Does Accelerometry at the Centre of Mass Accurately Predict the Gait Energy Expenditure in Patients with Hemiparesis?
Abstract
1. Introduction
2. Materials and Methods
2.1. Participants
2.2. Procedures
2.2.1. Energy Expenditure: Indirect Calorimetry (EEMETA)
2.2.2. Energy Expenditure: Accelerometery (
- Sensor: A lightweight (38 g), compact (78 × 53 × 10 mm), three-axis accelerometer (250 Hz, ±16 g) was positioned between the third and fourth lumbar vertebrae using a custom-made support. This has previously been recommended for the optimal estimation of energy expenditure [18,32,33]. This positioning is considered to be representative of the displacement of the centre of mass in the global coordinate system. A connected chest-strap monitor (EQO2, Equivital, Cambridge, UK) was used to measure heart rate during the 6MWT.
- Estimation of energy expenditure: Bouten’s method was used to estimate energy expenditure [21]. This method requires accelerometric signal processing in 3 steps:
- (1)
- The raw signals were initially filtered using a Butterworth filter (4th order with a 20 Hz cut-off frequency);
- (2)
- The absolute values of the signal obtained on the three axes (IAAtot) were then calculated in 30 s periods, and then summed for the duration of the test [21];where X, Y, and Z correspond to the 3 axes of the accelerometer;
- (3)
- The following equation was used to obtain predicted EEACC (W·kg−1):
2.3. Statistical Analysis
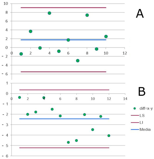
3. Results
4. Discussion
5. Conclusions
Author Contributions
Funding
Institutional Review Board Statement
Informed Consent Statement
Data Availability Statement
Acknowledgments
Conflicts of Interest
References
- Ezeugwu, V.E.; Manns, P.J. Sleep Duration, Sedentary Behavior, Physical Activity, and Quality of Life after Inpatient Stroke Rehabilitation. J. Stroke Cerebrovasc. Dis. 2017, 26, 2004–2012. [Google Scholar] [CrossRef]
- Motl, R.W.; Gosney, J.L. Effect of Exercise Training on Quality of Life in Multiple Sclerosis: A Meta-Analysis. Mult. Scler. 2008, 14, 129–135. [Google Scholar] [CrossRef] [PubMed]
- Dalgas, U.; Stenager, E.; Ingemann-Hansen, T. Multiple Sclerosis and Physical Exercise: Recommendations for the Application of Resistance-, Endurance- and Combined Training. Mult. Scler. 2008, 14, 35–53. [Google Scholar] [CrossRef]
- Herman Hansen, R.; Kolle, E.; Mikal Dyrstad, S.; Holme, I.; Alfred Anderssen, S.; Kolle, E.; Dyrstad, S.M.; Anderssen Accelerometer, S.A. Accelerometer-Determined Physical Activity in Adults and Older People. Determ. Phys. Act. Adults Older People. Med. Sei. Sports Exerc. 2012, 44, 266–272. [Google Scholar] [CrossRef] [PubMed]
- Jo, A.; Coronel, B.D.; Coakes, C.E.; Mainous, A.G. Is There a Benefit to Patients Using Wearable Devices Such as Fitbit or Health Apps on Mobiles? A Systematic Review. Am. J. Med. 2019, 132, 1394–1400.e1. [Google Scholar] [CrossRef] [PubMed]
- Stookey, A.D.; McCusker, M.G.; Sorkin, J.D.; Katzel, L.I.; Shaughnessy, M.; Macko, R.F.; Ivey, F.M. Test-Retest Reliability of Portable Metabolic Monitoring after Disabling Stroke. Neurorehabil. Neural Repair. 2013, 27, 872–877. [Google Scholar] [CrossRef]
- Evenson, K.R.; Goto, M.M.; Furberg, R.D. Systematic Review of the Validity and Reliability of Consumer-Wearable Activity Trackers. Int. J. Behav. Nutr. Phys. Act. 2015, 12, 1–12. [Google Scholar] [CrossRef]
- Mandigout, S.; Lacroix, J.; Ferry, B.; Vuillerme, N.; Compagnat, M.; Daviet, J.C. Can Energy Expenditure Be Accurately Assessed Using Accelerometry-Based Wearable Motion Detectors for Physical Activity Monitoring in Post-Stroke Patients in the Subacute Phase? Eur. J. Prev. Cardiol. 2017, 24, 2009–2016. [Google Scholar] [CrossRef]
- Kuwashiro, T.; Sugimori, H.; Ago, T.; Kamouchi, M.; Kitazono, T. Risk Factors Predisposing to Stroke Recurrence within One Year of Non-Cardioembolic Stroke Onset: The Fukuoka Stroke Registry. Cerebrovasc. Dis. 2012, 33, 141–149. [Google Scholar] [CrossRef]
- Smith, A.C.; Saunders, D.H.; Mead, G. Cardiorespiratory Fitness after Stroke: A Systematic Review. Int. J. Stroke 2012, 7, 499–510. [Google Scholar] [CrossRef]
- Lynch, E.A.; Jones, T.M.; Simpson, D.B.; Fini, N.A.; Kuys, S.S.; Borschmann, K.; Kramer, S.; Johnson, L.; Callisaya, M.L.; Mahendran, N.; et al. Activity Monitors for Increasing Physical Activity in Adult Stroke Survivors. Cochrane Database Syst. Rev. 2018, 2018, e4–e5. [Google Scholar] [CrossRef] [PubMed]
- English, C.; Healy, G.N.; Coates, A.; Lewis, L.K.; Olds, T.; Bernhardt, J. Sitting Time and Physical Activity after Stroke: Physical Ability Is Only Part of the Story. Top. Stroke Rehabil. 2016, 23, 36–42. [Google Scholar] [CrossRef] [PubMed]
- Waters, R.L.; Mulroy, S. The Energy Expenditure of Normal and Pathologic Gait. Gait Posture 1999, 9, 207–231. [Google Scholar] [CrossRef]
- Haute Autorité de Santé Prescription d’activité Physique et Sportive Accidents Vasculaires Cérébraux. 2018; pp. 1–10. Available online: https://www.has-sante.fr/upload/docs/application/pdf/2018-10/ref_aps_avc_vf.pdf (accessed on 27 July 2023).
- Dobkin, B.H. Wearable Motion Sensors to Continuously Measure Real-World Physical Activities. Curr. Opin. Neurol. 2013, 26, 602–608. [Google Scholar] [CrossRef]
- Lyden, K.; Kozey, S.L.; Staudenmeyer, J.W. Energy Expenditure and MET Prediction Equations. Eur. J. Appl. Physiol. 2012, 111, 187–201. [Google Scholar] [CrossRef]
- Hall, K.S.; Howe, C.A.; Rana, S.R.; Martin, C.L.; Morey, M.C. METs and Accelerometry of Walking in Older Adults. Med. Sci. Sports Exerc. 2013, 45, 574–582. [Google Scholar] [CrossRef]
- Bouten, C.V.C.; Sauren, A.A.H.J.; Verduin, M.; Janssen, J.D. Effects of Placement and Orientation of Body-Fixed Accelerometers on the Assessment of Energy Expenditure during Walking. Med. Biol. Eng. Comput. 1997, 35, 50–56. [Google Scholar] [CrossRef] [PubMed]
- Caron, N.; Peyrot, N.; Caderby, T.; Verkindt, C.; Dalleau, G. Accelerometry-Based Method for Assessing Energy Expenditure in Patients with Diabetes during Walking. J. Hum. Nutr. Diet. 2019, 32, 531–534. [Google Scholar] [CrossRef]
- Levine, J.; Melanson, E.L.; Westerterp, K.R.; Hill, J.O. Tracmor System for Measuring Walking Energy Expenditure. Eur. J. Clin. Nutr. 2003, 57, 1176–1180. [Google Scholar] [CrossRef]
- Valenti, G.; Bonomi, A.G.; Westerterp, K.R. Body Acceleration as Indicator for Walking Economy in an Ageing Population. PLoS ONE 2015, 10, e0141431. [Google Scholar] [CrossRef]
- Bouten, C.V.C.; Westerterp, K.R.; Verduin’, M.; Janssen’, J.D. A Triaxial Accelerometer for the Assessment of Daily Physical Activity in Relation to Energy Expenditure. In Proceedings of the Proceedings of the 15th Annual International Conference of the IEEE Engineering in Medicine and Biology Societ, San Diego, CA, USA, 31 October 1993. [Google Scholar]
- Bouten, C.V.; Westerterp, K.R.; Verduin, M.J.J.D. Assessment of Energy Expenditure for Physical Activity Using a Triaxial Accelerometer. Med. Sci. Sports Exerc. 1994, 26, 1516–1523. [Google Scholar] [CrossRef]
- Chen, G.; Patten, C.; Kothari, D.H.; Zajac, F.E. Gait Differences between Individuals with Post-Stroke Hemiparesis and Non-Disabled Controls at Matched Speeds. Gait Posture 2005, 22, 51–56. [Google Scholar] [CrossRef] [PubMed]
- Slawinski, J.; Pradon, D.; Bensmail, D.; Roche, N.; Zory, R. Energy Cost of Obstacle Crossing in Stroke Patients. Am. J. Phys. Med. Rehabil. 2014, 93, 1044–1050. [Google Scholar] [CrossRef] [PubMed]
- Kerrigan, D.C.; Bang, M.S.; Burke, D.T. An Algorithm to Assess Stiff-Legged Gait in Traumatic Brain Injury. J. Head. Trauma. Rehabil. 1999, 14, 136–145. [Google Scholar] [CrossRef] [PubMed]
- Olney, S.J.; Griffin, M.P.; Monga, T.N.; McBride, I.D. Work and Power in Gait of Stroke Patients. Arch. Phys. Med. Rehabil. 1991, 72, 309–314. [Google Scholar] [PubMed]
- Olney, S.J.; Richardsb, C. Hemiparetic Gait Following Stroke. Part I: Characteristics; Elsevier: Amsterdam, The Netherlands, 1996; Volume 4. [Google Scholar]
- Waters, R.L.; Frazier, J.; Garland, D.E.; Jordan, C.; Perry, J. Electromyographic Gait Analysis before and after Operative Treatment for Hemiplegic Equinus and Equinovarus Deformity. J. Bone Jt. Surg. Am. 1982, 64, 284–288. [Google Scholar] [CrossRef]
- Olney, S.J.; Monga, T.N.; Costigan, P.A. Mechanical Energy of Walking of Stroke Patients. Arch. Phys. Med. Rehabil. 1986, 67, 92–98. [Google Scholar] [CrossRef]
- Crapo, R.O.; Casaburi, R.; Coates, A.L.; Enright, P.L.; MacIntyre, N.R.; McKay, R.T.; Johnson, D.; Wanger, J.S.; Zeballos, R.J.; Bittner, V.; et al. ATS Statement: Guidelines for the Six-Minute Walk Test. Am. J. Respir. Crit. Care Med. 2002, 166, 111–117. [Google Scholar]
- Auvinet, B.; Gloria, E.; Renault, G.; Barrey, E. Runner’s Stride Analysis: Comparison of Kinematic and Kinetic Analyses under Field Conditions. Sci. Sports 2002, 17, 92–94. [Google Scholar] [CrossRef]
- Demonceau, M.; Donneau, A.F.; Croisier, J.L.; Skawiniak, E.; Boutaayamou, M.; Maquet, D.; Garraux, G. Contribution of a Trunk Accelerometer System to the Characterization of Gait in Patients with Mild-to-Moderate Parkinson’s Disease. IEEE J. Biomed. Health Inf. 2015, 19, 1803–1808. [Google Scholar] [CrossRef]
- Bland, J.M.; Altman, D.G. Statistical Methods for Assessing Agreement between Two Methods of Clinical Measurement. Lancet 1986, 1, 307–310. [Google Scholar] [CrossRef]
- Robertson, J.V.G.; Pradon, D.; Bensmail, D.; Fermanian, C.; Bussel, B.; Roche, N. Relevance of Botulinum Toxin Injection and Nerve Block of Rectus Femoris to Kinematic and Functional Parameters of Stiff Knee Gait in Hemiplegic Adults. Gait Posture 2009, 29, 108–112. [Google Scholar] [CrossRef]
- Gross, R.; Delporte, L.; Arsenault, L.; Revol, P.; Lefevre, M.; Clevenot, D.; Boisson, D.; Mertens, P.; Rossetti, Y.; Luauté, J. Does the Rectus Femoris Nerve Block Improve Knee Recurvatum in Adult Stroke Patients? A Kinematic and Electromyographic Study. Gait Posture 2014, 39, 761–766. [Google Scholar] [CrossRef]
- Price, K.; Bird, S.R.; Lythgo, N.; Raj, I.S.; Wong, J.Y.L.; Lynch, C. Validation of the Fitbit One, Garmin Vivofit and Jawbone UP Activity Tracker in Estimation of Energy Expenditure during Treadmill Walking and Running. J. Med. Eng. Technol. 2017, 41, 208–215. [Google Scholar] [CrossRef]
- Bai, Y.; Welk, G.J.; Nam, Y.H.; Lee, J.A.; Lee, J.M.; Kim, Y.; Meier, N.F.; Dixon, P.M. Comparison of Consumer and Research Monitors under Semistructured Settings. Med. Sci. Sports Exerc. 2016, 48, 151–158. [Google Scholar] [CrossRef]
- Imboden, M.T.; Nelson, M.B.; Kaminsky, L.A.; Montoye, A.H. Comparison of Four Fitbit and Jawbone Activity Monitors with a Research-Grade ActiGraph Accelerometer for Estimating Physical Activity and Energy Expenditure. Br. J. Sports Med. 2018, 52, 844–850. [Google Scholar] [CrossRef]
- Jeran, S.; Steinbrecher, A.; Pischon, T. Prediction of Activity-Related Energy Expenditure Using Accelerometer-Derived Physical Activity under Free-Living Conditions: A Systematic Review. Int. J. Obes. 2016, 40, 1187–1197. [Google Scholar] [CrossRef]
- Crouter, S.E.; Churilla, J.R.; Bassett, D.R. Estimating Energy Expenditure Using Accelerometers. Eur. J. Appl. Physiol. 2006, 98, 601–612. [Google Scholar] [CrossRef]
- Compagnat, M.; Mandigout, S.; Chaparro, D.; Daviet, J.C.; Salle, J.Y. Validity of the Actigraph GT3x and Influence of the Sensor Positioning for the Assessment of Active Energy Expenditure during Four Activities of Daily Living in Stroke Subjects. Clin. Rehabil. 2018, 32, 1696–1704. [Google Scholar] [CrossRef]
- Compagnat, M.; Salle, J.Y.; Vinti, M.; Joste, R.; Daviet, J.C. The Best Choice of Oxygen Cost Prediction Equation for Computing Post-Stroke Walking Energy Expenditure Using an Accelerometer. Neurorehabil. Neural Repair 2022, 36, 298–305. [Google Scholar] [CrossRef]

| Control Group | Patient with Stroke | Mann–Whitney | |||||
|---|---|---|---|---|---|---|---|
| Median | Q1 | Q3 | Median | Q1 | Q3 | ||
| HR (bpm) | 140.0 | 98.1 | 143.7 | 116.0 | 90.1 | 126.5 | p = 0.08 |
| (mL·min−1·kg−1) | 28.65 | 23.35 | 33.83 | 13.55 | 12.63 | 15.8 | p = 0.0001 |
| Distance (m) | 686.5 | 660.0 | 729.7 | 341.0 | 310.0 | 442.0 | p = 0.0001 |
| Median | Q1 | Q3 | Mann–Whitney | ||
|---|---|---|---|---|---|
| EEMETA (W·kg−1) | Control group | 9.85 | 8.18 | 11.89 | p < 0.0001 * |
| Patient with stroke | 5.0 | 4.56 | 5.46 | ||
| EEAcc (W·kg−1) | Control group | 8.57 | 7.86 | 11.24 | p = 0.11 |
| Patient with stroke | 8.2 | 7.05 | 9.56 |
| Median | Q1 | Q3 | Correlation Coefficient | ||
|---|---|---|---|---|---|
| Control group | EEMETA (W·kg−1) | 9.85 | 8.18 | 11.89 | r = 0.09; p = 0.79 |
| EEAcc (W·kg−1) | 8.57 | 7.86 | 11.24 | ||
| Patient with stroke | EEMETA (W·kg−1) | 5.0 | 4.56 | 5.46 | r = 0.56; p = 0.06 |
| EEAcc (W·kg−1) | 8.2 | 7.05 | 9.56 |
Disclaimer/Publisher’s Note: The statements, opinions and data contained in all publications are solely those of the individual author(s) and contributor(s) and not of MDPI and/or the editor(s). MDPI and/or the editor(s) disclaim responsibility for any injury to people or property resulting from any ideas, methods, instructions or products referred to in the content. |
© 2023 by the authors. Licensee MDPI, Basel, Switzerland. This article is an open access article distributed under the terms and conditions of the Creative Commons Attribution (CC BY) license (https://creativecommons.org/licenses/by/4.0/).
Share and Cite
Barassin, L.; Pradon, D.; Roche, N.; Slawinski, J. Does Accelerometry at the Centre of Mass Accurately Predict the Gait Energy Expenditure in Patients with Hemiparesis? Sensors 2023, 23, 7177. https://doi.org/10.3390/s23167177
Barassin L, Pradon D, Roche N, Slawinski J. Does Accelerometry at the Centre of Mass Accurately Predict the Gait Energy Expenditure in Patients with Hemiparesis? Sensors. 2023; 23(16):7177. https://doi.org/10.3390/s23167177
Chicago/Turabian StyleBarassin, Léo, Didier Pradon, Nicolas Roche, and Jean Slawinski. 2023. "Does Accelerometry at the Centre of Mass Accurately Predict the Gait Energy Expenditure in Patients with Hemiparesis?" Sensors 23, no. 16: 7177. https://doi.org/10.3390/s23167177
APA StyleBarassin, L., Pradon, D., Roche, N., & Slawinski, J. (2023). Does Accelerometry at the Centre of Mass Accurately Predict the Gait Energy Expenditure in Patients with Hemiparesis? Sensors, 23(16), 7177. https://doi.org/10.3390/s23167177

