ROAST-IoT: A Novel Range-Optimized Attention Convolutional Scattered Technique for Intrusion Detection in IoT Networks
Abstract
:1. Introduction
1.1. Research Motivations
- (1)
- The rapid growth of the internet of things (IoT) has brought numerous benefits, but it has also introduced significant security challenges. The diverse nature of IoT devices and their interconnectedness make them susceptible to various types of attacks. Malware, denial-of-service attacks, and other threats can exploit these vulnerabilities. Therefore, there is a pressing need to develop effective security solutions that specifically address the unique security challenges posed by IoT environments.
- (2)
- While there have been various learning-based approaches proposed for intrusion detection in IoT networks, many of them face limitations o complexity, computational load, and time-consuming nature. Balancing the sophistication required to accurately detect intrusions with the need for efficiency and scalability is a key challenge. The motivation behind the ROAST-IoT algorithm is to develop a solution that achieves a fine equilibrium between simplicity and sophistication, thus ensuring effective intrusion detection without overwhelming the system’s resources.
- (3)
- As IoT continues to expand and integrate into various aspects of daily life, the importance of robust security solutions becomes increasingly critical. With projections indicating a future with more connected devices than there are people, the potential impact of security breaches on individuals, organizations, and society as a whole is significant. Therefore, there is a strong motivation to develop intrusion detection systems that can safeguard IoT networks from evolving and sophisticated threats.
- (4)
- To strengthen the reliability of IoT applications, especially in business and consumer contexts, there is a need for research that addresses security challenges in connected services and devices. The ROAST-IoT algorithm aligns with this goal by focusing on improving the security posture of IoT networks. This algorithm aims to provide a practical and effective tool for enhancing the security and reliability of IoT applications and services.
- (5)
- The ROAST-IoT algorithm introduces a novel approach by combining the range-optimized attention convolutional scattered technique (ROAST) with machine learning components like scattered range feature selection (SRFS) and attention-based convolutional feed-forward network (ACFN). This unique combination aims to overcome the limitations of existing solutions and provide a fresh perspective on intrusion detection in IoT networks.
1.2. Major Contributions
- ○
- This research aims to provide a new security framework for IoT networks called the range-optimized attention convolutional scattered technique (ROAST-IoT).
- ○
- The scattered range feature selection (SRFS) model is used in this system to select the most essential and reliable attributes from the provided intrusion data.
- ○
- The attention-based convolutional feed-forward network (ACFN) technique is implemented to recognize the intrusion with its appropriate class.
- ○
- The modified dingo optimization (MDO) algorithm is used to estimate the loss function for maximizing the accuracy of the classifier.
- ○
- Some of the most recent and well-liked intrusion datasets are used in this study for performance evaluation and assessment, and the findings are compared using a variety of metrics.
1.3. Paper Organization
2. Literature Review
3. Materials and Methods
- Intrusion data collection from IoT networks.
- Scatter range feature selection (SRFS).
- Attention-based convolutional feed-forward network (ACFN) for intrusion recognition.
- Modified dingo optimization (MDO) technique for loss function estimation.
- Performance evaluation.
3.1. Scatter Range Feature Selection (SRFS)
| Algorithm 1: Scatter Range Feature Selection |
| ; Output: Selected feature ;
|
3.2. Attention-Based Convolutional Feed-Forward (ACFN) Technique
3.3. Modified Dingo Optimization (MDO) Algorithm
| Algorithm 2: Modified Dingo Optimization (MDO) |
| Input: feature matrix ; Output: Optimal value ; Procedure:
|
4. Results
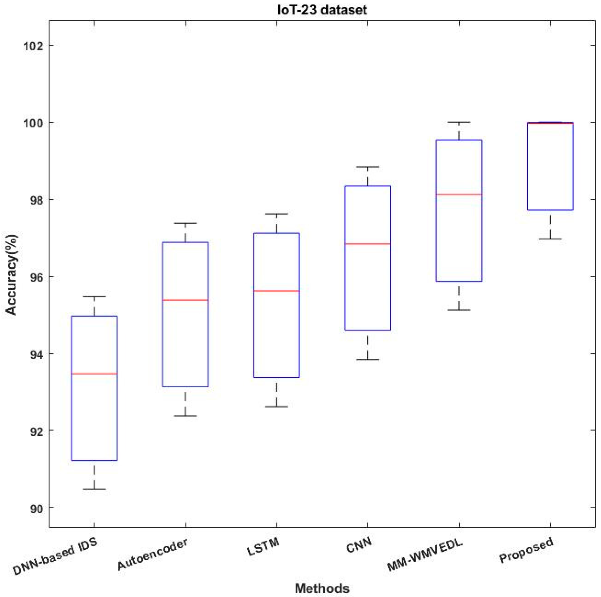
4.1. Statistical Analysis
4.2. Results Analysis
5. Discussions
5.1. Limitations of Proposed ROAS-IT System
- Depending on the complexity of the ROAST and the associated machine learning components like scattered range feature selection (SRFS) and attention-based convolutional feed-forward network (ACFN), the algorithm may demand significant computational resources. This could impact its real-time applicability in resource-constrained of IoT devices.
- Like many machine learning-based intrusion detection systems, the effectiveness of the ROAST-IoT algorithm heavily relies on high-quality, diverse, and representative training data. If the algorithm is sensitive to data quality or distribution, obtaining a suitable dataset could be a challenge.
- As IoT networks continue to grow in scale and complexity, ensuring the scalability of intrusion detection systems becomes crucial. If the ROAST-IoT algorithm struggles to scale efficiently with the increasing number of IoT devices and network traffic, its practicality may be limited.
- Intrusion detection systems need to be adaptable to new and evolving attack techniques. If the ROAST-IoT algorithm is not designed to handle emerging threats and variations of existing attacks, its effectiveness could decline over time.
- Many IoT devices operate with limited computational power, memory, and energy resources. If the ROAST-IoT algorithm requires resource-intensive operations, it may not be suitable for deployment on resource-constrained devices.
- Achieving a balance between accurately detecting intrusion attacks while minimizing false positives and false negatives can be challenging. If the ROAST-IoT algorithm struggles to achieve this balance, it could lead to either unnecessary alerts or missed detections.
- IoT networks span various domains, including industrial IoT, healthcare IoT, and smart homes, each with its own unique characteristics and challenges. The ROAST-IoT algorithm’s effectiveness in one domain may not directly translate to another domain.
- Intrusion detection systems can be susceptible to adversarial attacks aimed at evading detection. If the ROAST-IoT algorithm lacks robustness against such attacks, it may become less effective in a real-world scenario.
- The limitations of the ROAST-IoT algorithm may be more evident in certain scenarios, network configurations, or types of attacks that have not been fully evaluated in the current study.
5.2. Future Works
- (1)
- Investigate techniques to enhance the scalability of the ROAST-IoT algorithm. As IoT networks continue to grow in size, the ability to handle a larger number of devices and data flows efficiently is crucial. This could involve exploring distributed computing approaches, optimized data structures, and parallel processing.
- (2)
- Develop strategies to optimize the algorithm’s resource usage, making it more suitable for resource-constrained IoT devices. This could involve model compression techniques, efficient feature extraction methods, and algorithmic optimizations to reduce computational requirements.
- (3)
- Focus on improving the real-time processing capabilities of the ROAST-IoT algorithm. Achieving low-latency intrusion detection is essential for timely response to threats. Explore techniques to reduce inference time and latency without sacrificing accuracy.
- (4)
- Research methods to make the ROAST-IoT algorithm adaptable to emerging threats and attack techniques. This may involve incorporating mechanisms to dynamically update the model based on new attack patterns and vulnerabilities.
- (5)
- Investigate techniques to enhance the algorithm’s robustness against adversarial attacks. Adversarial attacks can exploit vulnerabilities in the model, leading to evasion of detection. Implement defenses such as adversarial training or input perturbation to mitigate this risk.
- (6)
- Explore the customization of the ROAST-IoT algorithm for specific IoT domains such as industrial IoT, healthcare IoT, or smart cities. Different domains have unique characteristics and challenges, and tailoring the algorithm to these contexts could improve its effectiveness.
- (7)
- Research ways to integrate the ROAST-IoT algorithm seamlessly into the overall IoT network architecture. Consider factors such as data preprocessing, communication protocols, and interoperability with other security components.
- (8)
- Conduct extensive evaluation of the ROAST-IoT algorithm in real-world IoT environments to assess its performance under diverse conditions. Collaborate with industry partners to deploy and validate the algorithm in practical settings.
- (9)
- Investigate approaches that combine the strengths of both machine learning and human experts in intrusion detection. Develop interfaces that enable human analysts to provide feedback, and refine the algorithm’s performance over time.
- (10)
- Address privacy concerns that may arise when implementing intrusion detection systems in IoT networks. Explore techniques for secure data sharing and processing while ensuring user privacy.
- (11)
- Assess the algorithm’s long-term performance and adaptability as the threat landscape and IoT ecosystem evolve over time.
6. Conclusions
Author Contributions
Funding
Institutional Review Board Statement
Informed Consent Statement
Data Availability Statement
Acknowledgments
Conflicts of Interest
List of Parameters
| feature matrix/population | |
| optimal value/ best searching agent | |
| P | probability of hunting/scavenger strategy |
| ϕ | probability of group attack/persecution attack |
| subset of search agents | |
| current searching agent | |
| ϑ1, ϑ2 | random numbers |
| ε | binary value |
| ᶊ(k) | survival rate |
| Mfit | worst fitness value |
| Nfit | best fitness value |
| fit(k) | current fitness value |
| new position of search agent | |
| r | pseudo-random number |
| ℵ | normally distributed pseudo-random number |
References
- Kumar, S.S.; Selvi, M.; Kannan, A. A comprehensive survey on machine learning-based intrusion detection systems for secure communication in internet of things. Comput. Intell. Neurosci. 2023, 2023, 8981988. [Google Scholar]
- Fraihat, S.; Makhadmeh, S.; Awad, M.; Al-Betar, M.A.; Al-Redhaei, A. Intrusion detection system for large-scale IoT NetFlow networks using machine learning with modified Arithmetic Optimization Algorithm. Internet Things 2023, 22, 100819. [Google Scholar] [CrossRef]
- Chaganti, R.; Suliman, W.; Ravi, V.; Dua, A. Deep learning approach for SDN-enabled intrusion detection system in IoT networks. Information 2023, 14, 41. [Google Scholar] [CrossRef]
- Moustafa, N.; Koroniotis, N.; Keshk, M.; Zomaya, A.Y.; Tari, Z. Explainable Intrusion Detection for Cyber Defences in the Internet of Things: Opportunities and Solutions. IEEE Commun. Surv. Tutor. 2023, 25, 1775–1807. [Google Scholar] [CrossRef]
- Dina, A.S.; Siddique, A.; Manivannan, D. A deep learning approach for intrusion detection in Internet of Things using focal loss function. Internet Things 2023, 22, 100699. [Google Scholar] [CrossRef]
- Shah, H.; Shah, D.; Jadav, N.K.; Gupta, R.; Tanwar, S.; Alfarraj, O.; Tolba, A.; Raboaca, M.S.; Marina, V. Deep learning-based malicious smart contract and intrusion detection system for IoT environment. Mathematics 2023, 11, 418. [Google Scholar] [CrossRef]
- Vishwakarma, M.; Kesswani, N. A new two-phase intrusion detection system with Naïve Bayes machine learning for data classification and elliptic envelop method for anomaly detection. Decis. Anal. J. 2023, 7, 100233. [Google Scholar] [CrossRef]
- Elnakib, O.; Shaaban, E.; Mahmoud, M.; Emara, K. EIDM: Deep learning model for IoT intrusion detection systems. J. Supercomput. 2023, 79, 13241–13261. [Google Scholar] [CrossRef]
- BMadhu; Chari, M.V.G.; Vankdothu, R.; Silivery, A.K.; Aerranagula, V. Intrusion detection models for IOT networks via deep learning approaches. Meas. Sens. 2023, 25, 100641. [Google Scholar]
- Ahmad, M.S.; Shah, S.M. Unsupervised ensemble based deep learning approach for attack detection in IoT network. Concurr. Comput. Pract. Exp. 2022, 34, e7338. [Google Scholar] [CrossRef]
- Nakıp, M.; Gelenbe, E. Online Self-Supervised Learning in Machine Learning Intrusion Detection for the Internet of Things. arXiv 2023, arXiv:2306.13030. [Google Scholar]
- Kethineni, K.; Pradeepini, G. Intrusion detection in internet of things-based smart farming using hybrid deep learning framework. Clust. Comput. 2023. [Google Scholar] [CrossRef]
- Rehman, E.; Haseeb-ud-Din, M.; Malik, A.J.; Khan, T.K.; Abbasi, A.A.; Kadry, S.; Khan, M.A.; Rho, S. Intrusion detection based on machine learning in the internet of things, attacks and counter measures. J. Supercomput. 2022, 78, 8890–8924. [Google Scholar] [CrossRef]
- Zakariah, M.; AlQahtani, S.A.; Al-Rakhami, M.S. Machine Learning-Based Adaptive Synthetic Sampling Technique for Intrusion Detection. Appl. Sci. 2023, 13, 6504. [Google Scholar] [CrossRef]
- Selim, I.M.; Sadek, R.A. DAE-BILSTM: A Fog-Based Intrusion Detection Model Using Deep Learning for IoT. J. Theor. Appl. Inf. Technol. 2023, 101, 5. [Google Scholar]
- Vanitha, S.; Balasubramanie, P. Improved Ant Colony Optimization and Machine Learning Based Ensemble Intrusion Detection Model. Intell. Autom. Soft Comput. 2023, 36, 849–864. [Google Scholar] [CrossRef]
- Rbah, Y.; Mahfoudi, M.; Balboul, Y.; Chetioui, K.; Fattah, M.; Mazer, S.; Elbekkali, M.; Bernoussi, B. A machine learning based intrusions detection for IoT botnet attacks. AIP Conf. Proc. 2023. [Google Scholar] [CrossRef]
- Da Costa, K.A.; Papa, J.P.; Lisboa, C.O.; Munoz, R.; de Albuquerque, V.H.C. Internet of Things: A survey on machine learning-based intrusion detection approaches. Comput. Netw. 2019, 151, 147–157. [Google Scholar] [CrossRef]
- Islam, N.; Farhin, F.; Sultana, I.; Kaiser, M.S.; Rahman, M.S.; Mahmud, M.; SanwarHosen, A.S.; Cho, G.H. Towards Machine Learning Based Intrusion Detection in IoT Networks. Comput. Mater. Contin. 2021, 69, 1801–1821. [Google Scholar] [CrossRef]
- Nimbalkar, P.; Kshirsagar, D. Feature selection for intrusion detection system in Internet-of-Things (IoT). ICT Express 2021, 7, 177–181. [Google Scholar] [CrossRef]
- Hindy, H.; Bayne, E.; Bures, M.; Atkinson, R.; Tachtatzis, C.; Bellekens, X. Machine learning based IoT intrusion detection system: An MQTT case study (MQTT-IoT-IDS2020 dataset). In International Networking Conference; Springer: Cham, Switzerland, 2020; pp. 73–84. [Google Scholar]
- Alsaedi, A.; Moustafa, N.; Tari, Z.; Mahmood, A.; Anwar, A. TON_IoT telemetry dataset: A new generation dataset of IoT and IIoT for data-driven intrusion detection systems. IEEE Access 2020, 8, 165130–165150. [Google Scholar] [CrossRef]
- Zhou, X.; Liang, W.; Li, W.; Yan, K.; Shimizu, S.; Kevin, I.; Wang, K. Hierarchical adversarial attacks against graph-neural-network-based IoT network intrusion detection system. IEEE Internet Things J. 2021, 9, 9310–9319. [Google Scholar] [CrossRef]
- Wahab, O.A. Intrusion detection in the iot under data and concept drifts: Online deep learning approach. IEEE Internet Things J. 2022, 9, 19706–19716. [Google Scholar] [CrossRef]
- Kan, X.; Fan, Y.; Fang, Z.; Cao, L.; Xiong, N.N.; Yang, D.; Li, X. A novel IoT network intrusion detection approach based on adaptive particle swarm optimization convolutional neural network. Inf. Sci. 2021, 568, 147–162. [Google Scholar] [CrossRef]
- Abdalgawad, N.; Sajun, A.; Kaddoura, Y.; Zualkernan, I.A.; Aloul, F. Generative deep learning to detect cyberattacks for the IoT-23 dataset. IEEE Access 2021, 10, 6430–6441. [Google Scholar] [CrossRef]
- Kumar, R.; Kumar, P.; Tripathi, R.; Gupta, G.P.; Garg, S.; Hassan, M.M. A distributed intrusion detection system to detect DDoS attacks in blockchain-enabled IoT network. J. Parallel Distrib. Comput. 2022, 164, 55–68. [Google Scholar] [CrossRef]
- Shukla, A.; Ahamad, S.; Rao, G.N.; Al-Asadi, A.J.; Gupta, A.; Kumbhkar, M. Artificial intelligence assisted IoT data intrusion detection. In Proceedings of the 2021 4th International Conference on Computing and Communications Technologies (ICCCT), Chennai, India, 6–17 December 2021; pp. 330–335. [Google Scholar]
- Okey, O.D.; Maidin, S.S.; Adasme, P.; Lopes Rosa, R.; Saadi, M.; Carrillo Melgarejo, D.; Zegarra Rodríguez, D. BoostedEnML: Efficient technique for detecting cyberattacks in IoT systems using boosted ensemble machine learning. Sensors 2022, 22, 7409. [Google Scholar] [CrossRef]
- Alani, M.M. An explainable efficient flow-based Industrial IoT intrusion detection system. Comput. Electr. Eng. 2023, 108, 108732. [Google Scholar] [CrossRef]
- Shruti, S.; Rani, S.; Srivastava, G. Secure hierarchical fog computing-based architecture for industry 5.0 using an attribute-based encryption scheme. Expert Syst. Appl. 2023, 235, 121180. [Google Scholar] [CrossRef]
- Albasheer, H.; Md Siraj, M.; Mubarakali, A.; Elsier Tayfour, O.; Salih, S.; Hamdan, M.; Khan, S.; Zainal, A.; Kamarudeen, S. Cyber-Attack Prediction Based on Network Intrusion Detection Systems for Alert Correlation Techniques: A Survey. Sensors 2022, 22, 1494. [Google Scholar] [CrossRef]
- Massaro, A.; Gargaro, M.; Dipierro, G.; Galiano, A.M.; Buonopane, S. Prototype Cross Platform Oriented on Cybersecurity, Virtual Connectivity, Big Data and Artificial Intelligence Control. IEEE Access 2020, 8, 197939–197954. [Google Scholar] [CrossRef]
- Lin, H.-C.; Wang, P.; Chao, K.-M.; Lin, W.-H.; Chen, J.-H. Using Deep Learning Networks to Identify Cyber Attacks on Intrusion Detection for In-Vehicle Networks. Electronics 2022, 11, 2180. [Google Scholar] [CrossRef]
- Dini, P.; Elhanashi, A.; Begni, A.; Saponara, S.; Zheng, Q.; Gasmi, K. Overview on Intrusion Detection Systems Design Exploiting Machine Learning for Networking Cybersecurity. Appl. Sci. 2023, 13, 7507. [Google Scholar] [CrossRef]
- Sarker, I.H.; Abushark, Y.B.; Alsolami, F.; Khan, A.I. IntruDTree: A Machine Learning Based Cyber Security Intrusion Detection Model. Symmetry 2020, 12, 754. [Google Scholar] [CrossRef]
- Elsayed, R.A.; Hamada, R.A.; Abdalla, M.I.; Elsaid, S.A. Securing IoT and SDN systems using deep-learning based automatic intrusion detection. Ain Shams Eng. J. 2023, 14, 102211. [Google Scholar] [CrossRef]
- Ullah, I.; Mahmoud, Q.H. Design and development of RNN anomaly detection model for IoT networks. IEEE Access 2022, 10, 62722–62750. [Google Scholar] [CrossRef]
- Khan, N.W.; Alshehri, M.S.; Khan, M.A.; Almakdi, S.; Moradpoor, N.; Alazeb, A.; Ullah, S.; Naz, N.; Ahmad, J. A hybrid deep learning-based intrusion detection system for IoT networks. Math. Biosci. Eng. 2023, 20, 13491–13520. [Google Scholar] [CrossRef] [PubMed]
- Sanju, P. Enhancing Intrusion Detection in IoT Systems: A Hybrid Metaheuristics-Deep Learning Approach with Ensemble of Recurrent Neural Networks. J. Eng. Res. 2023, 100122. [Google Scholar] [CrossRef]
- Gad, A.R.; Haggag, M.; Nashat, A.A.; Barakat, T.M. A Distributed Intrusion Detection System using Machine Learning for IoT based on ToN-IoT Dataset. Int. J. Adv. Comput. Sci. Appl. 2022, 13, 548–563. [Google Scholar] [CrossRef]



















| No. | Datasets | Different Attack Scenarios | Heterogeneity of IoT Data Sources | Number of Instances | Number of Features |
|---|---|---|---|---|---|
| 1 | KDD’99 | No | No | 494,021 | 41 |
| 2 | NSL-KDD | No | No | 125,973 | 42 |
| 3 | UNSW-NB 15 | Yes | No | 2,540,000 | 49 |
| 4 | LWSNDR | No | No | 48,000 | 29 |
| 5 | ISCX | Yes | No | 15,570 | 45 |
| 6 | AWID | Yes | No | 458,691 | 155 |
| 7 | UNSW-IoT trace | No | No | 1,000,000 | 8 |
| 8 | BoT-IoT | Yes | No | 56,800 | 116 |
| 9 | T-IIoT | Yes | Yes | 50,000 | 52 |
| Reference | Approach | Key Contributions | Limitations |
|---|---|---|---|
| Da Costa et al. [18] | Review of machine learning techniques for IoT intrusion detection | Comprehensive review of IoT intrusion detection techniques | High false positive rate across research studies |
| Islam et al. [19] | Use of machine learning and deep learning algorithms for IoT threat detection | Focus on quick implementation and effective handling of unknown events | Limited discussion on computational efficiency |
| Nimbalkar et al. [20] | Feature selection techniques for enhancing IDS in IoT networks | Effective reduction of feature count for accurate detection | Limited discussion on scalability for large datasets |
| Hindy et al. [21] | Case study on machine learning techniques for intrusion detection | Focus on MQTT-IoT-IDS 2020 dataset and bi-directional features | No explicit mention of limitations in the provided text |
| Alsaedi et al. [22] | Data-driven approaches for IoT and IIoT intrusion detection | Development of new dataset for IoT intrusion detection | Limited information on performance evaluation |
| Zhou et al. [23] | GNN-based intrusion detection using HAA and RWR techniques | Innovative use of GNN for unknown attack detection | Increased time consumption for predictions |
| Wahab et al. [24] | Online deep learning approach with data drift detection | Detection of intrusion data streams with drift detection | High computational and time complexity |
| Kan et al. [25] | Adaptive PSO-CNN model for multi-type intrusion detection | Incorporation of PSO with CNN for improved reliability | Limited details on how cross-entropy loss is implemented |
| Abdalgawad et al. [26] | Bi-GAN model for detecting cyberattacks in IoT networks | Effective use of Bi-GAN and generative deep learning | No specific limitations provided in the text |
| Kumar et al. [27] | Distributed intrusion detection for DDoS attacks in IoT | Development of distributed intrusion detection system | Limited details on the specific methodology used |
| Shukla et al. [28] | AI-based intrusion detection in IoT with focus on data selection | Examination of various machine learning methods in IoT | No explicit discussion of limitations in the provided text |
| No. | Datasets | Methods | Processing time | Learning Time | Detection Time |
|---|---|---|---|---|---|
| 1. | IoT-23 | DNN | 450 (s) | 25 (s) | 20 (s) |
| Autoencoder | 400 (s) | 22 (s) | 18 (s) | ||
| LSTM | 379 (s) | 18 (s) | 16 (s) | ||
| CNN | 400 (s) | 24 (s) | 21 (s) | ||
| MM-WMVDEL | 550 (s) | 26 (s) | 24 (s) | ||
| ROAST-IOT | 300 (s) | 12 (s) | 4 (s) | ||
| 2. | ToN-IoT | DNN | 400 (s) | 35 (s) | 30 (s) |
| Autoencoder | 380 (s) | 31 (s) | 20 (s) | ||
| LSTM | 319 (s) | 35 (s) | 20 (s) | ||
| CNN | 450 (s) | 40 (s) | 19 (s) | ||
| MM-WMVDEL | 500 (s) | 44 (s) | 21 (s) | ||
| ROAST-IOT | 200 (s) | 16 (s) | 14 (s) | ||
| 3. | UNSW-NB 15 | DNN | 550 (s) | 19 (s) | 16 (s) |
| Autoencoder | 500 (s) | 17 (s) | 15 (s) | ||
| LSTM | 420 (s) | 23 (s) | 20 (s) | ||
| CNN | 450 (s) | 25 (s) | 23 (s) | ||
| MM-WMVDEL | 500 (s) | 22 (s) | 17 (s) | ||
| ROAST-IOT | 310 (s) | 10 (s) | 8 (s) | ||
| 4. | Edge IIoT | DNN | 650 (s) | 30 (s) | 17 (s) |
| Autoencoder | 500 (s) | 27 (s) | 18 (s) | ||
| LSTM | 460 (s) | 25 (s) | 21 (s) | ||
| CNN | 550 (s) | 28 (s) | 15 (s) | ||
| MM-WMVDEL | 450 (s) | 18 (s) | 16 (s) | ||
| ROAST-IOT | 190 (s) | 14 (s) | 7 (s) |
| Aspect | Machine Learning (ML) | Deep Learning (DL) |
|---|---|---|
| Data Complexity | Effective for simple data representations. | Proficient in handling complex, high-dimensional data. |
| Intricacy Handling | Limited ability to capture intricate patterns. | Excels in capturing intricate relationships and patterns. |
| Model Architecture | Relies on conventional algorithms and methods. | Utilizes deep neural networks with multiple layers. |
| Intrusion Detection Accuracy | May struggle with nuanced threat detection. | Enhanced accuracy due to hierarchical feature learning. |
| Latency and Processing Time | Latency and processing time can be noticeable. | Optimized architectures reduce latency and processing time. |
| Response to Threats | Response time might be longer due to processing. | Faster response to threats with quicker analysis. |
| Aspect | Machine Learning (ML) | Deep Learning (DL) |
| Data Complexity | Effective for simple data representations. | Proficient in handling complex, high-dimensional data. |
Disclaimer/Publisher’s Note: The statements, opinions and data contained in all publications are solely those of the individual author(s) and contributor(s) and not of MDPI and/or the editor(s). MDPI and/or the editor(s) disclaim responsibility for any injury to people or property resulting from any ideas, methods, instructions or products referred to in the content. |
© 2023 by the authors. Licensee MDPI, Basel, Switzerland. This article is an open access article distributed under the terms and conditions of the Creative Commons Attribution (CC BY) license (https://creativecommons.org/licenses/by/4.0/).
Share and Cite
Mahalingam, A.; Perumal, G.; Subburayalu, G.; Albathan, M.; Altameem, A.; Almakki, R.S.; Hussain, A.; Abbas, Q. ROAST-IoT: A Novel Range-Optimized Attention Convolutional Scattered Technique for Intrusion Detection in IoT Networks. Sensors 2023, 23, 8044. https://doi.org/10.3390/s23198044
Mahalingam A, Perumal G, Subburayalu G, Albathan M, Altameem A, Almakki RS, Hussain A, Abbas Q. ROAST-IoT: A Novel Range-Optimized Attention Convolutional Scattered Technique for Intrusion Detection in IoT Networks. Sensors. 2023; 23(19):8044. https://doi.org/10.3390/s23198044
Chicago/Turabian StyleMahalingam, Anandaraj, Ganeshkumar Perumal, Gopalakrishnan Subburayalu, Mubarak Albathan, Abdullah Altameem, Riyad Saleh Almakki, Ayyaz Hussain, and Qaisar Abbas. 2023. "ROAST-IoT: A Novel Range-Optimized Attention Convolutional Scattered Technique for Intrusion Detection in IoT Networks" Sensors 23, no. 19: 8044. https://doi.org/10.3390/s23198044
APA StyleMahalingam, A., Perumal, G., Subburayalu, G., Albathan, M., Altameem, A., Almakki, R. S., Hussain, A., & Abbas, Q. (2023). ROAST-IoT: A Novel Range-Optimized Attention Convolutional Scattered Technique for Intrusion Detection in IoT Networks. Sensors, 23(19), 8044. https://doi.org/10.3390/s23198044

