YOLOv5s-DSD: An Improved Aerial Image Detection Algorithm Based on YOLOv5s
Abstract
1. Introduction
- The SPDA-C3 structure is proposed to address the challenges of small objects and complex backgrounds in aerial images in complex scenes.
- The novel decoupled head, Res-DHead, is introduced and integrated with the detection network, significantly improving the detection performance of the algorithm.
- The YOLOv5s-DSD model is proposed, which outperforms other current mainstream detection models in aerial image detection tasks.
2. Related Works
2.1. Feature Extraction
2.2. Detection Head
2.3. NMS
3. Methods
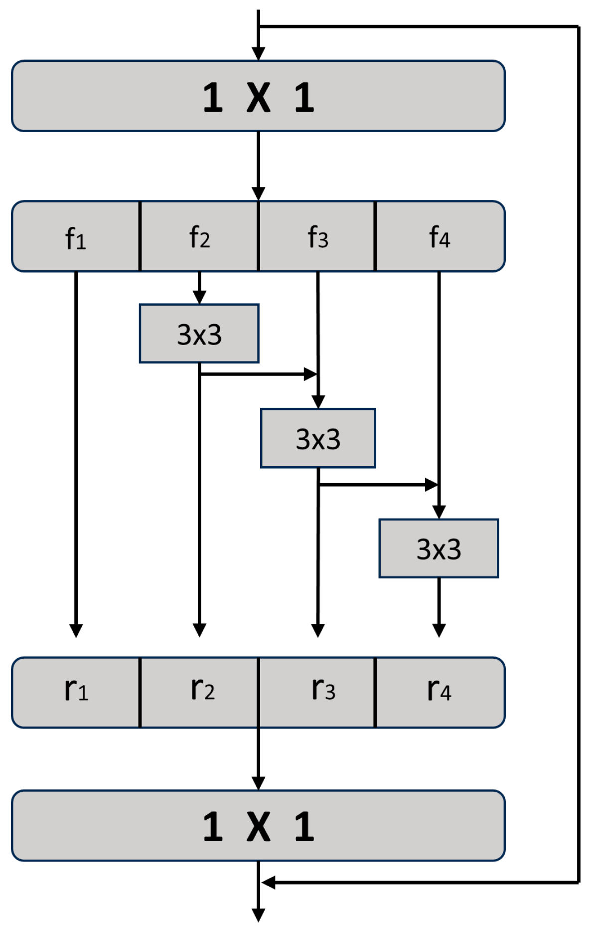
3.1. Replace Backbone Network C3 with SPDA-C3
3.2. RES-DHead Structure
3.3. Soft-NMS-CIoU Replaces NMS
4. Experiments
4.1. Dataset Description
4.2. Implementation Details
4.3. Evaluation Metrics
4.4. Comparison Experiments of Soft-NMS
4.5. Ablation Study
4.6. Comparison of Different Detectors
5. Conclusions
Author Contributions
Funding
Institutional Review Board Statement
Informed Consent Statement
Data Availability Statement
Conflicts of Interest
References
- Liu, Y.; Shi, G.; Li, Y.; Zhao, Z. M-YOLO based detection and recognition of highway surface oil filling with unmanned aerial vehicle. In Proceedings of the 2022 7th International Conference on Intelligent Computing and Signal Processing (ICSP), IEEE, Xi’an, China, 15–17 April 2022; pp. 1884–1887. [Google Scholar]
- Bhaskaranand, M.; Gibson, J.D. Low-complexity video encoding for UAV reconnaissance and surveillance. In Proceedings of the 2011-MILCOM 2011 Military Communications Conference, Baltimore, MD, USA, 7–10 November 2011; pp. 1633–1638. [Google Scholar]
- Gu, J.; Su, T.; Wang, Q.; Du, X.; Guizani, M. Multiple moving targets surveillance based on a cooperative network for multi-UAV. IEEE Commun. Mag. 2018, 56, 82–89. [Google Scholar] [CrossRef]
- Guo, J.; Xie, J.; Yuan, J.; Jiang, Y.; Lu, S. Fault Identification of Transmission Line Shockproof Hammer Based on Improved YOLO V4. In Proceedings of the 2021 International Conference on Intelligent Computing, Automation and Applications (ICAA), Nanjing, China, 25–27 June 2021; pp. 826–833. [Google Scholar]
- Liu, C.; Wu, Y.; Liu, J.; Han, J. MTI-YOLO: A light-weight and real-time deep neural network for insulator detection in complex aerial images. Energies 2021, 14, 1426. [Google Scholar] [CrossRef]
- Liang, H.; Cho, J.; Seo, S. Construction Site Multi-Category Target Detection System Based on UAV Low-Altitude Remote Sensing. Remote Sen. 2023, 15, 1560. [Google Scholar] [CrossRef]
- Yi, L.; Xin, Y.; Chen, Z.; Lin, J.; Liu, X. Research on UAV target detection and substation equipment status recognition technology based on computer vision. In Journal of Physics: Conference Series; IOP Publishing: Bristol, UK, 2022; Volume 2400, p. 012033. [Google Scholar]
- Shang, J.; Wang, J.; Liu, S.; Wang, C.; Zheng, B. Small Target Detection Algorithm for UAV Aerial Photography Based on Improved YOLOv5s. Electronics 2023, 12, 2434. [Google Scholar] [CrossRef]
- Jawaharlalnehru, A.; Sambandham, T.; Sekar, V.; Ravikumar, D.; Loganathan, V.; Kannadasan, R.; Khan, A.A.; Wechtaisong, C.; Haq, M.A.; Alhussen, A.; et al. Target object detection from Unmanned Aerial Vehicle (UAV) images based on improved YOLO algorithm. Electronics 2022, 11, 2343. [Google Scholar] [CrossRef]
- Cheng, S.; Qin, J.; Chen, Y.; Li, M. Moving Target Detection Technology Based on UAV Vision. Wirel. Commun. Mob. Comput. 2022, 2022, 5443237. [Google Scholar] [CrossRef]
- Huang, T.; Zhu, J.; Liu, Y.; Tan, Y. UAV aerial image target detection based on BLUR-YOLO. Remote Sens. Lett. 2023, 14, 186–196. [Google Scholar] [CrossRef]
- Girshick, R.; Donahue, J.; Darrell, T.; Malik, J. Rich feature hierarchies for accurate object detection and semantic segmentation. arXiv 2013, arXiv:1311.2524. [Google Scholar]
- Girshick, R. Fast R-Cnn. In Proceedings of the IEEE International Conference on Computer Vision, Santiago, Chile, 7–13 December 2015; pp. 1440–1448. [Google Scholar]
- Ren, S.; He, K.; Girshick, R.; Sun, J. Faster r-cnn: Towards real-time object detection with region proposal networks. Adv. Neural Inf. Process. Syst. 2015, 28, 1–9. [Google Scholar] [CrossRef]
- Redmon, J.; Divvala, S.; Girshick, R.; Farhadi, A. You only look once: Unified, real-time object detection. In Proceedings of the IEEE Conference on Computer Vision and Pattern Recognition, Las Vegas, NV, USA, 27–30 June 2016; pp. 779–788. [Google Scholar]
- Redmon, J.; Farhadi, A. Yolov3: An incremental improvement. arXiv 2018, arXiv:1804.02767. [Google Scholar]
- Bochkovskiy, A.; Wang, C.Y.; Liao, H.Y.M. Yolov4: Optimal speed and accuracy of object detection. arXiv 2020, arXiv:2004.10934. [Google Scholar]
- Jocher, G. Stoken Yolo v5. Available online: https://github.com/ultralytics/yolov5/releases/tag/v6.0 (accessed on 26 October 2022).
- Li, C.; Li, L.; Jiang, H.; Weng, K.; Geng, Y.; Li, L.; Wei, X. YOLOv6: A single-stage object detection framework for industrial applications. arXiv 2022, arXiv:2209.02976. [Google Scholar]
- Wang, C.Y.; Bochkovskiy, A.; Liao, H.Y.M. YOLOv7: Trainable bag-of-freebies sets new state-of-the-art for real-time object detectors. arXiv 2022, arXiv:2207.02696. [Google Scholar]
- Ultralytics, G.J. Yolo v8. Available online: https://github.com/ultralytics/ultralytics.git (accessed on 12 January 2023).
- Liu, W.; Anguelov, D.; Erhan, D.; Szegedy, C.; Reed, S.; Fu, C.Y.; Berg, A.C. Ssd: Single shot multibox detector. In Proceedings of the European Conference on Computer Vision, Amsterdam, The Netherlands, 11–14 October 2016; pp. 21–37. [Google Scholar]
- Tan, M.; Pang, R.; Le, Q.V. Efficientdet: Scalable and efficient object detection. In Proceedings of the IEEE/CVF Conference on Computer Vision and Pattern Recognition, Seattle, WA, USA, 13–19 June 2020; pp. 10781–10790. [Google Scholar]
- Zhu, P.; Wen, L.; Du, D.; Bian, X.; Fan, H.; Hu, Q.; Ling, H. Detection and tracking meet drones challenge. IEEE Trans. Pattern Anal. Mach. Intell. 2021, 44, 7380–7399. [Google Scholar] [CrossRef] [PubMed]
- Luo, X.; Wu, Y.; Wang, F. Target detection method of UAV aerial imagery based on improved YOLOv5. Remote Sens. 2022, 14, 5063. [Google Scholar] [CrossRef]
- Yao, J.; Fan, X.; Li, B.; Qin, W. Adverse Weather Target Detection Algorithm Based on Adaptive Color Levels and Improved YOLOv5. Sensors 2022, 22, 8577. [Google Scholar] [CrossRef]
- Qiu, S.; Li, Y.; Zhao, H.; Li, X.; Yuan, X. Foxtail Millet Ear Detection Method Based on Attention Mechanism and Improved YOLOv5. Sensors 2022, 22, 8206. [Google Scholar] [CrossRef] [PubMed]
- Gao, S.H.; Cheng, M.M.; Zhao, K.; Zhang, X.Y.; Yang, M.H.; Torr, P. Res2net: A new multi-scale backbone architecture. IEEE Trans. Pattern Anal. Mach. Intell. 2019, 43, 652–662. [Google Scholar] [CrossRef]
- He, G.; Zhou, J.; Yang, H.; Ning, Y.; Zou, H. Research on Surface Defect Detection of Camera Module Lens Based on YOLOv5s-Small-Target. Electronics 2022, 11, 3189. [Google Scholar] [CrossRef]
- Sunkara, R.; Luo, T. No more strided convolutions or pooling: A new CNN building block for low-resolution images and small objects. In Proceedings of the Machine Learning and Knowledge Discovery in Databases: European Conference, ECML PKDD 2022, Grenoble, France, 19–23 September 2022; Part III. Springer Nature: Cham, Switzerland, 2023; pp. 443–459. [Google Scholar]
- Ge, Z.; Liu, S.; Wang, F.; Li, Z.; Sun, J. Yolox: Exceeding yolo series in 2021. arXiv 2021, arXiv:2107.08430. [Google Scholar]
- Lu, S.; Lu, H.; Dong, J.; Wu, S. Object Detection for UAV Aerial Scenarios Based on Vectorized IOU. Sensors 2023, 23, 3061. [Google Scholar] [CrossRef]
- Baidya, R.; Jeong, H. YOLOv5 with ConvMixer Prediction Heads for Precise Object Detection in Drone Imagery. Sensors 2022, 22, 8424. [Google Scholar] [CrossRef] [PubMed]
- Zhao, Q.; Liu, B.; Lyu, S.; Wang, C.; Zhang, H. TPH-YOLOv5++: Boosting Object Detection on Drone-Captured Scenarios with Cross-Layer Asymmetric Transformer. Remote Sens. 2023, 15, 1687. [Google Scholar] [CrossRef]
- Zhou, D.; Fang, J.; Song, X.; Guan, C.; Yin, J.; Dai, Y.; Yang, R. Iou loss for 2d/3d object detection. In Proceedings of the 2019 International Conference on 3D Vision (3DV), Quebec City, QC, USA, 16–19 September 2019; pp. 85–94. [Google Scholar]
- Zhang, H.; Hao, C.; Song, W.; Jiang, B.; Li, B. Adaptive Slicing-Aided Hyper Inference for Small Object Detection in High-Resolution Remote Sensing Images. Remote Sens. 2023, 15, 1249. [Google Scholar] [CrossRef]
- Zheng, Z.; Wang, P.; Ren, D.; Liu, W.; Ye, R.; Hu, Q.; Zuo, W. Enhancing geometric factors in model learning and inference for object detection and instance segmentation. IEEE Trans. Cybern. 2021, 52, 8574–8586. [Google Scholar] [CrossRef] [PubMed]
- Bodla, N.; Singh, B.; Chellappa, R.; Davis, L.S.J. Soft-NMS—Improving Object Detection with One Line of Code. arXiv 2017, arXiv:1704.04503. [Google Scholar]
- Zheng, Z.H.; Wang, P.; Liu, W.; Li, J.Z.; Ye, R.G.; Ren, D.W. Distance-IoU Loss: Faster and Better Learning for Bounding Box Regression. In Proceedings of the 34th AAAI Conference on Artificial Intelligence, New York, NY, USA, 7–12 February 2020; pp. 12993–13000. [Google Scholar]
- Rezatofighi, H.; Tsoi, N.; Gwak, J.; Sadeghian, A.; Reid, I.; Savarese, S. Generalized intersection over union: A metric and a loss for bounding box regression. In Proceedings of the IEEE/CVF Conference on Computer Vision and Pattern Recognition, Long Beach, CA, USA, 15–20 June 2019; pp. 658–666. [Google Scholar]
- Zhang, Y.-F.; Ren, W.; Zhang, Z.; Jia, Z.; Wang, L.; Tan, T.J. Focal and Efficient IOU Loss for Accurate Bounding Box Regression. arXiv 2021, arXiv:2101.08158. [Google Scholar] [CrossRef]
- Gevorgyan, Z. SIoU loss: More powerful learning for bounding box regression. arXiv 2022, arXiv:2205.12740. [Google Scholar]
- Lin, T.Y.; Goyal, P.; Girshick, R.; He, K.M.; Dollar, P. Focal Loss for Dense Object Detection. In Proceedings of the 16th IEEE International Conference on Computer Vision (ICCV), Venice, Italy, 22–29 October 2017; pp. 2999–3007. [Google Scholar]
- Duan, K.; Bai, S.; Xie, L.; Qi, H.; Huang, Q.; Tian, Q. Centernet: Keypoint triplets for object detection. In Proceedings of the IEEE/CVF International Conference on Computer Vision, Seoul, Republic of Korea, 27 October–2 November 2019; pp. 6569–6578. [Google Scholar]
- Liu, C.; Yang, D.; Tang, L.; Zhou, X.; Deng, Y. A Lightweight Object Detector Based on Spatial-Coordinate Self-Attention for UAV Aerial Images. Remote Sens. 2022, 15, 83. [Google Scholar] [CrossRef]
- Yang, R.; Li, W.; Shang, X.; Zhu, D.; Man, X. KPE-YOLOv5: An Improved Small Target Detection Algorithm Based on YOLOv5. Electronics 2023, 12, 817. [Google Scholar] [CrossRef]











| Method | P | R | mAP@0.5 | mAP@0.5:0.95 |
|---|---|---|---|---|
| NMS | 46.3 | 33.5 | 33.5 | 18.0 |
| Soft-NMS-IoU | 52.4 | 28.2 | 40.4 | 24.4 |
| Soft-NMS-GIoU | 53.0 | 29.4 | 41.2 | 24.9 |
| Soft-NMS-DIoU | 53.6 | 29.3 | 41.6 | 25.3 |
| Soft-NMS-SIoU | 52.5 | 28.9 | 41.3 | 25.3 |
| Soft-NMS-EIoU | 58.4 | 20.3 | 39.7 | 24.6 |
| Soft-NMS-CIoU (ours) | 53.7 | 29.3 | 41.7 | 25.5 |
| Method | P | R | mAP@0.5 | mAP@0.5:0.95 |
|---|---|---|---|---|
| Baseline | 46.3 | 33.5 | 33.5 | 18.0 |
| YOLOv5s+SPDA-C3 | 44.6 | 37.0 | 35.2 | 19.1 |
| YOLOv5s+SPDA-C3+RES-DHead | 55.1 | 44.3 | 46.5 | 27.2 |
| YOLOv5s+SPDA-C3+RES-DHead+Soft-NMS-CIoU | 57.4 | 44.8 | 50.9 | 32.4 |
| Method | mAP@0.5 | mAP@0.5:0.95 |
|---|---|---|
| SSD [22] | 10.6 | 5.0 |
| EfficientDet [23] | 21.1 | 12.8 |
| RetinaNet [43] | 25.6 | 15.1 |
| CenterNet [44] | 29.1 | 14.0 |
| Faster R-CNN [14] | 35.6 | 19.6 |
| YOLOv3-SPP [16] | 18.8 | 10.6 |
| YOLOv5s [18] | 33.5 | 18.0 |
| YOLO-UAVlite [45] | 36.6 | 20.6 |
| KPE-YOLOv5s [46] | 39.2 | 22.4 |
| YOLOv7 [20] | 37.4 | 23.8 |
| YOLOv8s [21] | 41.3 | 24.9 |
| YOLOv5s-DSD (ours) | 50.9 | 32.4 |
Disclaimer/Publisher’s Note: The statements, opinions and data contained in all publications are solely those of the individual author(s) and contributor(s) and not of MDPI and/or the editor(s). MDPI and/or the editor(s) disclaim responsibility for any injury to people or property resulting from any ideas, methods, instructions or products referred to in the content. |
© 2023 by the authors. Licensee MDPI, Basel, Switzerland. This article is an open access article distributed under the terms and conditions of the Creative Commons Attribution (CC BY) license (https://creativecommons.org/licenses/by/4.0/).
Share and Cite
Sun, C.; Chen, Y.; Xiao, C.; You, L.; Li, R. YOLOv5s-DSD: An Improved Aerial Image Detection Algorithm Based on YOLOv5s. Sensors 2023, 23, 6905. https://doi.org/10.3390/s23156905
Sun C, Chen Y, Xiao C, You L, Li R. YOLOv5s-DSD: An Improved Aerial Image Detection Algorithm Based on YOLOv5s. Sensors. 2023; 23(15):6905. https://doi.org/10.3390/s23156905
Chicago/Turabian StyleSun, Chaoyue, Yajun Chen, Ci Xiao, Longxiang You, and Rongzhen Li. 2023. "YOLOv5s-DSD: An Improved Aerial Image Detection Algorithm Based on YOLOv5s" Sensors 23, no. 15: 6905. https://doi.org/10.3390/s23156905
APA StyleSun, C., Chen, Y., Xiao, C., You, L., & Li, R. (2023). YOLOv5s-DSD: An Improved Aerial Image Detection Algorithm Based on YOLOv5s. Sensors, 23(15), 6905. https://doi.org/10.3390/s23156905

