters Classified in a Subordinate Color Space
3.3. Results Evaluation
4. Experiment Design
4.1. Datasets
4.2. System Optimalization via Parameter Scanning
4.3. Further Scanning for Optimal Clusters
5. Results and Discussion
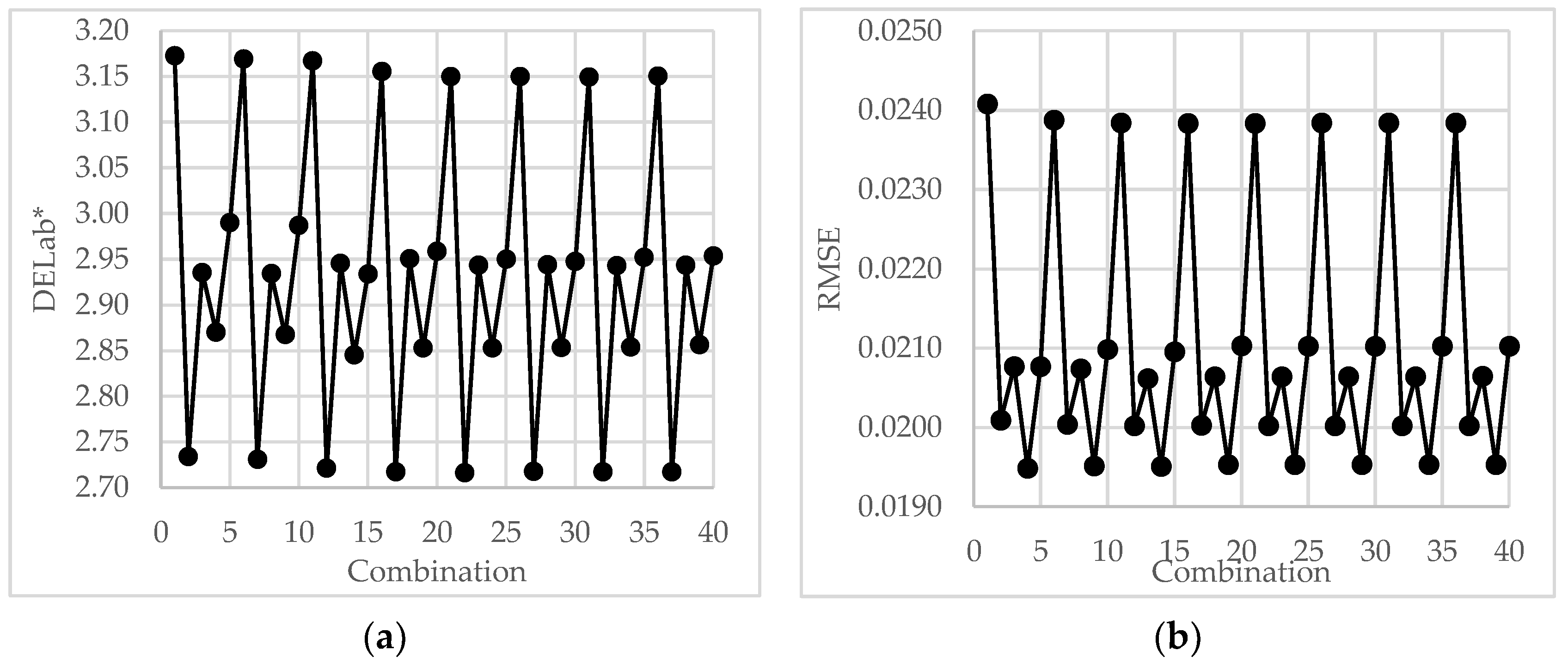
5.1. Optimal Parameters for the Hybrid Algorithm
5.1.1. Polynomial Order and Number of PCs
5.1.2. Size of Training Sets and Number of Iterations
5.1.3. Comparison with Separate PCA and the Polynomial Method
5.2. Spectra Reconstruction in Clusters Classified in a Subordinate Color Space
5.2.1. Protocol
- The iteration times were fixed at 300.
- The size of the training set was 40 samples, selected randomly from a larger ensemble set containing 608 samples or a subset thereof; the verification set comprised the rest of the samples of the corresponding dataset or subset.
- The CIE standard illuminant D65 was adopted.
- The evaluation index adopted DELAB* () color difference, regardless of the highly correlated spectral error index RMSE, and the subindices included mean, median, maximum, minimum, and standard deviation.
- Among the 300 iterations, the results of the best and worst groups in terms of mean are demonstrated.
- Five groups of results are given considering random variations in the k-means algorithm.
5.2.2. Spectral Reconstruction in the 2D La* Color Subspace
5.2.3. Clustering in the 2D La* Color Subspace by Cosine Distance
5.3. Improvement of the Proposed HPCAPR Framework
6. Conclusions
Author Contributions
Funding
Institutional Review Board Statement
Informed Consent Statement
Data Availability Statement
Acknowledgments
Conflicts of Interest
References
- Wang, J.; Yu, X.; Liu, Q.; Yang, Z. Research on key technologies of intelligent transportation based on image recognition and anti-fatigue driving. EURASIP J. Image Video Process. 2019, 2019, 33. [Google Scholar] [CrossRef]
- Kim, G.; Ko, H. A practical approach to Physically-Based reproduction of diffusive cosmetics. Comput. Graph. Forum 2018, 37, 223–232. [Google Scholar] [CrossRef]
- Li, C.; Zhou, K.; Wu, H.; Lin, S. Physically-based simulation of cosmetics via intrinsic image decomposition with facial priors. IEEE Trans. Pattern Anal. Mach. Intell. 2019, 41, 1455–1469. [Google Scholar] [CrossRef] [PubMed]
- Baranoski, G.V.; Chen, T.F.; Krishnaswamy, A. Multilayer Modeling of Skin Color and Translucency. In Computational Biophysics of the Skin; Querleux, B., Ed.; Jenny Stanford Publishing: Dubai, The United Arab Emirates, 2014; pp. 978–981. [Google Scholar] [CrossRef]
- Widdowson, D.C.; Moore, J.C.; Wright, P.A.; Shakespeare, P.G. Determination of the effects of blood depth in the dermis on skin colour in a novel skin phantom using digital imaging. Lasers Med. Sci. 2010, 25, 55–59. [Google Scholar] [CrossRef]
- Guttman, C. Cutaneous disease in skin of color surfaces as new vital field of study. Dermatol. Times 2004, 25, 44. [Google Scholar]
- Sohaib, A.; Amano, K.; Xiao, K.; Yates, J.M.; Whitford, C.; Wuerger, S.M. Colour quality of facial prostheses in additive manufacturing. Int. J. Adv. Manuf. Technol. 2018, 96, 881–894. [Google Scholar] [CrossRef]
- Wyszecki, G.; Stiles, W. Color Science: Concepts and Methods, Quantitative Data and Formulae, 2nd ed.; John Wiley & Sons: Hoboken, NJ, USA, 1982. [Google Scholar]
- Yudovsky, D.; Pilon, L. Rapid and accurate estimation of blood saturation, melanin content, and epidermis thickness from spectral diffuse reflectance. Appl. Opt. 2010, 49, 1707–1719. [Google Scholar] [CrossRef]
- Anderson, R.R.; Parrish, J.A. The optics of human skin. J. Investig. Dermatol. 1981, 77, 13–19. [Google Scholar] [CrossRef]
- Van Gemert, M.J.; Jacques, S.L.; Sterenborg, H.J.; Star, W.M. Skin optics. IEEE Trans. Biomed. Eng. 1989, 36, 1146–1154. [Google Scholar] [CrossRef]
- Bashkatov, A.N.; Genina, E.A.; Tuchin, V.V. Optical properties of skin, subcutaneous, and muscle tissues: A review. J. Innov. Opt. Health Sci. 2011, 4, 9–38. [Google Scholar] [CrossRef]
- Fullerton, A.; Fischer, T.; Lahti, A.; Wilhelm, K.; Takiwaki, H.; Serup, J. Guidelines for measurement skin colour and erythema, A report from the Standardization Group of the European Society of Contact Dermatitis. Contact Dermat. 1996, 35, 1–10. [Google Scholar] [CrossRef] [PubMed]
- Piérard, G.E. EEMCO guidance for the assessment of skin colour. J. Eur. Acad. Dermatol. Venereol. JEADV 1998, 10, 1–11. [Google Scholar] [CrossRef]
- Wang, Y.; Luo, M.R.; Wang, M.; Xiao, K.; Pointer, M.R. Spectrophotometric measurement of human skin colour. Color Res. Appl. 2017, 42, 764–774. [Google Scholar] [CrossRef]
- Wang, M.; Xiao, K.; Luo, M.R.; Pointer, M.R.; Cheung, V.; Wuerger, S.M. An investigation into the variability of skin colour measurements. Color Res. Appl. 2018, 43, 458–470. [Google Scholar] [CrossRef]
- Nkengne, A.; Robic, J.; Seroul, P.; Gueheunneux, S.; Jomier, M.; Vie, K. SpectraCam®: A new polarized hyperspectral imaging system for repeatable and reproducible in vivo skin quantification of melanin, total hemoglobin, and oxygen saturation. Ski. Res. Technol. 2018, 24, 99–107. [Google Scholar] [CrossRef]
- Gevaux, L.; Adnet, C.; Séroul, P.; Clerc, R.; Trémeau, A.; Perrot, J.L.; Hébert, M. Three-dimensional hyperspectral imaging: A new method for human face acquisition. Electron. Imaging 2018, 2018, 152-1–152-10. [Google Scholar] [CrossRef]
- Jacques, S.L. Spectral imaging and analysis to yield tissue optical properties. J. Innov. Opt. Health Sci. 2009, 2, 123–129. [Google Scholar] [CrossRef]
- Nishidate, I.; Maeda, T.; Niizeki, K.; Aizu, Y. Estimation of melanin and hemoglobin using spectral reflectance images reconstructed from a digital rgb image by the wiener estimation method. Sensors 2013, 13, 7902–7915. [Google Scholar] [CrossRef]
- Imai, F.H.; Tsumura, N.; Haneishi, H.; Miyake, Y. Principal component analysis of skin color and its application to colorimetric color reproduction on CRT display and hardcopy. J. Imaging Sci. Technol. 1996, 40, 422–430. [Google Scholar]
- Xiao, K.; Zhu, Y.; Li, C.; Connah, D.; Yates, J.M.; Wuerger, S. Improved method for skin reflectance reconstruction from camera images. Opt. Express 2016, 24, 14934. [Google Scholar] [CrossRef]
- He, R.; Xiao, K.; Pointer, M.R.; Bressler, Y.; Liu, Z.; Lu, Y. Development of an image-based measurement system for human facial skin colour. Color Res. Appl. 2021, 47, 288–300. [Google Scholar] [CrossRef]
- He, R.; Xiao, K.; Pointer, M.; Bressler, Y.; Liu, Z.; Lu, Y. A novel camera color characterization model for the color measurement of human skin. Electron. Imaging 2021, 33, 222-1–222-6. [Google Scholar] [CrossRef]
- Ma, L.; Zhu, Y. Skin spectral reconstruction in multispectral imaging. Image and Graphics Technologies and Applications. In Proceedings of the 16th Chinese Conference on lmage and Graphics Technologies, Beijing, China, 6–7 June 2021; pp. 11–22. [Google Scholar]
- Chong, H.Y.; Gortler, S.J.; Zickler, T.E. The von Kries Hypothesis and a Basis for Color Constancy. In Proceedings of the 2007 IEEE 11th International Conference on Computer Vision, Rio de Janeiro, Brazil, 14–21 October 2007; pp. 1–8. [Google Scholar] [CrossRef]
- Abdi, H.; Williams, L.J. Principal component analysis. Wiley Interdiscip. Rev. Comput. Stat. 2010, 2, 433–459. [Google Scholar] [CrossRef]
- Zhang, X.; Xu, H. Reconstructing spectral reflectance by dividing spectral space and extending the principal components in principal component analysis. J. Opt. Soc. America. A Opt. Image Sci. Vis. 2008, 25, 371–378. [Google Scholar] [CrossRef] [PubMed]
- Cheng, C.; Schneeweiß, H. Polynomial regression with errors in the variables. J. R. Stat. Soc. Ser. B Stat. Methodol. 1998, 60, 189–199. [Google Scholar] [CrossRef]
- Liu, Z.; Xiao, K.; Pointer, M.R.; Liu, Q.; Li, C.; He, R.; Xie, X. Spectral Reconstruction Using an Iteratively Reweighted Regulated Model from Two Illumination Camera Responses. Sensors 2021, 21, 7911. [Google Scholar] [CrossRef]
- Li, S. Filter selection for optimizing the spectral sensitivity of broadband multispectral cameras based on maximum linear independence. Sensors 2018, 18, 1455. [Google Scholar] [CrossRef]
- Cao, B.; Liao, N.; Cheng, H. Spectral reflectance reconstruction from RGB images based on weighting smaller color difference group. Color Res. Appl. 2017, 42, 327–332. [Google Scholar] [CrossRef]
- Kamimura, K.; Tsumura, N.; Nakaguchi, T.; Miyake, Y. Evaluation and analysis for spectral reflectance imaging of human skin. In Proceedings of the Color Imaging X: Process. Hardcopy Applications, San Jose, CA, USA, 17–20 January 2005; pp. 30–37. [Google Scholar] [CrossRef]
- Shen, H.; Xin, J.H. Estimation of spectral reflectance of object surfaces with the consideration of perceptual color space. Opt. Lett. 2007, 32, 96–98. [Google Scholar] [CrossRef]
- Liang, J.; Zhu, Q.; Liu, Q.; Xiao, K. Optimal selection of representative samples for efficient digital camera-based spectra recovery. Color Res. Appl. 2022, 47, 107–120. [Google Scholar] [CrossRef]
- Li, S.-X. Superiority of optimal broadband filter sets under lower noise levels in multispectral color imaging. Color Res. Appl. 2021, 46, 783–790. [Google Scholar] [CrossRef]
- Arthur, D.; Vassilvitskii, S. k-means++: The advantages of careful seeding. SODA ‘07. In Proceedings of the Eighteenth Annual ACM-SIAM Symposium on Discrete Algorithms; Society for Industrial and Applied Mathematics: Philadelphia, PA, USA, 2007; pp. 1027–1035. [Google Scholar]
- Weyrich, T.; Matusik, W.; Pfister, H.; Bickel, B.; Donner, C.; Tu, C.; McAndless, J.; Lee, J.; Ngan, A.; Jensen, H.W.; et al. Analysis of human faces using a measurement-based skin reflectance model. ACM Trans. Graph. 2006, 25, 1013–1024. [Google Scholar] [CrossRef]
- Fitzpatrick, T.B. The Validity and Practicality of Sun-Reactive Skin Types I Through VI. Arch. Dermatol. 1988, 124, 869–871. [Google Scholar] [CrossRef] [PubMed]











| Method | Ref. | Optimal Algorithm | PCA Source | Calibration Data |
|---|---|---|---|---|
| PR | F. H Imai, et al., 1996 [21] | HDTV RGB to RGB via XYZ by PCA method and second order polynomial regression | Skin reflectance dataset | 108 reflectance spectra from 54 human faces |
| PRPCA | K. Xiao et al., 2016 [22] | Direct RGB polynomial regression to reflectance spectra via PCA method | Skin reflectance spectra dataset | Spectra matching silicon skin color chart |
| RFOPR | R. He et al., 2021 [23] | Raw RGB to reflectance spectra by first order polynomial regression | Not applicable | 200 pieces of skin data collected using five facial locations on 40 human faces. |
| P2XYZ | R. He et al., 2021 [24] | RGB to XYZ via first order polynomial regression | Not applicable | facial skin data from 60 human faces |
| PRPCAR | L. Ma et al., 2021 [25] | RGB to reflectance spectra via second order polynomial regression plus 3PCs with regulated denoise item | 4392 pieces of data from a 482 subject database; different from the silicon skin dataset | 90 pieces of skin data from a silicon skin database |
| HPCAPR | Proposed in this article | RGB to reflectance spectra by first order polynomial regression plus 3PCs with modifying subset training | Skin reflectance selected uniformly from subsets | 40 pieces of skin data uniformly selected from a k-means subset in the La* 2D color subspace |
| Combination | 1 | 2 | 3 | 4 | 5 | 6 | 7 | 8 | 9 | 10 | 11 | 12 | 13 | 14 | 15 | 16 | 17 | 18 | 19 | 20 |
|---|---|---|---|---|---|---|---|---|---|---|---|---|---|---|---|---|---|---|---|---|
| Items | 3 | 4 | 10 | 20 | 35 | 3 | 4 | 10 | 20 | 35 | 3 | 4 | 10 | 20 | 35 | 3 | 4 | 10 | 20 | 35 |
| PCs | 3 | 3 | 3 | 3 | 3 | 4 | 4 | 4 | 4 | 4 | 5 | 5 | 5 | 5 | 5 | 6 | 6 | 6 | 6 | 6 |
| Combination | 21 | 22 | 23 | 24 | 25 | 26 | 27 | 28 | 29 | 30 | 31 | 32 | 33 | 34 | 35 | 36 | 37 | 38 | 39 | 40 |
| Items | 3 | 4 | 10 | 20 | 35 | 3 | 4 | 10 | 20 | 35 | 3 | 4 | 10 | 20 | 35 | 3 | 4 | 10 | 20 | 35 |
| PCs | 7 | 7 | 7 | 7 | 7 | 8 | 8 | 8 | 8 | 8 | 9 | 9 | 9 | 9 | 9 | 10 | 10 | 10 | 10 | 10 |
| 3PCs+1st-Order | 1st-Order | 3PCs | RGB | |
|---|---|---|---|---|
| DE Lab* | 2.87 | 2.91 | 3.17 | 3.42 |
| RMSE | 0.0218 | 0.0221 | 0.241 | 0.0273 |
| Mean | Median | Max | Min | Std | |
|---|---|---|---|---|---|
| K = 5,’sqeuclidean’ | |||||
| Best mean | 2.31 | 2.06 | 4.10 | 0.92 | 1.24 |
| Worst mean | 4.00 | 3.81 | 6.23 | 1.36 | 1.75 |
| K = 5,’cityblock’ | |||||
| Best mean | 2.49 | 2.39 | 4.96 | 0.51 | 1.34 |
| Worst mean | 3.83 | 3.63 | 9.41 | 0.83 | 2.02 |
| K = 5,’cosine’ | |||||
| Best mean | 2.16 | 1.93 | 4.04 | 0.95 | 1.26 |
| Worst mean | 4.03 | 3.80 | 6.16 | 1.25 | 1.72 |
| Cluster in La* Space | No Cluster | |||||||||
|---|---|---|---|---|---|---|---|---|---|---|
| Cluster | Mean | Median | Max | Min | Std | Mean | Median | Max | Min | Std |
| Best 1 | 2.12 | 1.93 | 4.01 | 0.99 | 1.24 | 2.8 | 2.56 | 9.41 | 0.26 | 1.43 |
| Best 2 | 2.12 | 1.93 | 4.01 | 0.99 | 1.24 | 2.81 | 2.59 | 9.87 | 0.12 | 1.49 |
| Best 3 | 2.12 | 1.93 | 4.01 | 0.99 | 1.24 | 2.8 | 2.57 | 9.41 | 0.38 | 1.5 |
| Best 4 | 2.32 | 1.93 | 4.15 | 0.77 | 1.33 | 2.83 | 2.57 | 9.6 | 0.4 | 1.48 |
| Best 5 | 2.12 | 1.93 | 4.01 | 0.99 | 1.24 | 2.8 | 2.6 | 9.28 | 0.11 | 1.43 |
| Best Mean | 2.16 | 1.93 | 4.04 | 0.95 | 1.26 | 2.81 | 2.58 | 9.51 | 0.25 | 1.47 |
| worst 1 | 4.10 | 3.83 | 6.08 | 1.23 | 1.64 | 3.29 | 3.01 | 10.74 | 0.67 | 1.65 |
| worst 2 | 4.10 | 3.83 | 6.08 | 1.23 | 1.64 | 3.43 | 3.05 | 9.44 | 0.28 | 1.9 |
| Worst 3 | 4.10 | 3.83 | 6.08 | 1.23 | 1.64 | 3.37 | 3.09 | 10.31 | 0.43 | 1.74 |
| Worst 4 | 4.10 | 3.83 | 6.08 | 1.23 | 1.64 | 3.45 | 3.04 | 10.26 | 0.32 | 1.89 |
| Worst 5 | 3.76 | 3.68 | 6.48 | 1.32 | 2.05 | 3.5 | 3.01 | 12.49 | 0.2 | 2.05 |
| Worst Mean | 4.03 | 3.80 | 6.16 | 1.25 | 1.72 | 3.41 | 3.04 | 10.65 | 0.38 | 1.85 |
Disclaimer/Publisher’s Note: The statements, opinions and data contained in all publications are solely those of the individual author(s) and contributor(s) and not of MDPI and/or the editor(s). MDPI and/or the editor(s) disclaim responsibility for any injury to people or property resulting from any ideas, methods, instructions or products referred to in the content. |
© 2023 by the authors. Licensee MDPI, Basel, Switzerland. This article is an open access article distributed under the terms and conditions of the Creative Commons Attribution (CC BY) license (https://creativecommons.org/licenses/by/4.0/).
Share and Cite
Li, S.; Xiao, K.; Li, P. Spectra Reconstruction for Human Facial Color from RGB Images via Clusters in 3D Uniform CIELab* and Its Subordinate Color Space. Sensors 2023, 23, 810. https://doi.org/10.3390/s23020810
Li S, Xiao K, Li P. Spectra Reconstruction for Human Facial Color from RGB Images via Clusters in 3D Uniform CIELab* and Its Subordinate Color Space. Sensors. 2023; 23(2):810. https://doi.org/10.3390/s23020810
Chicago/Turabian StyleLi, Suixian, Kaida Xiao, and Pingqi Li. 2023. "Spectra Reconstruction for Human Facial Color from RGB Images via Clusters in 3D Uniform CIELab* and Its Subordinate Color Space" Sensors 23, no. 2: 810. https://doi.org/10.3390/s23020810
APA StyleLi, S., Xiao, K., & Li, P. (2023). Spectra Reconstruction for Human Facial Color from RGB Images via Clusters in 3D Uniform CIELab* and Its Subordinate Color Space. Sensors, 23(2), 810. https://doi.org/10.3390/s23020810

