Modulation, Shaping and Replicability of UWB Chaotic Radiopulses for Wireless Sensor Applications
Abstract
1. Introduction
2. Materials and Methods
2.1. Model of Chaotic Generator
2.2. Generator Testbed
3. Results
3.1. Formation of Close-in-Shape Chaotic Radio Pulses in the Mathematical Model of the Generator
3.2. Variation of the Oscillation Shape in the Mathematical Model of the Generator
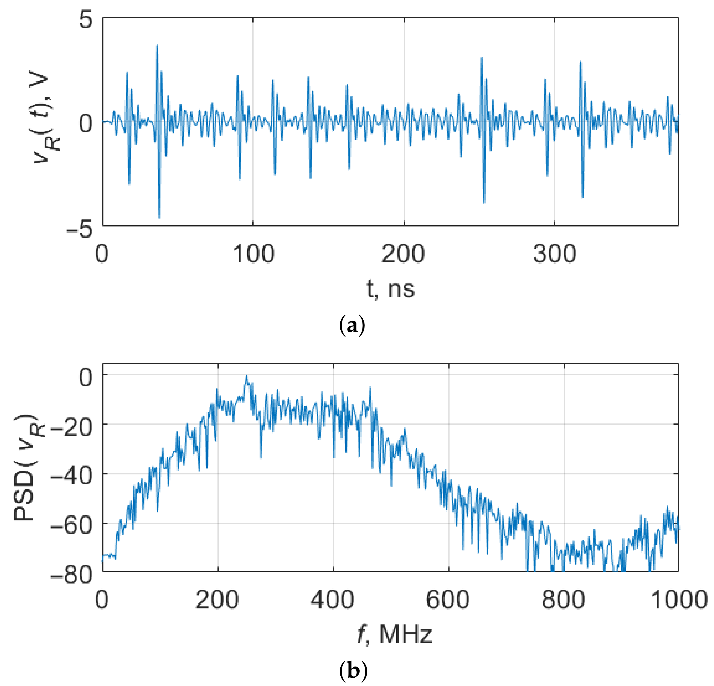
3.3. Formation of Close-in-Shape Chaotic Radio Pulses in the Experimental Testbed
3.4. Generation of Different-Shape Pulses in the Experiment
4. Discussion
5. Conclusions
- Methods for increasing the duration of the reproducible section of chaotic radio pulses in order to increase their base;
- Auto- and cross-correlation properties of such signals;
- Practical methods for coherent processing of pulses in the receiver using the proposed method;
- Methods for generating such pulses using spaced-apart devices;
- Issues related to the emission of pulses and the effect of the emitting circuits on the pulse shape;
- Questions of beam-forming in real communication channels using such pulses.
Author Contributions
Funding
Data Availability Statement
Acknowledgments
Conflicts of Interest
Abbreviations
| DCC | Direct Chaotic Communication |
| FPGA | Field-Programmable Gate Array |
| RFID | Radio-Frequency Identification |
| UWB | Ultra-Wideband |
| USP | Ultra-Short Pulses |
Appendix A. Symbol Definitions
| Symbol | Definition |
|---|---|
| Values of capacitors in Figure 1 | |
| Values of inductance in Figure 1 | |
| Values of resistors in Figure 1 | |
| Values of the resistances of inductances , respectively | |
| Dimensional voltages over capacitors , respectively | |
| Dimensional voltages in point A and over the load resistor R, respectively | |
| Dimensional currents through inductances , respectively | |
| , , , , | Voltages across the inductances , , , , , respectively |
| t | Dimensional time |
| Nondimensional time | |
| Nondimensional voltages over capacitors , respectively | |
| Nondimensional voltages in point A and over the load resistor R, respectively | |
| Nondimensional currents through inductances , respectively | |
| Dimensionless coefficient | |
| Barrier potential of the transistor | |
| Dimensional current through the collector | |
| Nondimensional current through the collector | |
| Reverse saturation current of the base–emitter junction (dimensional) | |
| Reverse saturation current of the base–emitter junction (nondimensional) | |
| Static forward current transfer ratio | |
| Thermal voltage | |
| Dimensional power supply voltage | |
| Sequence of rectangular video pulses with unit amplitude (nondimensional) | |
| M | Modulator (switch) |
| Output signal loaded on resistor R | |
| Nondimensional voltage values corresponding to the equilibrium state | |
| Nondimensional current values through inductances corresponding to the equilibrium state | |
| , , , | Output signals of the generators on the testbed |
| Chaotic oscillators of the testbed | |
| Frequency bandwidth of chaotic radio-pulses | |
| Chaotic pulse length |
Appendix B. Equations of the Dynamic System
- Equation for voltage at the point A as the derivative of the current through inductance .
- Equation for the sub-circuit : the voltage across inductance is the difference between the voltages over capacitors and .
- Equation for the currents in the sub-circuit : is the sum of the currents through and the base–emitter junction.
- Equation for the currents in the sub-circuit : is the sum of the currents through capacitor and the collector–emitter junction.
- Equation for the currents in the sub-circuit : is the sum of the currents through capacitor and .
- Equation for the currents in the sub-circuit : is the sum of the currents through and .
- Equation for the sub-circuit : the voltage across inductance is .
- Equation for the sub-circuit : voltage across inductance is .
- Equation for the sub-circuit : the voltage across inductance is .
- Equation for the currents in the sub-circuit : the current through capacitor is the sum of currents and , through resistor and capacitor .
- Equation for the currents in the sub-circuit : the current through capacitor is the sum of current and the current through capacitor .
- Equation for the currents in the sub-circuit : the current through capacitor is equal to the current through load resistor R.
References
- Tam, W.; Lau, F.; Tse, C. Digital Communications with Chaos: Multiple Access Techniques and Performance; Elsevier: Amsterdam, The Netherlands, 2007. [Google Scholar]
- Eisencraft, M.; Attux, R.; Suyama, R. Chaotic Signals in Digital Communications; CRC Press: Boca Raton, FL, USA, 2013. [Google Scholar] [CrossRef]
- Kaddoum, G. Wireless Chaos-Based Communication Systems: A Comprehensive Survey. IEEE Access 2016, 4, 2621–2648. [Google Scholar] [CrossRef]
- Yang, L.; Giannakis, G. Ultra-wideband communications: An idea whose time has come. IEEE Signal Process. Mag. 2004, 21, 26–54. [Google Scholar] [CrossRef]
- Niemelä, V.; Haapola, J.; Hämäläinen, M.; Iinatti, J. An Ultra Wideband Survey: Global Regulations and Impulse Radio Research Based on Standards. IEEE Commun. Surv. Tutor. 2017, 19, 874–890. [Google Scholar] [CrossRef]
- Breed, G. A Summary of FCC Rules for Ultra Wideband Communications. High Freq. Electron. 2005, 4, 42–44. [Google Scholar]
- Mandke, K.; Nam, H.; Zuniga, C.; Rappaport, T. The Evolution of Ultra Wide Band Radio for Wireless Personal Area Networks. High Freq. Electron. 2003, 2, 22–32. [Google Scholar]
- IEEE 802.15; WPAN High Rate Alternative PHY Task Group 3a (TG3a). IEEE Press: New York, NY, USA, 2004.
- IEEE Std 802.15.4-2015 (Revision of IEEE Std 802.15.4-2011); IEEE Standard for Low-Rate Wireless Networks. IEEE Press: New York, NY, USA, 2016; pp. 1–709. [CrossRef]
- IEEE Std 802.15.6-2012; IEEE Standard for Local and Metropolitan Area Networks—Part 15.6: Wireless Body Area Networks. IEEE Press: New York, NY, USA, 2012; pp. 1–271.
- IEEE Std 802.15.4z-2020 (Amendment to IEEE Std 802.15.4-2020); IEEE Standard for Low-Rate Wireless Networks—Amendment 1: Enhanced Ultra Wideband (UWB) Physical Layers (PHYs) and Associated Ranging Techniques. IEEE Press: New York, NY, USA, 2020; pp. 1–174.
- Stocker, M.; Brunner, H.; Schuh, M.; Boano, C.A.; Römer, K. On the Performance of IEEE 802.15.4z-Compliant Ultra-Wideband Devices. In Proceedings of the 2022 Workshop on Benchmarking Cyber-Physical Systems and Internet of Things (CPS-IoTBench), Milan, Italy, 3–6 May 2022; pp. 28–33. [Google Scholar] [CrossRef]
- Chen, H.; Chen, Z.; Ou, R.; Chen, R.; Wu, Z.; Li, B. A 4-to-9GHz IEEE 802.15.4z-Compliant UWB Digital Transmitter with Reconfigurable Pulse-Shaping in 28nm CMOS. In Proceedings of the 2022 IEEE Radio Frequency Integrated Circuits Symposium (RFIC), Denver, CO, USA, 19–21 June 2022; pp. 99–102. [Google Scholar] [CrossRef]
- TechInsights. Apple U1 TMKA75 Ultra Wideband (UWB) Chip Analysis. Available online: https://www.techinsights.com/blog/apple-u1-tmka75-ultra-wideband-uwb-chip-analysis (accessed on 1 July 2023).
- Singh, D. What Is Ultra-Wideband (UWB) Technology on Samsung Phones? How Is It Helpful? Available online: https://www.smartprix.com/bytes/phones-with-uwb-ultrawideband-connectivity (accessed on 1 July 2023).
- Zhu, Q.; Zou, C.; Jia, Z. Performance Analysis of Ultra Wideband Communication System with Time-Hopping Mary Biorthogonal Pulse Position Modulation. In Proceedings of the 2006 First International Conference on Communications and Networking in China, Beijing, China, 25–27 October 2006; pp. 1–6. [Google Scholar] [CrossRef]
- Quyen, N.X.; Van Yem, V.; Hoang, T.M. Chaotic modulation based on the combination of CPPM and CPWM. In Proceedings of the Joint INDS’11 I& ISTET’11, Klagenfurt, Austria, 25–27 July 2011; pp. 1–6. [Google Scholar] [CrossRef]
- Quyen, N.X.; Yem, V.V.; Hoang, T.M.; Kyamakya, K. Digital communication using MxN-ary chaotic pulse width-position modulation. In Proceedings of the 2012 International Conference on Advanced Technologies for Communications, Ha Noi, Vietnam, 10–12 October 2012; pp. 362–366. [Google Scholar] [CrossRef]
- Chen, Z.; Zhang, L.; Wu, Z. High Data Rate Discrete-Cosine-Spreading Aided M-Ary Differential Chaos Shift Keying Scheme With Low PAPR. IEEE Trans. Circuits Syst. II Express Briefs 2020, 67, 2492–2496. [Google Scholar] [CrossRef]
- Chien, T.I.; Wang, N.Z.; Liao, T.L.; Chang, S.B. Design of multiple-accessing chaotic digital communication system based on Interleaved Chaotic Differential Peaks Keying (I-CDPK). In Proceedings of the 2008 6th International Symposium on Communication Systems, Networks and Digital Signal Processing, Graz, Austria, 25 July 2008; pp. 638–642. [Google Scholar] [CrossRef]
- Tang, G.; Zhu, L.; Wu, Q.; He, Q.; Yu, L. A Hybrid Spread Spectrum Communication Method Based on Chaotic Sequence. In Proceedings of the 2021 International Symposium on Networks, Computers and Communications (ISNCC), Dubai, United Arab Emirates, 31 October–2 November 2021; pp. 1–5. [Google Scholar] [CrossRef]
- Rulkov, N.; Sushchik, M.; Tsimring, L.; Volkovskii, A. Digital communication using chaotic-pulse-position modulation. IEEE Trans. Circuits Syst. I Fundam. Theory Appl. 2001, 48, 1436–1444. [Google Scholar] [CrossRef]
- Onunkwo, U.; Li, Y. On the optimum pulse-position modulation index for ultra-wideband communication. In Proceedings of the IEEE 6th Circuits and Systems Symposium on Emerging Technologies: Frontiers of Mobile and Wireless Communication (IEEE Cat. No.04EX710), Shanghai, China, 31 May–2 June 2004; Volume 1, pp. 77–80. [Google Scholar] [CrossRef]
- Yang, H.; Jiang, G.P. Delay-Variable Synchronized Chaotic Pulse Position Modulation for Ultra-Wide Bandwidth Communication. In Proceedings of the 2006 International Conference on Communications, Circuits and Systems, Guilin, China, 25–28 June 2006; Volume 4, pp. 2692–2694. [Google Scholar] [CrossRef]
- Hong, Y.P.; Jin, S.Y.; Song, H.Y. Coded N-ary PPM UWB Impulse Radio with Chaotic Time Hopping and Polarity Randomization. In Proceedings of the 2007 3rd International Workshop on Signal Design and Its Applications in Communications, Chengdu, China, 23–27 September 2007; pp. 252–256. [Google Scholar] [CrossRef]
- Munirathinam, R.; Aboltins, A.; Pikulins, D.; Grizans, J. Chaotic Non-Coherent Pulse Position Modulation Based Ultra-Wideband Communication System. In Proceedings of the 2021 IEEE Microwave Theory and Techniques in Wireless Communications (MTTW), Riga, Latvia, 7–8 October 2021; pp. 1–6. [Google Scholar] [CrossRef]
- Yao, Z.J.; Meng, Q.H.; Li, G.W.; Lin, P. Non-crosstalk real-time ultrasonic range system with optimized chaotic pulse position-width modulation excitation. In Proceedings of the 2008 IEEE Ultrasonics Symposium, Beijing, China, 2–5 November 2008; pp. 729–732. [Google Scholar] [CrossRef]
- Zhang, L.; Wang, J.; Tao, J.; Liu, S. A New Pulse Modulation Method for Underwater Acoustic Communication Combined with Multiple Pulse Characteristics. In Proceedings of the 2018 IEEE International Conference on Signal Processing, Communications and Computing (ICSPCC), Qingdao, China, 14–16 September 2018; pp. 1–6. [Google Scholar] [CrossRef]
- Erkucuk, S.; Kim, D.I. Combined M-ary code shift keying/binary pulse position modulation for ultra wideband communications. In Proceedings of the 2004 IEEE Global Telecommunications Conference (GLOBECOM ’04), Dallas, TX, USA, 29 November–3 December 2004; Volume 2, pp. 804–808. [Google Scholar] [CrossRef]
- Manikandan, M.S.K.; Ravikumar, S.; Abhaikumar, V.; Thiruvengadam, S.J. A Novel Pulse Based Ultrawide Band System Using Chaotic Spreading Sequences. In Proceedings of the 2007 2nd International Conference on Communication Systems Software and Middleware, Bangalore, India, 7–12 January 2007; pp. 1–5. [Google Scholar] [CrossRef]
- Kotti, A.; Meherzi, S.; Marcos, S.; Belghith, S. Asynchronous DS-UWB communication using spatiotemporal chaotic waveforms and sequences. In Proceedings of the 2009 First International Conference on Communications and Networking, Hammamet, Tunisia, 3–6 November 2009; pp. 1–5. [Google Scholar] [CrossRef]
- Liu, C.; Cheng, J.; Zhang, R. An orthogonal mixed chaotic spread spectrum algorithm for satellite communication. In Proceedings of the 2019 12th International Symposium on Computational Intelligence and Design (ISCID), Hangzhou, China, 14–15 December 2019; Volume 2, pp. 235–240. [Google Scholar] [CrossRef]
- Yuan, G.; Chen, Z.; Gao, X.; Zhang, Y. Enhancing the Security of Chaotic Direct Sequence Spread Spectrum Communication Through WFRFT. IEEE Commun. Lett. 2021, 25, 2834–2838. [Google Scholar] [CrossRef]
- Ren, H.P.; Bai, C.; Kong, Q.; Baptista, M.; Grebogi, C. A chaotic spread spectrum system for underwater acoustic communication. Phys. A Stat. Mech. Its Appl. 2017, 478, 77–92. [Google Scholar] [CrossRef]
- Yao, J.L.; Li, C.; Ren, H.P.; Grebogi, C. Chaos-based wireless communication resisting multipath effects. Phys. Rev. E 2017, 96, 032226. [Google Scholar] [CrossRef]
- Ren, H.P.; Guo, S.L.; Bai, C.; Zhao, X.H. Cross Correction and Chaotic Shape-Forming Filter Based Quadrature Multi-Carrier Differential Chaos Shift Keying Communication. IEEE Trans. Veh. Technol. 2021, 70, 12675–12690. [Google Scholar] [CrossRef]
- An, C.Q.; Zhou, T.X. Design of chaotic spread-spectrum sequences with good correlation properties for DS/CDMA. In Proceedings of the 2003 IEEE International Symposium on Circuits and Systems (ISCAS), Bangkok, Thailand, 25–28 May 2003; Volume 3. [Google Scholar] [CrossRef]
- Zhang, J.; Cheng, J.; Li, G. Chaotic spread-spectrum sequences using chaotic quantization. In Proceedings of the 2007 International Symposium on Intelligent Signal Processing and Communication Systems, Xiamen, China, 28 November–1 December 2007; pp. 40–43. [Google Scholar] [CrossRef]
- Tutueva, A.V.; Nepomuceno, E.G.; Karimov, A.I.; Andreev, V.S.; Butusov, D.N. Adaptive chaotic maps and their application to pseudo-random numbers generation. Chaos Solitons Fractals 2020, 133, 109615. [Google Scholar] [CrossRef]
- Nardo, L.; Nepomuceno, E.; Muñoz, D.; Butusov, D.; Arias-Garcia, J. A Hardware-Efficient Perturbation Method to the Digital Tent Map. Electronics 2023, 12, 1953. [Google Scholar] [CrossRef]
- Song, D.; Liu, J.; Wang, F. Statistical analysis of chaotic stochastic properties based on the logistic map and Fibonacci sequence. In Proceedings of the 2013 2nd International Conference on Measurement, Information and Control, Harbin, China, 16–18 August 2013; Volume 1, pp. 611–614. [Google Scholar] [CrossRef]
- Velavan, P.; Santhi, M. Design and FPGA realization of MC-CDMA system using pseudo chaotic sequence generator. In Proceedings of the 2014 International Conference on Communication and Signal Processing, Chennai, India, 3–5 April 2014; pp. 498–502. [Google Scholar] [CrossRef]
- Rastogi, U.; Anuradha, S.; Shekar, R.C.; Singh, S.; Rao, P.S.H. Optimal chaotic sequences for DS-CDMA using genetic algorithm. In Proceedings of the 2017 International Conference on Wireless Communications, Signal Processing and Networking (WiSPNET), Chennai, India, 22–24 March 2017; pp. 900–904. [Google Scholar] [CrossRef]
- Xiao, L.; Xuan, G.; Wu, Y. Research on an improved chaotic spread spectrum sequence. In Proceedings of the 2018 IEEE 3rd International Conference on Cloud Computing and Big Data Analysis (ICCCBDA), Chengdu, China, 20–22 April 2018; pp. 420–423. [Google Scholar] [CrossRef]
- Xue, R.; Xiong, Y.; Cheng, Q. A Novel Ranging Code based on improved Logistic Map Chaotic Sequences. In Proceedings of the 2019 21st International Conference on Advanced Communication Technology (ICACT), PyeongChang, Republic of Korea, 17–20 February 2019; pp. 11–15. [Google Scholar] [CrossRef]
- Hounkpevi, F.O.; Yaz, E.E. Chaotic-Pulse-Position Modulation: A third party intrusion scheme using Kalman Filter. In Proceedings of the 2004 IEEE Electro/Information Technology Conference, Milwaukee, WI, USA, 26–27 August 2004; pp. 20–25. [Google Scholar] [CrossRef]
- Rao, K.D.; Raju, B. Improved Robust Multiuser Detection in Non-Gaussian Channels Using a New M-Estimator and Spatiotemporal Chaotic Spreading Sequences. In Proceedings of the APCCAS 2006—2006 IEEE Asia Pacific Conference on Circuits and Systems, Singapore, 4–7 December 2006; pp. 1729–1732. [Google Scholar] [CrossRef]
- Sedaghatnejad, S.; Farhang, M. Detectability of Chaotic Direct-Sequence Spread-Spectrum Signals. IEEE Wirel. Commun. Lett. 2015, 4, 589–592. [Google Scholar] [CrossRef]
- Xiao, L.; Xuan, G.; Wu, Y. Blind Estimation of Chaotic Spread Spectrum Sequences by Neural Network. In Proceedings of the 2018 11th International Congress on Image and Signal Processing, BioMedical Engineering and Informatics (CISP-BMEI), Beijing, China, 13–15 October 2018; pp. 1–9. [Google Scholar] [CrossRef]
- Haimovich, A.M.; Blum, R.S.; Cimini, L.J. MIMO Radar with Widely Separated Antennas. IEEE Signal Process. Mag. 2008, 25, 116–129. [Google Scholar] [CrossRef]
- Ben Jemaa, Z.; Belghith, S. Chaotic sequences with good correlation properties for MIMO radar application. In Proceedings of the 2016 24th International Conference on Software, Telecommunications and Computer Networks (SoftCOM), Split, Croatia, 22–24 September 2016; pp. 1–5. [Google Scholar] [CrossRef]
- Zeng, G.; Liao, Y.; Wang, J.; Liang, Y.C. Design of a Chaotic Index Modulation Aided Frequency Diverse Array Scheme for Directional Modulation. IEEE Trans. Veh. Technol. 2023, 1–6. [Google Scholar] [CrossRef]
- Wang, Y.; Wang, L.; Yu, S.; Zhang, L.; Yan, D.; Li, Y. Method of chaotic pulse sequence produced by continuous chaotic system. In Proceedings of the 2008 9th International Conference on Signal Processing, Beijing, China, 26–29 October 2008; pp. 1892–1895. [Google Scholar] [CrossRef]
- Fierro, G.V.; Flores-Verdad, G.E. A CMOS low complexity Gaussian pulse generator for ultra wideband communications. In Proceedings of the 2009 52nd IEEE International Midwest Symposium on Circuits and Systems, Cancun, Mexico, 2–5 August 2009; pp. 70–73. [Google Scholar] [CrossRef]
- Dmitriev, B.; Zharkov, Y.; Skorokhodov, V.; Biryukov, A. KLYSTRON—Generator of Chaotic Radioimpulses. In Proceedings of the 2006 IEEE International Vacuum Electronics Conference held Jointly with 2006 IEEE International Vacuum Electron Sources, Monterey, CA, USA, 25–27 April 2006; pp. 105–106. [Google Scholar] [CrossRef]
- Dmitriev, B.S.; Zharkov, J.D.; Skorokhodov, V.N.; Sadovnikov, S.A. Ultra wide band UHF chaotic impulse generator. In Proceedings of the IVESC 2012, Monterey, CA, USA, 24–26 April 2012; pp. 91–92. [Google Scholar] [CrossRef]
- Rahman, M.; Wu, K. A Reconfigurable Picosecond Pulse Generator in Non-linear Transmission Line for Impulse Radar Ultrawideband Applications. IEEE Microw. Wirel. Components Lett. 2022, 32, 448–451. [Google Scholar] [CrossRef]
- Devika Menon, M.K.; Rodrigues, J.; Gudino, L.J. Synthesis of UWB Pulse Shaper for Efficient Pulse Propagation in Human Tissue. In Proceedings of the 2020 12th International Symposium on Communication Systems, Networks and Digital Signal Processing (CSNDSP), Porto, Portugal, 20–22 July 2020; pp. 1–5. [Google Scholar] [CrossRef]
- Bai, C.; Zhao, X.H.; Ren, H.P.; Kolumbán, G.; Grebogi, C. Double-Stream Differential Chaos Shift Keying Communications Exploiting Chaotic Shape Forming Filter and Sequence Mapping. IEEE Trans. Wirel. Commun. 2022, 21, 4954–4972. [Google Scholar] [CrossRef]
- Ren, H.P.; Cao, Y.Y.; Bai, C. Integrated Radar-Communication Systems Based on Chaotic Shape-forming Filter. In Proceedings of the TENCON 2022—2022 IEEE Region 10 Conference (TENCON), Hong Kong, China, 1–4 November 2022; pp. 1–6. [Google Scholar] [CrossRef]
- Pappu, C.S.; Carroll, T.L.; Flores, B.C. Simultaneous Radar-Communication Systems Using Controlled Chaos-Based Frequency Modulated Waveforms. IEEE Access 2020, 8, 48361–48375. [Google Scholar] [CrossRef]
- Karimov, T.I.; Druzhina, O.; Kolev, G.Y.; Andreev, V.S.; Butusov, D.N. Multiband and Wideband Chaotic Waveforms for Hydroacoustics. In Proceedings of the 2020 IEEE Conference of Russian Young Researchers in Electrical and Electronic Engineering (EIConRus), St. Petersburg and Moscow, Russia, 27–30 January 2020; pp. 1392–1395. [Google Scholar]
- Mukherjee, P.; Psomas, C.; Krikidis, I. Multi-Dimensional Lorenz-Based Chaotic Waveforms for Wireless Power Transfer. IEEE Wirel. Commun. Lett. 2021, 10, 2800–2804. [Google Scholar] [CrossRef]
- Dmitriev, A.S.; Efremova, E.V.; Kuzmin, L.V. Chaotic pulse trains generated by a dynamical system driven by a periodic signal. Tech. Phys. Lett. 2005, 11, 961–963. [Google Scholar] [CrossRef]
- Dmitriev, A.S.; Efremova, E.V.; Kuzmin, L.V.; Atanov, N.V. A train of chaotic pulses generated by a dynamic system driven by an external (periodic) force. J. Commun. Technol. Electron. 2006, 51, 557–567. [Google Scholar] [CrossRef]
- Dmitriev, A.S.; Efremova, E.V.; Kuzmin, L.V.; Atanov, N.V. Forming pulses in nonautonomous chaotic oscillator. Int. J. Bifurc. Chaos 2007, 17, 3443–3448. [Google Scholar] [CrossRef]
- Atanov, N.V.; Dmitriev, A.S.; Efremova, E.V.; Kuz’min, L.V. A nonautonomous generator of chaotic radio pulses. J. Commun. Technol. Electron. 2006, 51, 1369–1378. [Google Scholar] [CrossRef]
- Dmitriev, A.S.; Kyarginsky, B.Y.; Panas, A.I.; Starkov, S.O. Experiments on Direct Chaotic Communications in Microwave Band. Int. J. Bifurc. Chaos 2003, 13, 1495–1507. [Google Scholar] [CrossRef]
- Dmitriev, A.; Zakharchenko, K.; Puzikov, D. Introduction to the theory of direct chaotic data transmission. J. Commun. Technol. Electron. 2003, 48, 328–338. [Google Scholar]
- Andreyev, Y.V.; Dmitriev, A.S.; Efremova, E.V.; Khilinsky, A.D.; Kuzmin, L.V. Qualitative theory of dynamical systems, chaos and contemporary wireless communications. Int. J. Bifurc. Chaos 2005, 15, 3639–3651. [Google Scholar] [CrossRef]
- Dmitriev, A.S.; Gerasimov, M.Y.; Itskov, V.V.; Lazarev, V.A.; Popov, M.G.; Ryzhov, A.I. Active wireless ultrawideband networks based on chaotic radio pulses. J. Commun. Technol. Electron. 2017, 62, 380–388. [Google Scholar] [CrossRef]
- Dmitriev, A.S.; Kuzmin, L.V.; Lazarev, V.A.; Ryshov, A.I.; Andreyev, Y.V.; Popov, M.G. Self-organizing ultrawideband wireless sensor network. In Proceedings of the 2017 Systems of Signal Synchronization, Generating and Processing in Telecommunications (SINKHROINFO), Kazan, Russia, 3–4 July 2017; pp. 1–6. [Google Scholar] [CrossRef]
- Kuzmin, L.V.; Grinevich, A.V.; Ushakov, M.D. An Experimental Investigation of the Multipath Propagation of Chaotic Radio Pulses in a Wireless Channel. Tech. Phys. Lett. 2018, 44, 726–729. [Google Scholar] [CrossRef]
- Kuz’min, L.V.; Grinevich, A.V. Method of Blind Detection of Ultrawideband Chaotic Radio Pulses on the Background of Interpulse Interference. Tech. Phys. Lett. 2019, 45, 831–834. [Google Scholar] [CrossRef]
- Messaadi, M.; Teguig, D.; Sadoudi, S.; Ouslimani, A.; Mesloub, A. GoF Based Chaotic On-Off Keying: A New Non-Coherent Modulation for Direct Chaotic Communication. J. Commun. Technol. Electron. 2021, 66, S194–S200. [Google Scholar] [CrossRef]
- Kennedy, M.P. Chaos in the Colpitts oscillator. IEEE Trans. Circuits Syst. Fundam. Theory Appl. 1994, 41, 771–774. [Google Scholar] [CrossRef]
- Peter, K. Chaos in Hartley’s oscillator. Int. J. Bifurc. Chaos 2002, 12, 2229–2232. [Google Scholar] [CrossRef]
- Lindberg, E.; Murali, K.; Tamasevicius, A. The smallest transistor-based nonautonomous chaotic circuit. IEEE Trans. Circuits Syst. II Express Briefs 2005, 52, 661–664. [Google Scholar] [CrossRef]
- Minati, L.; Innocenti, G.; Mijatovic, G.; Ito, H.; Frasca, M. Mechanisms of chaos generation in an atypical single-transistor oscillator. Chaos Solitons Fractals 2022, 157, 111878. [Google Scholar] [CrossRef]
- Dmitriev, A.S.; Efremova, E.V.; Maksimov, N.A.; Grigor’ev, E.V. Generator of microwave chaotic oscillations based on a self-oscillating system with 2.5 degrees of freedom. J. Commun. Technol. Electron. 2007, 52, 1137–1145. [Google Scholar] [CrossRef]
- Efremova, E.V.; Dmitriev, A.S. A microwave chaos generator with a flat envelope of the power spectrum in the range of 3–8 GHz. Tech. Phys. Lett. 2014, 40, 48–51. [Google Scholar] [CrossRef]
- Efremova, E.V.; Dmitriev, A.S. Ultrawideband Microwave 3–7 GHz Chaotic Oscillator Implemented as SiGe Integrated Circuit. In Proceedings of the Emergent Complexity from Nonlinearity, in Physics, Engineering and the Life Sciences; Mantica, G., Stoop, R., Stramaglia, S., Eds.; Springer: Cham, Switzerland, 2017; pp. 71–80. [Google Scholar]













Disclaimer/Publisher’s Note: The statements, opinions and data contained in all publications are solely those of the individual author(s) and contributor(s) and not of MDPI and/or the editor(s). MDPI and/or the editor(s) disclaim responsibility for any injury to people or property resulting from any ideas, methods, instructions or products referred to in the content. |
© 2023 by the authors. Licensee MDPI, Basel, Switzerland. This article is an open access article distributed under the terms and conditions of the Creative Commons Attribution (CC BY) license (https://creativecommons.org/licenses/by/4.0/).
Share and Cite
Kuzmin, L.V.; Efremova, E.V.; Itskov, V.V. Modulation, Shaping and Replicability of UWB Chaotic Radiopulses for Wireless Sensor Applications. Sensors 2023, 23, 6864. https://doi.org/10.3390/s23156864
Kuzmin LV, Efremova EV, Itskov VV. Modulation, Shaping and Replicability of UWB Chaotic Radiopulses for Wireless Sensor Applications. Sensors. 2023; 23(15):6864. https://doi.org/10.3390/s23156864
Chicago/Turabian StyleKuzmin, Lev V., Elena V. Efremova, and Vadim V. Itskov. 2023. "Modulation, Shaping and Replicability of UWB Chaotic Radiopulses for Wireless Sensor Applications" Sensors 23, no. 15: 6864. https://doi.org/10.3390/s23156864
APA StyleKuzmin, L. V., Efremova, E. V., & Itskov, V. V. (2023). Modulation, Shaping and Replicability of UWB Chaotic Radiopulses for Wireless Sensor Applications. Sensors, 23(15), 6864. https://doi.org/10.3390/s23156864

