A Neurophysiological Evaluation of Cognitive Load during Augmented Reality Interactions in Various Industrial Maintenance and Assembly Tasks
Abstract
:1. Introduction
2. Materials and Methods
2.1. Apparatus
2.2. Participants
2.3. Experimental Design
2.4. Maintenance Tasks
2.5. Instruction Methods
2.5.1. Paper-Based Instructions Method
2.5.2. AR-Based Instruction Method
2.6. Cognitive Load Measurement
2.6.1. Electroencephalography (EEG) Signal Response
2.6.2. Subjective Response
2.7. Experimental Setup and Procedure
2.8. Data Analysis
3. Results
3.1. Performance
3.2. Mental Workload
3.2.1. Theta (θ) Power Spectrum Density
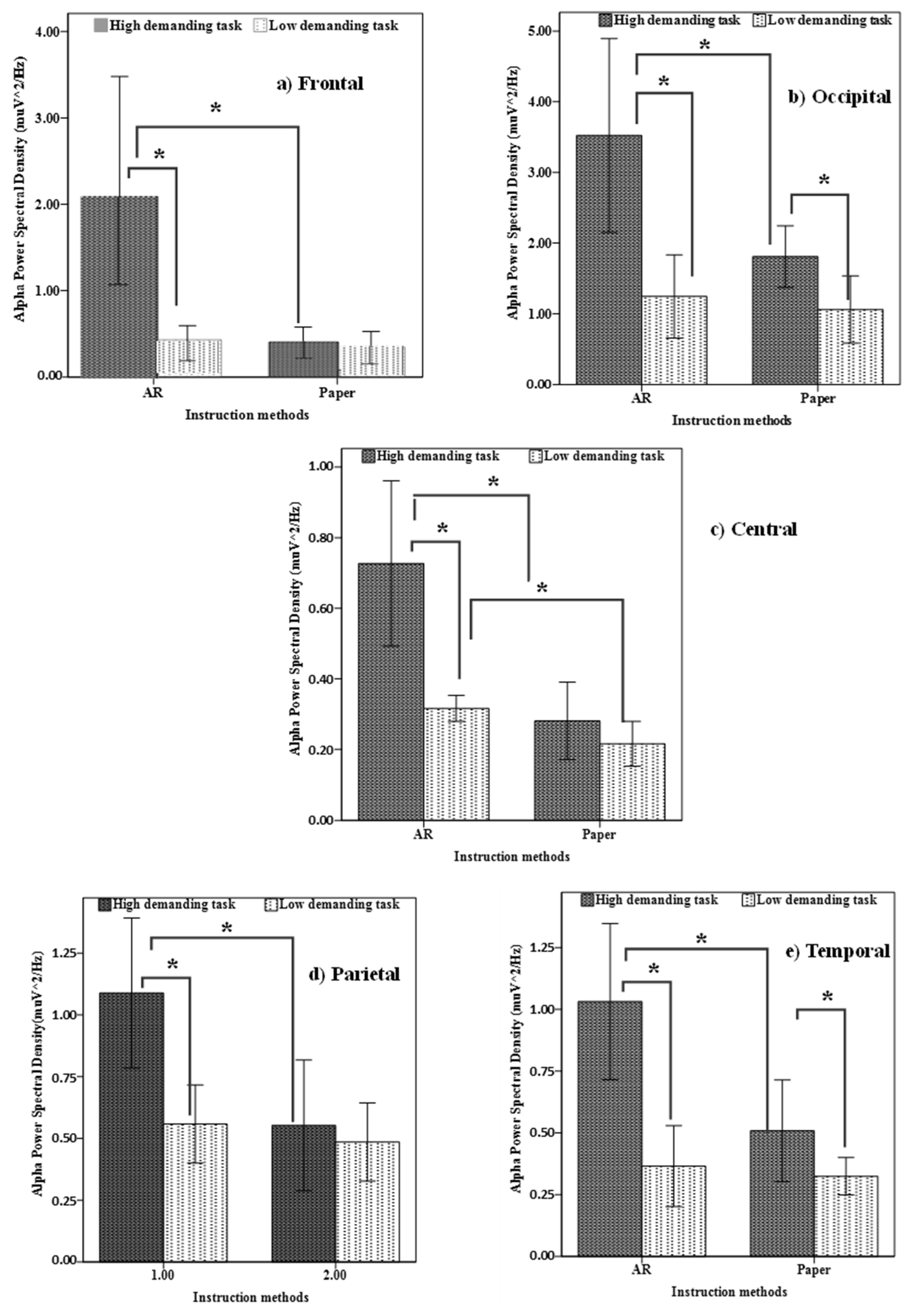
3.2.2. Alpha (α) Power Spectrum Density
3.2.3. Beta (β) Power Spectrum Density
3.2.4. Perceived Workload (NASA-TLX) Scores
4. Discussion
4.1. Performance
4.2. Mental Workload
4.3. Perceived Workload (NASA-TLX) Scores
4.4. EEG Power Spectrum Density
5. Conclusions
Author Contributions
Funding
Institutional Review Board Statement
Informed Consent Statement
Data Availability Statement
Acknowledgments
Conflicts of Interest
References
- Lai, Z.-H.; Tao, W.; Leu, M.C.; Yin, Z. Smart Augmented Reality Instructional System for Mechanical Assembly towards Worker-Centered Intelligent Manufacturing. J. Manuf. Syst. 2020, 55, 69–81. [Google Scholar] [CrossRef]
- Mark, B.G.; Rauch, E.; Matt, D.T. Worker Assistance Systems in Manufacturing: A Review of the State of the Art and Future Directions. J. Manuf. Syst. 2021, 59, 228–250. [Google Scholar] [CrossRef]
- Stäblein, T.; Holweg, M.; Miemczyk, J. Theoretical versus Actual Product Variety: How Much Customisation Do Customers Really Demand? Int. J. Oper. Prod. Manag. 2011, 31, 350–370. [Google Scholar] [CrossRef]
- Da Silveira, G. A Framework for the Management of Product Variety. Int. J. Oper. Prod. Manag. 1998, 18, 271–285. [Google Scholar] [CrossRef]
- Mocker, M.; Ross, J.W. The Problem with Product Proliferation. Harv. Bus. Rev. 2017, 95, 104–110. [Google Scholar]
- Bedny, G.Z.; Karwowski, W.; Bedny, I.S. Complexity Evaluation of Computer-Based Tasks. Int. J. Hum. Comput. Interact. 2012, 28, 236–257. [Google Scholar] [CrossRef]
- Aromaa, S.; Väätänen, A.; Aaltonen, I.; Heimonen, T. A Model for Gathering and Sharing Knowledge in Maintenance Work. In Proceedings of the European Conference on Cognitive Ergonomics 2015, Warsaw, Poland, 1–3 July 2015; p. 28. [Google Scholar]
- Aromaa, S.; Väätänen, A.; Kaasinen, E.; Uimonen, M.; Siltanen, S. Human Factors and Ergonomics Evaluation of a Tablet Based Augmented Reality System in Maintenance Work. In Proceedings of the 22nd International Academic Mindtrek Conference, Tampere, Finland, 10–11 October 2018; pp. 118–125. [Google Scholar]
- Gavish, N.; Gutiérrez, T.; Webel, S.; Rodríguez, J.; Peveri, M.; Bockholt, U.; Tecchia, F. Evaluating Virtual Reality and Augmented Reality Training for Industrial Maintenance and Assembly Tasks. Interact. Learn. Environ. 2015, 23, 778–798. [Google Scholar] [CrossRef]
- Gutierrez, T.; Rodriguez, J.; Velaz, Y.; Casado, S.; Suescun, A.; Sanchez, E.J. IMA-VR: A Multimodal Virtual Training System for Skills Transfer in Industrial Maintenance and Assembly Tasks. In Proceedings of the 19th International Symposium in Robot and Human Interactive Communication, Viareggio, Italy, 13–15 September 2010; pp. 428–433. [Google Scholar]
- Chu, C.-H.; Ko, C.-H. An Experimental Study on Augmented Reality Assisted Manual Assembly with Occluded Components. J. Manuf. Syst. 2021, 61, 685–695. [Google Scholar] [CrossRef]
- Funk, M.; Kosch, T.; Schmidt, A. Interactive Worker Assistance: Comparing the Effects of in-Situ Projection, Head-Mounted Displays, Tablet, and Paper Instructions. In Proceedings of the 2016 ACM International Joint Conference on Pervasive and Ubiquitous Computing, Heidelberg, Germany, 12–16 September 2016; pp. 934–939. [Google Scholar]
- Loizeau, Q.; Danglade, F.; Ababsa, F.; Merienne, F. Methodology for the Field Evaluation of the Impact of Augmented Reality Tools for Maintenance Workers in the Aeronautic Industry. Front. Virtual Real. 2021, 1, 41. [Google Scholar] [CrossRef]
- Azuma, R.; Baillot, Y.; Behringer, R.; Feiner, S.; Julier, S.; MacIntyre, B. Recent Advances in Augmented Reality. IEEE Comput. Graph. Appl. 2001, 21, 34–47. [Google Scholar] [CrossRef]
- Jia, W.; Zhu, J.; Xie, L.; Yu, C. Review of the Research on Augmented Reality Maintenance Assistant System of Mechanical System. In Proceedings of the Journal of Physics: Conference Series, Shenyang, China, 30 October–1 November 2020; Volume 1748, p. 62041. [Google Scholar]
- Gao, L.; Wu, F.; Liu, L.; Wan, X. Construction of Equipment Maintenance Guiding System and Research on Key Technologies Based on Augmented Reality. In Proceedings of the International Workshop of Advanced Manufacturing and Automation, Plymouth, UK, 21–22 November 2019; pp. 275–282. [Google Scholar]
- Eswaran, M.; Bahubalendruni, M.V.A.R. Challenges and Opportunities on AR/VR Technologies for Manufacturing Systems in the Context of Industry 4.0: A State of the Art Review. J. Manuf. Syst. 2022, 65, 260–278. [Google Scholar] [CrossRef]
- Sweller, J. Cognitive Load during Problem Solving: Effects on Learning. Cogn. Sci. 1988, 12, 257–285. [Google Scholar] [CrossRef]
- Sweller, J.; van Merriënboer, J.J.G.; Paas, F. Cognitive Architecture and Instructional Design: 20 Years Later. Educ. Psychol. Rev. 2019, 31, 261–292. [Google Scholar] [CrossRef]
- Paas, F.; van Merriënboer, J.J.G. Cognitive-Load Theory: Methods to Manage Working Memory Load in the Learning of Complex Tasks. Curr. Dir. Psychol. Sci. 2020, 29, 394–398. [Google Scholar] [CrossRef]
- Sweller, J. Cognitive Load Theory. In Psychology of Learning and Motivation; Elsevier: Amsterdam, The Netherlands, 2011; Volume 55, pp. 37–76. [Google Scholar]
- Paas, F.; Sweller, J. Implications of Cognitive Load Theory for Multimedia Learning. In The Cambridge Handbook of Multimedia Learning; Cambridge University Press: New York, NY, USA, 2014; pp. 27–42. [Google Scholar]
- Choi, H.-H.; Van Merriënboer, J.J.G.; Paas, F. Effects of the Physical Environment on Cognitive Load and Learning: Towards a New Model of Cognitive Load. Educ. Psychol. Rev. 2014, 26, 225–244. [Google Scholar] [CrossRef]
- Kirschner, P.A. Cognitive Load Theory: Implications of Cognitive Load Theory on the Design of Learning. Learn. Instr. 2002, 12, 1–10. [Google Scholar] [CrossRef]
- Paas, F.G.W.C.; Van Merriënboer, J.J.G. Instructional Control of Cognitive Load in the Training of Complex Cognitive Tasks. Educ. Psychol. Rev. 1994, 6, 351–371. [Google Scholar] [CrossRef]
- Baird, K.M.; Barfield, W. Evaluating the Effectiveness of Augmented Reality Displays for a Manual Assembly Task. Virtual Real. 1999, 4, 250–259. [Google Scholar] [CrossRef]
- Henderson, S.; Feiner, S. Exploring the Benefits of Augmented Reality Documentation for Maintenance and Repair. IEEE Trans. Vis. Comput. Graph. 2010, 17, 1355–1368. [Google Scholar] [CrossRef]
- Loch, F.; Quint, F.; Brishtel, I. Comparing Video and Augmented Reality Assistance in Manual Assembly. In Proceedings of the 2016 12th International Conference on Intelligent Environments (IE), Athens, Greece, 14–16 September 2016; pp. 147–150. [Google Scholar]
- Porter, M.E.; Heppelmann, J.E. A Manager’s Guide to Augmented Reality. Harv. Bus. Rev. 2017, 95, 45–57. [Google Scholar]
- Tatić, D.; Tešić, B. The Application of Augmented Reality Technologies for the Improvement of Occupational Safety in an Industrial Environment. Comput. Ind. 2017, 85, 1–10. [Google Scholar] [CrossRef]
- Wiedenmaier, S.; Oehme, O.; Schmidt, L.; Luczak, H. Augmented Reality (AR) for Assembly Processes Design and Experimental Evaluation. Int. J. Hum. Comput. Interact. 2003, 16, 497–514. [Google Scholar] [CrossRef]
- Jeffri, N.F.S.; Rambli, D.R.A. A Review of Augmented Reality Systems and Their Effects on Mental Workload and Task Performance. Heliyon 2021, 7, e06277. [Google Scholar] [CrossRef] [PubMed]
- Jetter, J.; Eimecke, J.; Rese, A. Augmented Reality Tools for Industrial Applications: What Are Potential Key Performance Indicators and Who Benefits? Comput. Hum. Behav. 2018, 87, 18–33. [Google Scholar] [CrossRef]
- Abraham, M.; Annunziata, M. Augmented Reality Is Already Improving Worker Performance. Harv. Bus. Rev. 2017, 13, 1–5. [Google Scholar]
- Tumler, J.; Doil, F.; Mecke, R.; Paul, G.; Schenk, M.; Pfister, E.A.; Huckauf, A.; Bockelmann, I.; Roggentin, A. Mobile Augmented Reality in Industrial Applications: Approaches for Solution of User-Related Issues. In Proceedings of the 2008 7th IEEE/ACM International Symposium on Mixed and Augmented Reality, Cambridge, UK, 15–18 September 2008; pp. 87–90. [Google Scholar]
- Beckers, N.; Schreiner, S.; Bertrand, P.; Mehler, B.; Reimer, B. Comparing the Demands of Destination Entry Using Google Glass and the Samsung Galaxy S4 during Simulated Driving. Appl. Ergon. 2017, 58, 25–34. [Google Scholar] [CrossRef]
- Hart, S.G.; Staveland, L.E. Development of NASA-TLX (Task Load Index): Results of Empirical and Theoretical Research. Adv. Psychol. 1988, 52, 139–183. [Google Scholar]
- Zou, B.; Liu, Y.; Guo, M.; Wang, Y. EEG-Based Assessment of Stereoscopic 3D Visual Fatigue Caused by Vergence-Accommodation Conflict. J. Disp. Technol. 2015, 11, 1076–1083. [Google Scholar] [CrossRef]
- Wang, Z.; Fu, S. A Layered Multi-Dimensional Description of Pilots Workload Based on Objective Measures. In Proceedings of the International Conference on Engineering Psychology and Cognitive Ergonomics, Las Vegas, NV, USA, 21–26 July 2013; pp. 203–211. [Google Scholar]
- Chen, Y.; Wang, X.; Xu, H. Human Factors/Ergonomics Evaluation for Virtual Reality Headsets: A Review. CCF Trans. Pervasive Comput. Interact. 2021, 3, 99–111. [Google Scholar] [CrossRef]
- Antonenko, P.; Paas, F.; Grabner, R.; Van Gog, T. Using Electroencephalography to Measure Cognitive Load. Educ. Psychol. Rev. 2010, 22, 425–438. [Google Scholar] [CrossRef]
- Niedermeyer, E.; da Silva, F.H.L. Electroencephalography: Basic Principles, Clinical Applications, and Related Fields; Lippincott Williams & Wilkins: Philadelphia, PA, USA, 2005. [Google Scholar]
- Bhavsar, R.; Sun, Y.; Helian, N.; Davey, N.; Mayor, D.; Steffert, T. The Correlation between EEG Signals as Measured in Different Positions on Scalp Varying with Distance. Procedia Comput. Sci. 2018, 123, 92–97. [Google Scholar] [CrossRef]
- Klem, G.H. The Ten-Twenty Electrode System of the International Federation. the Internanional Federation of Clinical Nenrophysiology. Electroencephalogr. Clin. Neurophysiol. Suppl. 1999, 52, 3–6. [Google Scholar] [PubMed]
- Buzsaki, G. Rhythms of the Brain; Oxford University Press: Oxford, UK, 2006. [Google Scholar]
- Gevins, A.S.; Bressler, S.L.; Cutillo, B.A.; Illes, J.; Miller, J.C.; Stern, J.; Jex, H.R. Effects of Prolonged Mental Work on Functional Brain Topography. Electroencephalogr. Clin. Neurophysiol. 1990, 76, 339–350. [Google Scholar] [CrossRef] [PubMed]
- Han, M.; Sun, L.; Hong, X. Extraction of the Eeg Signal Feature Based on Echo State Networks. Shengwu Yixue Gongchengxue Zazhi 2012, 29, 206–211. [Google Scholar]
- Iqbal, M.U.; Shahab, M.A.; Choudhary, M.; Srinivasan, B.; Srinivasan, R. Electroencephalography (EEG) Based Cognitive Measures for Evaluating the Effectiveness of Operator Training. Process Saf. Environ. Prot. 2021, 150, 51–67. [Google Scholar] [CrossRef]
- Matousek, M.; Petersén, I. A Method for Assessing Alertness Fluctuations from EEG Spectra. Electroencephalogr. Clin. Neurophysiol. 1983, 55, 108–113. [Google Scholar] [CrossRef]
- Cohen, M.X. Analyzing Neural Time Series Data: Theory and Practice; MIT Press: Cambridge, MA, USA, 2014. [Google Scholar]
- Sassaroli, A.; Zheng, F.; Hirshfield, L.M.; Girouard, A.; Solovey, E.T.; Jacob, R.J.K.; Fantini, S. Discrimination of Mental Workload Levels in Human Subjects with Functional Near-Infrared Spectroscopy. J. Innov. Opt. Health Sci. 2008, 1, 227–237. [Google Scholar] [CrossRef]
- Sibi, S.; Ayaz, H.; Kuhns, D.P.; Sirkin, D.M.; Ju, W. Monitoring Driver Cognitive Load Using Functional near Infrared Spectroscopy in Partially Autonomous Cars. In Proceedings of the 2016 IEEE Intelligent Vehicles Symposium (IV), Gotenburg, Sweden, 19–22 June 2016; pp. 419–425. [Google Scholar]
- Gevins, A.; Smith, M.E. Neurophysiological Measures of Cognitive Workload during Human-Computer Interaction. Theor. Issues Ergon. Sci. 2003, 4, 113–131. [Google Scholar] [CrossRef]
- Klimesch, W. EEG Alpha and Theta Oscillations Reflect Cognitive and Memory Performance: A Review and Analysis. Brain Res. Rev. 1999, 29, 169–195. [Google Scholar] [CrossRef]
- Klimesch, W.; Schack, B.; Sauseng, P. The Functional Significance of Theta and Upper Alpha Oscillations. Exp. Psychol. 2005, 52, 99–108. [Google Scholar] [CrossRef]
- Jensen, O.; Tesche, C.D. Frontal Theta Activity in Humans Increases with Memory Load in a Working Memory Task. Eur. J. Neurosci. 2002, 15, 1395–1399. [Google Scholar] [CrossRef] [PubMed]
- Rietschel, J.C.; Miller, M.W.; Gentili, R.J.; Goodman, R.N.; McDonald, C.G.; Hatfield, B.D. Cerebral-Cortical Networking and Activation Increase as a Function of Cognitive-Motor Task Difficulty. Biol. Psychol. 2012, 90, 127–133. [Google Scholar] [CrossRef] [PubMed]
- Galin, D.; Johnstone, J.; Herron, J. Effects of Task Difficulty on EEG Measures of Cerebral Engagement. Neuropsychologia 1978, 16, 461–472. [Google Scholar] [CrossRef]
- Puma, S.; Matton, N.; Paubel, P.-V.; Raufaste, É.; El-Yagoubi, R. Using Theta and Alpha Band Power to Assess Cognitive Workload in Multitasking Environments. Int. J. Psychophysiol. 2018, 123, 111–120. [Google Scholar] [CrossRef] [PubMed]
- Gutiérrez, D.; Ramírez-Moreno, M.A. Assessing a Learning Process with Functional ANOVA Estimators of EEG Power Spectral Densities. Cogn. Neurodyn. 2016, 10, 175–183. [Google Scholar] [CrossRef]
- Diaz-Piedra, C.; Rieiro, H.; Cherino, A.; Fuentes, L.J.; Catena, A.; Di Stasi, L.L. The Effects of Flight Complexity on Gaze Entropy: An Experimental Study with Fighter Pilots. Appl. Ergon. 2019, 77, 92–99. [Google Scholar] [CrossRef]
- Iqbal, M.U.; Srinivasan, B.; Srinivasan, R. Dynamic Assessment of Control Room Operator’s Cognitive Workload Using Electroencephalography (EEG). Comput. Chem. Eng. 2020, 141, 106726. [Google Scholar] [CrossRef]
- Alhaag, M.H.; Ramadan, M.Z.; Al-harkan, I.M.; Alessa, F.M.; Alkhalefah, H.; Abidi, M.H.; Sayed, A.E. Determining the Fatigue Associated with Different Task Complexity during Maintenance Operations in Males Using Electromyography Features. Int. J. Ind. Ergon. 2022, 88, 103273. [Google Scholar] [CrossRef]
- Sammer, G.; Blecker, C.; Gebhardt, H.; Bischoff, M.; Stark, R.; Morgen, K.; Vaitl, D. Relationship between Regional Hemodynamic Activity and Simultaneously Recorded EEG-Theta Associated with Mental Arithmetic-Induced Workload. Hum. Brain Mapp. 2007, 28, 793–803. [Google Scholar] [CrossRef]
- Jawinski, P.; Kirsten, H.; Sander, C.; Spada, J.; Ulke, C.; Huang, J.; Burkhardt, R.; Scholz, M.; Hensch, T.; Hegerl, U. Human Brain Arousal in the Resting State: A Genome-Wide Association Study. Mol. Psychiatry 2019, 24, 1599–1609. [Google Scholar] [CrossRef]
- Hegerl, U.; Sander, C.; Ulke, C.; Böttger, D.; Hensch, T.; Huang, J.; Mauche, N.; Olbrich, S. Vigilance Algorithm Leipzig (VIGALL) Version 2.1 Manual. Available online: https://research.uni-leipzig.de/vigall/ (accessed on 14 July 2022).
- Kappel, S.L.; Looney, D.; Mandic, D.P.; Kidmose, P. Physiological Artifacts in Scalp EEG and Ear-EEG. Biomed. Eng. Online 2017, 16, 103. [Google Scholar] [CrossRef] [PubMed]
- Britton, J.W.; Frey, L.C.; Hopp, J.L.; Korb, P.; Koubeissi, M.Z.; Lievens, W.E.; Pestana-Knight, E.M.; St Louis, E.K. Electroencephalography (EEG): An Introductory Text and Atlas of Normal and Abnormal Findings in Adults, Children, and Infants; American Epilepsy Society: Chicago, IL, USA, 2016. [Google Scholar]
- Delorme, A.; Makeig, S. EEGLAB: An Open Source Toolbox for Analysis of Single-Trial EEG Dynamics Including Independent Component Analysis. J. Neurosci. Methods 2004, 134, 9–21. [Google Scholar] [CrossRef] [PubMed]
- Mullen, T.; Kothe, C.; Chi, Y.M.; Ojeda, A.; Kerth, T.; Makeig, S.; Cauwenberghs, G.; Jung, T.-P. Real-Time Modeling and 3D Visualization of Source Dynamics and Connectivity Using Wearable EEG. In Proceedings of the Engineering in Medicine and Biology Society (EMBC), 2013 35th Annual International Conference of the IEEE, Osaka, Japan, 3–7 July 2013; pp. 2184–2187. [Google Scholar]
- Palmer, J.; Kreutz-Delgado, K.; Makeig, S. An Adaptive Mixture of Independent Component Analyzers with Shared Components. Swart. Cent. Comput. Neurosci. Univ. Calif. San Diego CA Tech. Rep. 2010, 1–15. Available online: https://sccn.ucsd.edu/~jason/amica_a.pdf (accessed on 5 March 2022).
- Fan, X.; Zhao, C.; Zhang, X.; Luo, H.; Zhang, W. Assessment of Mental Workload Based on Multi-Physiological Signals. Technol. Health Care 2020, 28, 67–80. [Google Scholar] [CrossRef]
- Khalaf, T.M.; Ramadan, M.Z.; Ragab, A.E.; Alhaag, M.H.; AlSharabi, K.A. Psychophysiological Responses to Manual Lifting of Unknown Loads. PLoS ONE 2021, 16, e0247442. [Google Scholar] [CrossRef]
- Welch, P. The Use of Fast Fourier Transform for the Estimation of Power Spectra: A Method Based on Time Averaging over Short, Modified Periodograms. IEEE Trans. Audio Electroacoust. 1967, 15, 70–73. [Google Scholar] [CrossRef]
- Werrlich, S.; Daniel, A.; Ginger, A.; Nguyen, P.-A.; Notni, G. Comparing HMD-Based and Paper-Based Training. In Proceedings of the 2018 IEEE International Symposium on Mixed and Augmented Reality (ISMAR), Munich, Germany, 18–20 October 2018; pp. 134–142. [Google Scholar]
- Hanusz, Z.; Tarasińska, J. Normalization of the Kolmogorov–Smirnov and Shapiro–Wilk Tests of Normality. Biom. Lett. 2015, 52, 85–93. [Google Scholar] [CrossRef]
- Mengoni, M.; Ceccacci, S.; Generosi, A.; Leopardi, A. Spatial Augmented Reality: An Application for Human Work in Smart Manufacturing Environment. Procedia Manuf. 2018, 17, 476–483. [Google Scholar] [CrossRef]
- Radkowski, R.; Herrema, J.; Oliver, J. Augmented Reality-Based Manual Assembly Support with Visual Features for Different Degrees of Difficulty. Int. J. Hum. Comput. Interact. 2015, 31, 337–349. [Google Scholar] [CrossRef]
- Alves, J.; Marques, B.; Oliveira, M.; Araújo, T.; Dias, P.; Santos, B.S. Comparing Spatial and Mobile Augmented Reality for Guiding Assembling Procedures with Task Validation. In Proceedings of the 2019 IEEE International Conference on Autonomous Robot Systems and Competitions (ICARSC), Cosme, Portugal, 24–26 April 2019; pp. 1–6. [Google Scholar]
- Bendzioch, S.; Bläsing, D.; Hinrichsen, S. Comparison of Different Assembly Assistance Systems Under Ergonomic and Economic Aspects. In Proceedings of the International Conference on Human Systems Engineering and Design: Future Trends and Applications, Pula, Croatia, 22–24 September 2019; pp. 20–25. [Google Scholar]
- Deshpande, A.; Kim, I. The Effects of Augmented Reality on Improving Spatial Problem Solving for Object Assembly. Adv. Eng. Informatics 2018, 38, 760–775. [Google Scholar] [CrossRef]
- Wickens, C.D.; Helton, W.S.; Hollands, J.G.; Banbury, S. Engineering Psychology and Human Performance; Routledge: Oxfordshire, UK, 2021. [Google Scholar]
- Baddeley, A. Working Memory. Science 1992, 255, 556–559. [Google Scholar] [CrossRef]
- Miller, G.A. The Magical Number Seven, plus or Minus Two: Some Limits on Our Capacity for Processing Information. Psychol. Rev. 1956, 63, 81. [Google Scholar] [CrossRef] [PubMed]
- Goldman-Rakic, P.S. Regional and Cellular Fractionation of Working Memory. Proc. Natl. Acad. Sci. USA 1996, 93, 13473–13480. [Google Scholar] [CrossRef] [PubMed]
- Ayaz, H.; Shewokis, P.A.; Bunce, S.; Izzetoglu, K.; Willems, B.; Onaral, B. Optical Brain Monitoring for Operator Training and Mental Workload Assessment. Neuroimage 2012, 59, 36–47. [Google Scholar] [CrossRef] [PubMed]
- Tang, A.; Owen, C.; Biocca, F.; Mou, W. Comparative Effectiveness of Augmented Reality in Object Assembly. In Proceedings of the SIGCHI Conference on Human Factors in Computing Systems, Lauderdale, FL, USA, 5–10 April 2003; pp. 73–80. [Google Scholar]
- Lamberti, F.; Manuri, F.; Sanna, A.; Paravati, G.; Pezzolla, P.; Montuschi, P. Challenges, Opportunities, and Future Trends of Emerging Techniques for Augmented Reality-Based Maintenance. IEEE Trans. Emerg. Top. Comput. 2014, 2, 411–421. [Google Scholar] [CrossRef]
- Bosch, T.; Könemann, R.; de Cock, H.; Van Rhijn, G. The Effects of Projected versus Display Instructions on Productivity, Quality and Workload in a Simulated Assembly Task. In Proceedings of the 10th International Conference on PErvasive Technologies Related to Assistive Environments, Rhodes, Greece, 21–23 June 2017; pp. 412–415. [Google Scholar]
- Büttner, S.; Prilla, M.; Röcker, C. Augmented Reality Training for Industrial Assembly Work-Are Projection-Based AR Assistive Systems an Appropriate Tool for Assembly Training? In Proceedings of the 2020 CHI Conference on Human Factors in Computing Systems, Honolulu, HI, USA, 25–30 April 2020; pp. 1–12. [Google Scholar]
- Re, G.M.; Oliver, J.; Bordegoni, M. Impact of Monitor-Based Augmented Reality for on-Site Industrial Manual Operations. Cogn. Technol. Work 2016, 18, 379–392. [Google Scholar] [CrossRef]
- Dan, A.; Reiner, M. EEG-Based Cognitive Load of Processing Events in 3D Virtual Worlds Is Lower than Processing Events in 2D Displays. Int. J. Psychophysiol. 2017, 122, 75–84. [Google Scholar] [CrossRef]
- Aljuaid, A. A Neuroergonomics Study of Brain EEG’s Activity During Manual Lifting Tasks; University of Central Florida: Orlando, FL, USA, 2016. [Google Scholar]
- Bengson, J.J.; Kelley, T.A.; Mangun, G.R. The Neural Correlates of Volitional Attention: A Combined FMRI and ERP Study. Hum. Brain Mapp. 2015, 36, 2443–2454. [Google Scholar] [CrossRef]
- Liu, Y.; Hong, X.; Bengson, J.J.; Kelley, T.A.; Ding, M.; Mangun, G.R. Deciding Where to Attend: Large-Scale Network Mechanisms Underlying Attention and Intention Revealed by Graph-Theoretic Analysis. Neuroimage 2017, 157, 45–60. [Google Scholar] [CrossRef]
- Taylor, P.C.J.; Rushworth, M.F.S.; Nobre, A.C. Choosing Where to Attend and the Medial Frontal Cortex: An FMRI Study. J. Neurophysiol. 2008, 100, 1397–1406. [Google Scholar] [CrossRef]
- Danko, S.G.; Shemyakina, N.V.; Nagornova, Z.V.; Starchenko, M.G. Comparison of the Effects of the Subjective Complexity and Verbal Creativity on EEG Spectral Power Parameters. Hum. Physiol. 2009, 35, 381–383. [Google Scholar] [CrossRef]
- Fink, A.; Grabner, R.H.; Benedek, M.; Reishofer, G.; Hauswirth, V.; Fally, M.; Neuper, C.; Ebner, F.; Neubauer, A.C. The Creative Brain: Investigation of Brain Activity during Creative Problem Solving by Means of EEG and FMRI. Hum. Brain Mapp. 2009, 30, 734–748. [Google Scholar] [CrossRef] [PubMed]
- Grabner, R.H.; Fink, A.; Neubauer, A.C. Brain Correlates of Self-Rated Originality of Ideas: Evidence from Event-Related Power and Phase-Locking Changes in the EEG. Behav. Neurosci. 2007, 121, 224. [Google Scholar] [CrossRef] [PubMed]
- Rominger, C.; Papousek, I.; Perchtold, C.M.; Benedek, M.; Weiss, E.M.; Schwerdtfeger, A.; Fink, A. Creativity Is Associated with a Characteristic U-Shaped Function of Alpha Power Changes Accompanied by an Early Increase in Functional Coupling. Cogn. Affect. Behav. Neurosci. 2019, 19, 1012–1021. [Google Scholar] [CrossRef]
- Volf, N.V.; Tarasova, I.V. The Relationships between EEG $θ$ and $β$ Oscillations and the Level of Creativity. Hum. Physiol. 2010, 36, 132–138. [Google Scholar] [CrossRef]
- Benedek, M. The Neuroscience of Creative Idea Generation. In Exploring Transdisciplinarity in Art and Sciences; Springer: Berlin/Heidelberg, Germany, 2018; pp. 31–48. [Google Scholar]
- Aftanas, L.I.; Golocheikine, S.A. Human Anterior and Frontal Midline Theta and Lower Alpha Reflect Emotionally Positive State and Internalized Attention: High-Resolution EEG Investigation of Meditation. Neurosci. Lett. 2001, 310, 57–60. [Google Scholar] [CrossRef]
- Shaw, J.C. Intention as a Component of the Alpha-Rhythm Response to Mental Activity. Int. J. Psychophysiol. 1996, 24, 7–23. [Google Scholar] [CrossRef]
- Cooper, N.R.; Croft, R.J.; Dominey, S.J.J.; Burgess, A.P.; Gruzelier, J.H. Paradox Lost? Exploring the Role of Alpha Oscillations during Externally vs. Internally Directed Attention and the Implications for Idling and Inhibition Hypotheses. Int. J. Psychophysiol. 2003, 47, 65–74. [Google Scholar] [CrossRef]
- Klimesch, W.; Sauseng, P.; Hanslmayr, S. EEG Alpha Oscillations: The Inhibition--Timing Hypothesis. Brain Res. Rev. 2007, 53, 63–88. [Google Scholar] [CrossRef]
- Haritos, T.; Macchiarella, N.D. A Mobile Application of Augmented Reality for Aerospace Maintenance Training. In Proceedings of the 24th Digital Avionics Systems Conference, Washington, DC, USA, 30 October–3 November 2004; Volume 1, p. 5. [Google Scholar]
- Wickens, C.D. Multiple Resources and Mental Workload. Hum. Factors 2008, 50, 449–455. [Google Scholar] [CrossRef]
- Neumann, U.; Majoros, A. Cognitive, Performance, and Systems Issues for Augmented Reality Applications in Manufacturing and Maintenance. In Proceedings of the IEEE 1998 Virtual Reality Annual International Symposium (Cat. No. 98CB36180), Atlanta, Georgia, 14–18 March 1998; pp. 4–11. [Google Scholar]
- Rho, G.; Callara, A.L.; Condino, S.; Ghiasi, S.; Nardelli, M.; Carbone, M.; Ferrari, V.; Greco, A.; Scilingo, E.P. A Preliminary Quantitative EEG Study on Augmented Reality Guidance of Manual Tasks. In Proceedings of the 2020 IEEE International Symposium on Medical Measurements and Applications (MeMeA), Virtual, 1 June–1 July 2020; pp. 1–5. [Google Scholar]
- Oshima, K.; Moser, K.R.; Rompapas, D.C.; Swan, J.E.; Ikeda, S.; Yamamoto, G.; Taketomi, T.; Sandor, C.; Kato, H. SharpView: Improved Clarity of Defocused Content on Optical See-through Head-Mounted Displays. In Proceedings of the 2016 IEEE Symposium on 3D User Interfaces (3DUI), Greenville, SC, USA, 19–20 March 2016; pp. 173–181. [Google Scholar]
- Birkfellner, W.; Huber, K.; Watzinger, F.; Figl, M.; Wanschitz, F.; Hanel, R.; Rafolt, D.; Ewers, R.; Bergmann, H. Development of the Varioscope AR. A See-through HMD for Computer-Aided Surgery. In Proceedings of the IEEE and ACM International Symposium on Augmented Reality (ISAR 2000), Munich, Germany, 5–6 October 2000; pp. 54–59. [Google Scholar]








| Disassembly Steps | Assembly Steps | ||
|---|---|---|---|
| 1 | Detach the V-belt pulley from the crankshaft. | 21 | Before installing the grooved ball bearings on the crankshaft, lightly lubricate the shaft. |
| 2 | Remove the stud bolt, hexagon nut, and washer. | 22 | Fit the ball bearing with the groove at the connecting rod seat on the crankshaft. |
| 3 | Pull the packing gland out of the pump and remove the hexagon nut from the stud bolts. | 23 | Without bending the crankshaft, drive the grooved ball bearing onto it using a soft hammer, until the grooved ball bearing hits the recess. |
| 4 | Detach the pump housing from the gearbox. Carefully guide the piston out of the cylinder pipe when doing so. | 24 | Insert the piston rod and connecting rod into the gearbox. The crosshead should not be inserted into the guide bush just yet; the piston rod should protrude slightly from the oil splash guard. |
| 5 | Remove duo’s hexagon nut with the spring ring from duo-piston | 25 | Install an oil splash guard in the housing of the gearbox. |
| 6 | Pull the duo-piston from the piston rod. | 26 | Twist the oil stripper and press it against the piston rod. |
| 7 | Remove the hexagon nut from the rod. | 27 | Position the packing gland seal on the packing gland. |
| 8 | Remove the open bearing cover and bearing cover seal from the gearbox housing by unscrewing the hexagon screws. | 28 | Slot the piston rod through the packing gland and insert the crosshead in the guide bush. |
| 9 | Remove the closed bearing cover and bearing cover seal from the gearbox housing by unscrewing the hexagon screws. | 29 | Screw a hexagon nut and washer onto the piston rod. |
| 10 | Lever gearbox cover from the gearbox housing | 30 | Insert the duo-piston onto the piston rod. |
| 11 | Loosen screw fitting on connecting rod | 31 | Tighten the hexagon nut with the spring. |
| 12 | Pull the crankshaft from the base of the connecting rods. To remove the connecting rod bearing, you must first spread the base of the rod using a screwdriver. | 32 | Fit crankshaft into connecting rod base. |
| 13 | Take the crosshead and the rod that controls the piston out of the guide bush. The connecting rod should be left inside the gearbox. | 33 | To facilitate the insertion of the connecting rod bearing, open up the base of the rod using a screwdriver. |
| 14 | Take packing gland seal from packing gland. | 34 | Mount the gearbox cover on the gearbox housing. |
| 15 | Twist the oil stripper off the piston rod. | 35 | Position the bearing cover seal against the gearbox housing. |
| 16 | Lever oil splash guard from the gearbox housing | 36 | Drive hexagonal screws into the gearbox housing to secure the open bearing cover. |
| 17 | Take the connecting rod and piston rod out of the gearbox housing. | 37 | Press the gearbox housing against the pump housing. |
| 18 | Insert the puller into the ball bearing groove. The hook arms are evenly pressed against the ball-bearing grooves. | 38 | Connect the pump’s gearbox and housing using the hexagon nut. |
| 19 | Turn the adjuster thread against the shaft end. Ensure the jig is centered. | 39 | Put packing glands on stud bolts using a hexagon nut and washer. |
| 20 | Carefully turn the adjustment thread to remove the grooved ball bearing from the crankshaft. | 40 | Push the V-belt pulley onto the crankshaft. |
| Disassembly Steps | Assembly Steps | ||
|---|---|---|---|
| 1 | Unscrew the water plug with the seal from the air chamber. | 14 | Place the valve seat seal into the pump housing. |
| 2 | Unscrew the cap nut and washer from the air chamber bolt. | 15 | Place both intake valves on one side of a pump housing. |
| 3 | Lift the air chamber from the pump housing. | 16 | Position both pressure valves on the pump housing’s opposite side. |
| 4 | Remove the air chamber seal from the housing. | 17 | Cover each pressure and intake valve with a bridge. |
| 5 | Remove the bolt for the air chamber from the pump housing. | 18 | Use a hexagonal screw and washer to secure the valve bridges. |
| 6 | Loosen hexagon screws and take off the intake and pressure flanges with seals. | 19 | Tighten the drain plug containing the seal into the tapped hole. |
| 7 | Take off the drain plug and seal it from the tapped hole in the pump housing. | 20 | Fit seals at intake and pressure fittings. |
| 8 | Remove the hex nuts and washers from the valve bridge stud bolts. | 21 | Tighten both straight flanges with hexagon screws to the intake and pressure fittings. |
| 9 | Raise valve bridges from intake and pressure valves. | 22 | Screw the air chamber bolt into the pump housing. |
| 10 | Take the pressure valve out of the pump housing. | 23 | Place the air chamber seal on the housing by pushing it over the air chamber bolt. |
| 11 | Take the intake valve out of the pump housing. | 24 | Attach the air chamber to the pump case. The intake valves must be located above the membrane safety valve opening. |
| 12 | Remove the valve seat seal (59) from the pump housing. | 25 | Screw a cap nut with a washer onto the air chamber bolt. |
| 13 | Check valve seat seals and packing gland seals. | 26 | Screw the water plug with the seal into the air chamber. |
| Variable | Mean (SD) | p-Value (η2) | ||||||
|---|---|---|---|---|---|---|---|---|
| Instruction Methods | Paper-Based Instruction | AR-Based Instruction | Instruction | Complexity | Interaction | |||
| Brain Regions | Task Complexity | High | Low | High | Low | |||
| Frontal | Theta (θ) | 0.99 (0.98) | 0.69 (0.61) | 1.26 (0.77) | 0.74 (0.41) | 0.54 (0.02) | 0.04 (0.21) | 0.59 (0.02) |
| Alpha (α) | 0.41 (0.23) | 0.35 (0.25) | 2.08 (1.95) | 0.43 (0.22) | 0.01 (0.30) | 0.01 (0.30) | 0.02 (0.30) | |
| Beta (β) | 0.21 (0.04) | 0.27 (0.11) | 0.15 (0.07) | 0.25 (0.06) | 0.12 (0.13) | 0.002 (0.43) | 0.51 (0.024) | |
| Central | Theta (θ) | 0.53 (0.29) | 0.47 (0.19) | 1.09 (0.66) | 0.47 (0.19) | 0.01 (0.32) | 0.003 (0.4) | 0.08 (0.16) |
| Alpha (α) | 0.28 (0.15) | 0.22 (0.09) | 0.73 (0.33) | 0.31 (0.05) | 0.00 (0.50) | 0.00 (0.54) | 0.00 (0.40) | |
| Beta (β) | 0.20 (0.06) | 0.35 (0.16) | 0.11 (00.03) | 0.16 (0.8) | 0.00 (0.52) | 0.00 (0.41) | 0.12 (0.13) | |
| Parietal | Theta (θ) | 0.83 (0.41) | 0.66 (0.28) | 2.00 (1.41) | 0.73 (0.33) | 0.02 (0.26) | 0.00 (0.34) | 0.03 (0.23) |
| Alpha (α) | 0.55 (0.37) | 0.49 (0.22) | 1.09 (0.43) | 0.56 (0.22) | 0.01 (0.30) | 0.00 (0.40) | 0.02 (0.30) | |
| Beta (β) | 0.57 (0.32) | 0.61 (0.19) | 0.34 (0.15) | 0.60 (0.21) | 0.20 (0.11) | 0.03 (0.24) | 0.10 (0.15) | |
| Occipital | Theta (θ) | 2.45 (1.43) | 1.5 (1.05) | 2.79 (1.55) | 1.21 (0.84) | 0.96 (0) | 0.00 (0.51) | 0.3 (0.06) |
| Alpha (α) | 1.81 (0.61) | 1.060 (0.67) | 3.52 (1.91) | 1.24 (0.82) | 0.03 (0.25) | 0.00 (0.54) | 0.03 (0.23) | |
| Beta (β) | 2.20 (0.63) | 2.67 (0.55) | 1.42 (0.38) | 1.60 (0.37) | 0.00 (0.55) | 0.00 (0.35) | 0.20 (0.10) | |
| Temporal | Theta (θ) | 0.66 (0.45) | 0.50 (0.24) | 0.92 (0.34) | 0.44 (0.23) | 0.4 (0.043) | 0.00 (0.40) | 0.11 (0.14) |
| Alpha (α) | 0.51 (0.29) | 0.32 (0.11) | 1.03 (0.44) | 0.36 (0.23) | 0.02 (0.26) | 0.00 (0.70) | 0.00 (0.43) | |
| Beta (β) | 0.27 (0.17) | 0.36 (0.18) | 0.18 (0.10) | 0.34 (0.12) | 0.35 (0.05) | 0.00 (0.40) | 0.35 (0.05) | |
| Variable | Mean (SD) | Statistics p (η2) | |||||
|---|---|---|---|---|---|---|---|
| Instruction Methods | AR-Based Instruction | Paper-Based Instruction | Instruction (η2) | Complexity (η2) | Interaction | ||
| Task Complexity | High | Low | High | Low | |||
| Mental demand | 68.21 (13.10) | 30.71 (11.24) | 73.93 (7.12) | 25.00 (11.24) | 1 (0.00) | 0.00 (0.97) | 0.00 (0.39) |
| Physical demand | 61.79 (7.50) | 33.57 (8.64) | 70.36 (7.71) | 30.35 (8.43) | 0.17 (0.07) | 0.00 (0.90) | 0.02 (0.20) |
| Temporal demand | 66.79 (13.95) | 40.00 (9.61) | 66.79 (6.96) | 27.85 (9.55) | 0.07 (0.13) | 0.00 (0.90) | 0.01 (0.21) |
| Performance | 75.00 (7.33) | 58.92 (14.17) | 82.14 (7.26) | 81.43 (7.95) | 0.00 (0.50) | 0.00 (0.40) | 0.00 (0.33) |
| Effort | 69.29 (7.56) | 48.93 (11.12) | 68.93 (9.03) | 58.21 (8.823) | 0.07 (0.12) | 0.00 (0.60) | 0.06 (0.13) |
| Frustration | 18.93 (6.56) | 12.86 (5.08) | 47.50 (9.35) | 17.14 (5.08) | 0.00 (0.73) | 0.00 (0.83) | 0.00 (0.68) |
| Overall weighted demand | 68.35 (4.55) | 43.33 (4.01) | 71.48 (4.02) | 47.95 (4.06) | 0.00 (0.26) | 0.00 (0.96) | 0.43 (0.02) |
Disclaimer/Publisher’s Note: The statements, opinions and data contained in all publications are solely those of the individual author(s) and contributor(s) and not of MDPI and/or the editor(s). MDPI and/or the editor(s) disclaim responsibility for any injury to people or property resulting from any ideas, methods, instructions or products referred to in the content. |
© 2023 by the authors. Licensee MDPI, Basel, Switzerland. This article is an open access article distributed under the terms and conditions of the Creative Commons Attribution (CC BY) license (https://creativecommons.org/licenses/by/4.0/).
Share and Cite
Alessa, F.M.; Alhaag, M.H.; Al-harkan, I.M.; Ramadan, M.Z.; Alqahtani, F.M. A Neurophysiological Evaluation of Cognitive Load during Augmented Reality Interactions in Various Industrial Maintenance and Assembly Tasks. Sensors 2023, 23, 7698. https://doi.org/10.3390/s23187698
Alessa FM, Alhaag MH, Al-harkan IM, Ramadan MZ, Alqahtani FM. A Neurophysiological Evaluation of Cognitive Load during Augmented Reality Interactions in Various Industrial Maintenance and Assembly Tasks. Sensors. 2023; 23(18):7698. https://doi.org/10.3390/s23187698
Chicago/Turabian StyleAlessa, Faisal M., Mohammed H. Alhaag, Ibrahim M. Al-harkan, Mohamed Z. Ramadan, and Fahad M. Alqahtani. 2023. "A Neurophysiological Evaluation of Cognitive Load during Augmented Reality Interactions in Various Industrial Maintenance and Assembly Tasks" Sensors 23, no. 18: 7698. https://doi.org/10.3390/s23187698
APA StyleAlessa, F. M., Alhaag, M. H., Al-harkan, I. M., Ramadan, M. Z., & Alqahtani, F. M. (2023). A Neurophysiological Evaluation of Cognitive Load during Augmented Reality Interactions in Various Industrial Maintenance and Assembly Tasks. Sensors, 23(18), 7698. https://doi.org/10.3390/s23187698

