A Simulated Investigation of Lithium Niobate Orientation Effects on Standing Acoustic Waves
Abstract
:1. Introduction
2. Materials and Methods
2.1. Model Equation
2.2. Computational Domain
2.2.1. Two-Dimensional Domain
2.2.2. Three-Dimensional Domain
2.2.3. Mesh and Boundary Conditions
2.2.4. Crystal Orientation
2.2.5. Numerical Simulation
3. Results and Discussion
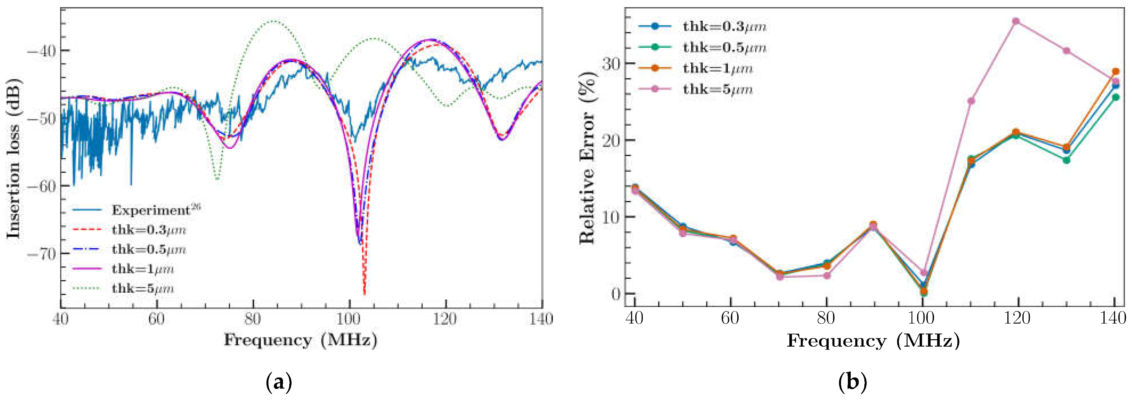
3.1. Validation of a Model
3.2. Characteristics of Parameters
3.2.1. Thickness
3.2.2. 3D Model
3.3. SAW
3.3.1. Single Direction Travelling SAW
3.3.2. Bi-Directional/s SAW
3.3.3. Bi-Directional Wave Delay
4. Conclusions
Author Contributions
Funding
Institutional Review Board Statement
Data Availability Statement
Acknowledgments
Conflicts of Interest
Appendix A. Additional Simulation Results
Appendix A.1. Deformation Contour of 3D Model for Electrode Length 4500 µm

Appendix A.2. Deformation Contour for Electrode Length 4500 µm: Single Direction

Appendix A.3. Deformation Contour for Electrode Length 4500 µm: Bi-Direction

Appendix A.4. Deformation Contour for Electrode Length 300 µm: Single Direction

Appendix A.5. Comparison of Displacement Components for Electrode Length 300 µm and Length 4500 µm: Single Direction



Appendix A.6. Comparison of Displacement Components under Single Direction, bi-Direction and bi-Direction (Wave Delay) for Electrode Length 4500 µm



References
- Rufo, J.; Cai, F.; Friend, J.; Wiklund, M.; Huang, T.J. Acoustofluidics for Biomedical Applications. Nat. Rev. Methods Primers 2022, 2, 30. [Google Scholar] [CrossRef]
- Destgeer, G.; Sung, H.J. Recent Advances in Microfluidic Actuation and Micro-Object Manipulation via Surface Acoustic Waves. Lab Chip 2015, 15, 2722–2738. [Google Scholar] [CrossRef]
- Winkler, A.; Bergelt, P.; Hillemann, L.; Menzel, S. Influence of Viscosity in Fluid Atomization with Surface Acoustic Waves. OJA 2016, 6, 23–33. [Google Scholar] [CrossRef]
- Wu, M.; Ouyang, Y.; Wang, Z.; Zhang, R.; Huang, P.-H.; Chen, C.; Li, H.; Li, P.; Quinn, D.; Dao, M.; et al. Isolation of Exosomes from Whole Blood by Integrating Acoustics and Microfluidics. Proc. Natl. Acad. Sci. USA 2017, 114, 10584–10589. [Google Scholar] [CrossRef] [PubMed]
- Zhang, S.P.; Lata, J.; Chen, C.; Mai, J.; Guo, F.; Tian, Z.; Ren, L.; Mao, Z.; Huang, P.-H.; Li, P.; et al. Digital Acoustofluidics Enables Contactless and Programmable Liquid Handling. Nat. Commun. 2018, 9, 2928. [Google Scholar] [CrossRef]
- Togami, Y.; Chiba, T. Observation of Bulk Waves and Surface Waves through Side Planes of Several Cuts of LiNbO3 SAW Devices. J. Appl. Phys. 1978, 49, 3587–3589. [Google Scholar] [CrossRef]
- Namnabat, M.S.; Moghimi Zand, M.; Houshfar, E. 3D Numerical Simulation of Acoustophoretic Motion Induced by Boundary-Driven Acoustic Streaming in Standing Surface Acoustic Wave Microfluidics. Sci. Rep. 2021, 11, 13326. [Google Scholar] [CrossRef]
- Li, P.; Mao, Z.; Peng, Z.; Zhou, L.; Chen, Y.; Huang, P.-H.; Truica, C.I.; Drabick, J.J.; El-Deiry, W.S.; Dao, M.; et al. Acoustic Separation of Circulating Tumor Cells. Proc. Natl. Acad. Sci. USA 2015, 112, 4970–4975. [Google Scholar] [CrossRef]
- Wu, M.; Ozcelik, A.; Rufo, J.; Wang, Z.; Fang, R.; Jun Huang, T. Acoustofluidic Separation of Cells and Particles. Microsyst. Nanoeng. 2019, 5, 32. [Google Scholar] [CrossRef]
- Connacher, W.; Zhang, N.; Huang, A.; Mei, J.; Zhang, S.; Gopesh, T.; Friend, J. Micro/Nano Acoustofluidics: Materials, Phenomena, Design, Devices, and Applications. Lab Chip 2018, 18, 1952–1996. [Google Scholar] [CrossRef]
- Janardhana, R.D.; Jackson, N. Characteristics of Input Signal of a XY and YX Cut LiNbO3 Saw Using Finite Element Modeling. In Proceedings of the ASME International Mechanical Engineering Congress and Exposition, New Orleans, LA, USA, 29 October–2 November 2023. [Google Scholar]
- Ding, X.; Lin, S.-C.S.; Kiraly, B.; Yue, H.; Li, S.; Chiang, I.-K.; Shi, J.; Benkovic, S.J.; Huang, T.J. On-Chip Manipulation of Single Microparticles, Cells, and Organisms Using Surface Acoustic Waves. Proc. Natl. Acad. Sci. USA 2012, 109, 11105–11109. [Google Scholar] [CrossRef] [PubMed]
- Ren, L.; Yang, S.; Zhang, P.; Qu, Z.; Mao, Z.; Huang, P.; Chen, Y.; Wu, M.; Wang, L.; Li, P.; et al. Standing Surface Acoustic Wave (SSAW)-Based Fluorescence-Activated Cell Sorter. Small 2018, 14, 1801996. [Google Scholar] [CrossRef]
- Li, S.; Ding, X.; Guo, F.; Chen, Y.; Lapsley, M.I.; Lin, S.-C.S.; Wang, L.; McCoy, J.P.; Cameron, C.E.; Huang, T.J. An On-Chip, Multichannel Droplet Sorter Using Standing Surface Acoustic Waves. Anal. Chem. 2013, 85, 5468–5474. [Google Scholar] [CrossRef] [PubMed]
- Shi, J.; Mao, X.; Ahmed, D.; Colletti, A.; Huang, T.J. Focusing Microparticles in a Microfluidic Channel with Standing Surface Acoustic Waves (SSAW). Lab Chip 2008, 8, 221–223. [Google Scholar] [CrossRef]
- Ding, X.; Shi, J.; Lin, S.-C.S.; Yazdi, S.; Kiraly, B.; Huang, T.J. Tunable Patterning of Microparticles and Cells Using Standing Surface Acoustic Waves. Lab Chip 2012, 12, 2491. [Google Scholar] [CrossRef] [PubMed]
- Lv, H.; Chen, X.; Zhang, Y.; Wang, X.; Zeng, X.; Zhang, D. Two-stage Particle Separation Channel Based on Standing Surface Acoustic Wave. J. Microsc. 2022, 286, 42–54. [Google Scholar] [CrossRef]
- Ni, Z.; Yin, C.; Xu, G.; Xie, L.; Huang, J.; Liu, S.; Tu, J.; Guo, X.; Zhang, D. Modelling of SAW-PDMS Acoustofluidics: Physical Fields and Particle Motions Influenced by Different Descriptions of the PDMS Domain. Lab Chip 2019, 19, 2728–2740. [Google Scholar] [CrossRef]
- Hsu, J.-C.; Chao, C.-L. Full-Wave Modeling of Micro-Acoustofluidic Devices Driven by Standing Surface Acoustic Waves for Microparticle Acoustophoresis. J. Appl. Phys. 2020, 128, 124502. [Google Scholar] [CrossRef]
- Skov, N.R.; Sehgal, P.; Kirby, B.J.; Bruus, H. Three-Dimensional Numerical Modeling of Surface-Acoustic-Wave Devices: Acoustophoresis of Micro- and Nanoparticles Including Streaming. Phys. Rev. Appl. 2019, 12, 044028. [Google Scholar] [CrossRef]
- COMSOL Multiphysicss®, v. 6.1. COMSOL, Inc. Available online: https://cn.comsol.com/ (accessed on 3 October 2023).
- Ballantine, D.; White, R.; Martin, S.; Ricco, A.; Zellers, E.; Frye, G.; Wohljen, H. Acoustic Wave Sensors: Theory, Design, and Physico-Chemical Applications; Applications of Modern Acoustics Series; Academic Press: San Diego, CA, USA, 1997; ISBN 978-0-12-077460-9. [Google Scholar]
- Xu, G.; Jiang, Q. A Finite Element Analysis of Second Order Effects on the Frequency Response of a SAW Device. J. Intell. Mater. Syst. Struct. 2001, 12, 69–77. [Google Scholar] [CrossRef]
- Morgan, D.P. Surface Acoustic Wave Filters: With Applications to Electronic Communications and Signal Processing, 2nd ed.; Academic Press: Amsterdam, The Netherlands; London, UK, 2007; ISBN 978-0-12-372537-0. [Google Scholar]
- Reddy, J.N. Introduction to the Finite Element Method, 4th ed.; McGraw Hill Education: New York, NY, USA, 2019; ISBN 978-1-259-86190-1. [Google Scholar]
- Ippolito, S.J. Investigation of Multilayered Surface Acoustic Wave Devices for Gas Sensing Applications: Employing Piezoelectric Intermediate and Nanocrystalline Metal Oxide Sensitive Layers. Ph.D. Thesis, RMIT University, Melbourne, Australia, 2006. [Google Scholar]
- Kabir, K.M.M.; Matthews, G.I.; Sabri, Y.M.; Russo, S.P.; Ippolito, S.J.; Bhargava, S.K. Development and Experimental Verification of a Finite Element Method for Accurate Analysis of a Surface Acoustic Wave Device. Smart Mater. Struct. 2016, 25, 035040. [Google Scholar] [CrossRef]
- Datta, S. Piezoelectric Materials: Crystal Orientation and Poling Direction. COMSOL Blog. Available online: https://www.comsol.com/blogs/piezoelectric-materials-crystal-orientation-poling-direction/ (accessed on 3 October 2023).
- Xu, G. Direct Finite-Element Analysis of the Frequency Response of a Y-Z Lithium Niobate SAW Filter. Smart Mater. Struct. 2000, 9, 973–980. [Google Scholar] [CrossRef]
- Rao, Y.L. Nanostructure-Enhanced Surface Acoustic Love Wave Devices for Biosensing Applications. Ph.D. Thesis, University of Georgia, Athens, GA, USA, 2008. [Google Scholar]
- Ippolito, S.J.; Kalantar-Zadeh, K.; Powell, D.A.; Wlodarski, W. A 3-Dimensional Finite Element Approach for Simulating Acoustic Wave Propagation in Layered SAW Devices. In Proceedings of the IEEE Symposium on Ultrasonics, Honolulu, HI, USA, 5–8 October 2003; pp. 303–306. [Google Scholar]
- Fakhfouri, A.; Colditz, M.; Devendran, C.; Ivanova, K.; Jacob, S.; Neild, A.; Winkler, A. Fully Microfabricated Surface Acoustic Wave Tweezer for Collection of Submicron Particles and Human Blood Cells. ACS Appl. Mater. Interfaces 2023, 15, 24023–24033. [Google Scholar] [CrossRef] [PubMed]
- Fan, Y.; Wang, X.; Ren, J.; Lin, F.; Wu, J. Recent Advances in Acoustofluidic Separation Technology in Biology. Microsyst. Nanoeng. 2022, 8, 94. [Google Scholar] [CrossRef] [PubMed]















| Total Number of Elements (N) | Number of Elements Per Wavelength (λ) | |
|---|---|---|
| Case 1 | 31,540 | 20 |
| Case 2 | 60,080 | 40 |
| Case 3 | 88,910 | 80 |
| Case 4 | 146,570 | 160 |
| Case 5 | 204,230 | 240 |
| Property | Aluminum (IDT) |
|---|---|
| Young’s Modulus (kPa) | 70 × 109 |
| Poisson’s ratio | 0.33 |
| Density (kg/m3) | 2700 |
Disclaimer/Publisher’s Note: The statements, opinions and data contained in all publications are solely those of the individual author(s) and contributor(s) and not of MDPI and/or the editor(s). MDPI and/or the editor(s) disclaim responsibility for any injury to people or property resulting from any ideas, methods, instructions or products referred to in the content. |
© 2023 by the authors. Licensee MDPI, Basel, Switzerland. This article is an open access article distributed under the terms and conditions of the Creative Commons Attribution (CC BY) license (https://creativecommons.org/licenses/by/4.0/).
Share and Cite
Janardhana, R.D.; Jackson, N. A Simulated Investigation of Lithium Niobate Orientation Effects on Standing Acoustic Waves. Sensors 2023, 23, 8317. https://doi.org/10.3390/s23198317
Janardhana RD, Jackson N. A Simulated Investigation of Lithium Niobate Orientation Effects on Standing Acoustic Waves. Sensors. 2023; 23(19):8317. https://doi.org/10.3390/s23198317
Chicago/Turabian StyleJanardhana, Ranjith D., and Nathan Jackson. 2023. "A Simulated Investigation of Lithium Niobate Orientation Effects on Standing Acoustic Waves" Sensors 23, no. 19: 8317. https://doi.org/10.3390/s23198317
APA StyleJanardhana, R. D., & Jackson, N. (2023). A Simulated Investigation of Lithium Niobate Orientation Effects on Standing Acoustic Waves. Sensors, 23(19), 8317. https://doi.org/10.3390/s23198317

