Dataset Evaluation Method and Application for Performance Testing of SSVEP-BCI Decoding Algorithm
Abstract
:1. Introduction
2. Materials and Methods
2.1. Datasets
2.2. Decoding Algorithm
2.3. Dataset Evaluation Method
2.3.1. Evaluation Indexes
- (1)
- The narrow-band SNR
- (2)
- Wide-band SNR
- (3)
- Accuracy of recognition using standard algorithm
- (4)
- Optimal response time of standard algorithm
- (5)
- Optimal information transfer rate of standard algorithm
2.3.2. Index Scoring Method
- (1)
- Score of SNRt
- (2)
- Score of SNRw
- (3)
- Score of the ACCstand
- (4)
- Score of the Tbest
- (5)
- Score of the ITRbest
- (6)
- Total score
2.4. Algorithm Performance Evaluation Index
3. Result
3.1. The Calculation Results of Six Datasets
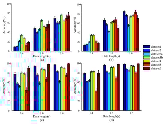
3.2. Algorithm Performance Testing
3.3. Result of Typical Subjects
4. Discussion
4.1. Advantages of the Dataset System over Individual Datasets
4.2. Value of Dataset Decoding Difficulty Assessment
4.3. Current Situation of Dataset Usage in SSVEP Decoding Algorithm Research
4.4. Subsequent Extensions of This Study
5. Conclusions
Author Contributions
Funding
Institutional Review Board Statement
Informed Consent Statement
Data Availability Statement
Acknowledgments
Conflicts of Interest
References
- Gao, X.; Wang, Y.; Chen, X.; Gao, S. Interface, interaction, and intelligence in generalized brain-computer interfaces. Trends Cogn. Sci. 2021, 25, 671–684. [Google Scholar] [CrossRef] [PubMed]
- Wolpaw, J.R.; Birbaumer, N.; Mcfarland, D.J.; Pfurtscheller, G.; Vaughan, T.M. Brain-computer interfaces for communication and control. Suppl. Clin. Neurophysiol. 2002, 113, 767–791. [Google Scholar] [CrossRef] [PubMed]
- Erp, J.V. Brain-Computer Interfaces: Beyond Medical Applications. Computer 2012, 45, 26–34. [Google Scholar] [CrossRef] [Green Version]
- Bin, G.; Gao, X.; Yan, Z.; Hong, B.; Gao, S. An online multi-channel SSVEP-based brain-computer interface using a canonical correlation analysis method. J. Neural Eng. 2009, 6, 046002. [Google Scholar] [CrossRef]
- Mueller-Putz, G.R.; Scherer, R.; Brauneis, C.; Pfurtscheller, G. Steady-state visual evoked potential (SSVEP)-based communication: Impact of harmonic frequency components. J. Neural Eng. 2005, 2, 123–130. [Google Scholar] [CrossRef]
- Xu, L.; Xu, M.; Jung, T.-P.; Ming, D. Review of brain encoding and decoding mechanisms for EEG-based brain-computer interface. Cogn. Neurodyn. 2021, 15, 569–584. [Google Scholar] [CrossRef]
- Nakanishi, M.; Wang, Y.; Chen, X.; Wang, Y.-T.; Gao, X.; Jung, T.-P. Enhancing Detection of SSVEPs for a High-Speed Brain Speller Using Task-Related Component Analysis. IEEE Trans. Biomed. Eng. 2018, 65, 104–112. [Google Scholar] [CrossRef]
- Wang, Y.; Chen, X.; Gao, X.; Gao, S. A Benchmark Dataset for SSVEP-Based Brain-Computer Interfaces. IEEE Trans. Neural Syst. Rehabil. Eng. 2017, 25, 1746–1752. [Google Scholar] [CrossRef]
- Liu, B.; Huang, X.; Wang, Y.; Chen, X.; Gao, X. BETA: A large benchmark database toward SSVEP-BCI application. Front. Neurosci. 2020, 14, 627. [Google Scholar] [CrossRef]
- Zhu, F.; Jiang, L.; Dong, G.; Gao, X.; Wang, Y. An Open Dataset for Wearable SSVEP-Based Brain-Computer Interfaces. Sensors 2021, 21, 1256. [Google Scholar] [CrossRef]
- Liu, B.; Wang, Y.; Gao, X.; Chen, X. eldBETA: A Large Eldercare-oriented Benchmark Database of SSVEP-BCI for the Aging Population. Sci. Data 2022, 9, 252. [Google Scholar] [CrossRef] [PubMed]
- Masaki, N.; Wang, Y.; Wang, Y.T.; Tzyy-Ping, J.; Yao, D. A Comparison Study of Canonical Correlation Analysis Based Methods for Detecting Steady-State Visual Evoked Potentials. PLoS ONE 2015, 10, 0140703. [Google Scholar]
- Oikonomou, V.P.; Liaros, G.; Georgiadis, K.; Chatzilari, E.; Adam, K.; Nikolopoulos, S.; Kompatsiaris, I. Comparative evaluation of state-of-the-art algorithms for SSVEP-based BCIs. arXiv 2016, arXiv:1602.00904. [Google Scholar]
- Mu, J.; Tan, Y.; Grayden, D.B.; Oetomo, D. Linear Diophantine equation (LDE) decoder: A training-free decoding algorithm for multifrequency SSVEP with reduced computation cost. Asian J. Control. 2023, 1–13. [Google Scholar] [CrossRef]
- Oikonomou, V.P.P. Human Recognition Using Deep Neural Networks and Spatial Patterns of SSVEP Signals. Sensors 2023, 23, 2425. [Google Scholar] [CrossRef]
- Wang, Z.; Wong, C.M.; Rosa, A.; Qian, T.; Jung, T.-P.; Wan, F. Stimulus-Stimulus Transfer Based on Time-Frequency-Joint Representation in SSVEP-Based BCIs. IEEE Trans. Biomed. Eng. 2023, 70, 603–615. [Google Scholar] [CrossRef] [PubMed]
- Guney, O.B.; Ozkan, H. Transfer learning of an ensemble of DNNs for SSVEP BCI spellers without user-specific training. J. Neural Eng. 2023, 20, 016013. [Google Scholar] [CrossRef]
- Zhang, R.; Cao, L.; Xu, Z.; Zhang, Y.; Zhang, L.; Hu, Y.; Chen, M.; Yao, D. Improving AR-SSVEP Recognition Accuracy Under High Ambient Brightness Through Iterative Learning. IEEE Trans. Neural Syst. Rehabil. Eng. 2023, 31, 1796–1806. [Google Scholar] [CrossRef]
- Yin, X.; Lin, M. Multi-information improves the performance of CCA-based SSVEP classification. Cogn. Neurodyn 2023. [Google Scholar] [CrossRef]
- Ke, Y.; Du, J.; Liu, S.; Ming, D. Enhancing Detection of Control State for High-Speed Asynchronous SSVEP-BCIs Using Frequency-Specific Framework. IEEE Trans. Neural Syst. Rehabil. Eng. 2023, 31, 1405–1417. [Google Scholar] [CrossRef]
- Tabanfar, Z.; Ghassemi, F.; Moradi, M.H. A subject-independent SSVEP-based BCI target detection system based on fuzzy ordering of EEG task-related components. Biomed. Signal Process. Control. 2023, 79, 104171. [Google Scholar] [CrossRef]
- Lee, T.; Nam, S.; Hyun, D.J. Adaptive Window Method Based on FBCCA for Optimal SSVEP Recognition. IEEE Trans. Neural Syst. Rehabil. Eng. 2023, 31, 78–86. [Google Scholar] [CrossRef] [PubMed]
- Ziafati, A.; Maleki, A. Genetic algorithm based ensemble system using MLR and MsetCCA methods for SSVEP frequency recognition. Med. Eng. Phys. 2023, 111, 103945. [Google Scholar] [CrossRef] [PubMed]
- Luo, R.; Xu, M.; Zhou, X.; Xiao, X.; Jung, T.-P.; Ming, D. Data augmentation of SSVEPs using source aliasing matrix estimation for brain-computer interfaces. IEEE Trans. BioMed. Eng. 2022, 70, 1775–1785. [Google Scholar] [CrossRef]
- Chuang, C.-C.; Lee, C.-C.; So, E.-C.; Yeng, C.-H.; Chen, Y.-J. Multi-Task Learning-Based Deep Neural Network for Steady-State Visual Evoked Potential-Based Brain-Computer Interfaces. Sensors 2022, 22, 8303. [Google Scholar] [CrossRef] [PubMed]
- Pan, Y.; Chen, J.; Zhang, Y.; Zhang, Y. An efficient CNN-LSTM network with spectral normalization and label smoothing technologies for SSVEP frequency recognition. J. Neural Eng. 2022, 19, 056014. [Google Scholar] [CrossRef]
- Oikonomou, V.P. An Adaptive Task-Related Component Analysis Method for SSVEP Recognition. Sensors 2022, 22, 7715. [Google Scholar] [CrossRef]
- Yan, W.; Wu, Y.; Du, C.; Xu, G. An improved cross-subject spatial filter transfer method for SSVEP-based BCI. J. Neural Eng. 2022, 19, 046028. [Google Scholar] [CrossRef]
- Zhang, X.; Qiu, S.; Zhang, Y.; Wang, K.; Wang, Y.; He, H. Bidirectional Siamese correlation analysis method for enhancing the detection of SSVEPs. J. Neural Eng. 2022, 19, 046027. [Google Scholar] [CrossRef]
- Yang, C.; Han, X.; Wang, Y.; Saab, R.; Gao, S.; Gao, X. A Dynamic Window Recognition Algorithm for SSVEP-Based Brain-Computer Interfaces Using a Spatio-Temporal Equalizer. Int. J. Neural Syst. 2018, 28, 1850028. [Google Scholar] [CrossRef]
- Chen, X.; Wang, Y.; Masaki, N.; Gao, X.; Tzyy-Ping, J.; Gao, S. High-speed spelling with a noninvasive brain-computer interface. Proc. Natl. Acad. Sci. USA 2015, 112, E6058–E6067. [Google Scholar] [CrossRef] [PubMed]
- Chen, X.; Wang, Y.; Gao, S.; Jung, T.-P.; Gao, X. Filter bank canonical correlation analysis for implementing a high-speed SSVEP-based brain–computer interface. J. Neural Eng. 2015, 12, 046008. [Google Scholar] [CrossRef]
- Liu, B.; Chen, X.; Shi, N.; Wang, Y.; Gao, S.; Gao, X. Improving the Performance of Individually Calibrated SSVEP-BCI by Task- Discriminant Component Analysis. IEEE Trans. Neural Syst. Rehabil. Eng. 2021, 29, 1998–2007. [Google Scholar] [CrossRef]
- Regan, D. Human Brain Electrophysiology: Evoked Potentials and Evoked Magnetic Fields in Science and Medicine; Elsevier Science Publishing: New York, NY, USA, 1989. [Google Scholar]
- Wong, C.M.; Wang, Z.; Wang, B.; Rosa, A.; Jung, T.-P.; Wan, F. Enhancing Detection of Multi-Frequency-Modulated SSVEP Using Phase Difference Constrained Canonical Correlation Analysis. IEEE Trans. Neural Syst. Rehabil. Eng. 2023, 31, 1343–1352. [Google Scholar] [CrossRef]
- Oh, J.; Jongheon, K. Military application study of BCI technology using brain waves in Republic of Korea Army: Focusing on personal firearms. J. Adv. Mil. Stud. 2022, 5, 35–48. [Google Scholar] [CrossRef]
- Czech, A. Brain-Computer Interface Use to Control Military Weapons and Tools. In Proceedings of the 4th International Scientific Conference on Brain-Computer Interfaces (IC BCI), Opole, Poland, 21 September 2021; pp. 196–204. [Google Scholar]
- Tan, D.S.; Nijholt, A. Brain-Computer Interfacing and Games; Springer: London, UK, 2010; pp. 149–178. [Google Scholar]
- Sun, S.; Thomas, K.P.; Smitha, K.G.; Vinod, A.P. Two player EEG-based neurofeedback ball game for attention enhancement. In Proceedings of the 2014 IEEE International Conference on Systems, Man and Cybernetics—SMC, San Diego, CA, USA, 5–8 October 2014; pp. 3150–3155. [Google Scholar]
- Mu, J.; Grayden, D.B.; Tan, Y.; Oetomo, D. Frequency Superposition—A Multi-Frequency Stimulation Method in SSVEP-based BCIs. In Proceedings of the 43rd Annual International Conference of the IEEE Engineering in Medicine & Biology Society (EMBC), Virtual, 1–5 November 2021; pp. 5924–5927. [Google Scholar]
- Chen, Y.; Yang, C.; Ye, X.; Chen, X.; Wang, Y.; Gao, X. Implementing a calibration-free SSVEP-based BCI system with 160 targets. J. Neural Eng. 2021, 18, 046094. [Google Scholar] [CrossRef] [PubMed]
- Liang, L.; Lin, J.; Yang, C.; Wang, Y.; Gao, X. Optimizing a dual-frequency and phase modulation method for SSVEP-based BCIs. J. Neural Eng. 2020, 17, 046026. [Google Scholar] [CrossRef]
- Chang, M.H.; Baek, H.J.; Lee, S.M.; Park, K.S. An amplitude-modulated visual stimulation for reducing eye fatigue in SSVEP-based brain-computer interfaces. Clin. Neurophysiol. 2014, 125, 1380–1391. [Google Scholar] [CrossRef]
- Kołodziej, M.; Majkowski, A.; Rak, R.J. A new method of spatial filters design for brain-computer interface based on steady state visually evoked potentials. In Proceedings of the 2015 IEEE 8th International Conference on Intelligent Data Acquisition and Advanced Computing Systems: Technology and Applications (IDAACS), Warsaw, Poland, 24–26 September 2015; pp. 697–700. [Google Scholar]
- Lee, M.-H.; Kwon, O.-Y.; Kim, Y.-J.; Kim, H.-K.; Lee, Y.-E.; Williamson, J.; Fazli, S.; Lee, S.-W. EEG dataset and OpenBMI toolbox for three BCI paradigms: An investigation into BCI illiteracy. GigaScience 2019, 8, giz002. [Google Scholar] [CrossRef] [PubMed] [Green Version]
- Bian, R.; Wu, H.; Liu, B.; Wu, D. Small Data Least-Squares Transformation (sd-LST) for Fast Calibration of SSVEP-Based BCIs. IEEE Trans. Neural Syst. Rehabil. Eng. 2023, 31, 446–455. [Google Scholar] [CrossRef]
- Yu, Z.; Guoxu, Z.; Jing, J.; Xingyu, W.; Andrzej, C. Frequency Recognition in Ssvep-Based Bci Using Multiset Canonical Correlation Analysis. Int. J. Neural Syst. 2014, 24, 1450013. [Google Scholar] [CrossRef] [Green Version]
- Wang, H.; Zhang, Y.; Waytowich, N.R.; Krusienski, D.J.; Zhou, G.; Jin, J.; Wang, X.; Cichocki, A. Discriminative Feature Extraction via Multivariate Linear Regression for SSVEP-Based BCI. IEEE Trans. Neural Syst. Rehabil. Eng. 2016, 24, 532–541. [Google Scholar] [CrossRef] [PubMed]
- Zhou, W.; Liu, A.; Wu, L.; Chen, X. A L1 normalization enhanced dynamic window method for SSVEP-based BCIs. J. Neurosci. Methods 2022, 380, 109688. [Google Scholar] [CrossRef]
- Bassi, P.R.A.S.; Attux, R. FBDNN: Filter banks and deep neural networks for portable and fast brain-computer interfaces. Biomed. Phys. Eng. Express 2022, 8, 035018. [Google Scholar] [CrossRef] [PubMed]
- Sun, Q.; Zheng, L.; Pei, W.; Gao, X.; Wang, Y. A 120-target brain-computer interface based on code-modulated visual evoked potentials. J. Neurosci. Methods 2022, 375, 109597. [Google Scholar] [CrossRef]
- Pfurtscheller, G.; Neuper, C. Motor imagery and direct brain-computer communication. Proc. IEEE 2001, 89, 1123–1134. [Google Scholar] [CrossRef]



| Dataset | Citation | Subjects | Target | Channels |
|---|---|---|---|---|
| Benchmark dataset (dataset1) | Wang et al. [8] | 35 | 40 | 64 |
| SSVEP BETA dataset (dataset2) | Liu et al. [9] | 70 | 40 | 64 |
| SSVEP Wearable dataset (dataset3) | Zhu et al. [10] | 102 | 12 | 8 |
| SSVEP elder dataset (dataset4) | Liu et al. [11] | 100 | 9 | 64 |
| SSVEP FBCCA-DW dataset (dataset5) | Yang et al. [30] | 14 | 40 | 64 |
| SSVEP UCSD dataset (dataset6) | Nakanishi et al. [12] | 10 | 12 | 8 |
| Total Score | Decoding Difficulty Level |
|---|---|
| [85, 100] | A |
| [70, 85) | B |
| [55, 70) | C |
| [40, 55) | D |
| [0, 40) | E |
| Dataset | Dataset1 | Dataset2 | Dataset3a | Dataset3b | Dataset4 | Dataset5 | Dataset6 |
|---|---|---|---|---|---|---|---|
| SNRt (dB) | 5.1 ± 8.1 | −3.1 ± 6.5 | −9.6 ± 4.2 | −9.9 ± 4.6 | 2.0 ± 8.7 | −2.9 ± 6.6 | 4.0 ± 7.7 |
| Score1 | 16.5 | 11.2 | 4.9 | 4.8 | 14.5 | 11.6 | 16.1 |
| SNRw (dB) | −11.5 ± 6.1 | −10.5 ± 5.1 | −54.4 ± 7.9 | −36.0 ± 8.4 | −10.6 ± 5.1 | −36.9 ± 9.7 | −33.8 ± 14.3 |
| Score2 | 14.4 | 14.6 | 0.4 | 5.2 | 14.6 | 5.6 | 6.8 |
| ACCstand (%) | 90.2 ± 13.5 | 81.8 ± 15.8 | 59.3 ± 27.4 | 77.9 ± 21.6 | 80.3 ± 19.7 | 89.4 ± 10.8 | 75.8 ± 23.0 |
| Score3 | 23.4 | 21.6 | 12.4 | 19.0 | 20.5 | 24.0 | 18.6 |
| Tbest (s) | 1.9 ± 0.8 | 2.2 ± 0.8 | 4.1 ± 3.4 | 2.3 ± 1.5 | 3.2 ± 2.6 | 1.8 ± 0.7 | 3.0 ± 1.6 |
| Score4 | 13.6 | 13.1 | 8.9 | 12.1 | 10.2 | 13.8 | 10.5 |
| ITRbest (bits/min) | 126.6 ± 41.1 | 101.2 ± 40.5 | 40.1 ±37.3 | 65.8 ±41.3 | 60.4 ±40.4 | 124.7 ±44.4 | 54.3 ±28.4 |
| Score5 | 24.4 | 22.6 | 9.7 | 16.1 | 14.6 | 24.5 | 16.5 |
| Total score | 92.4 | 83.2 | 36.3 | 57.1 | 74.4 | 79.5 | 68.5 |
| Level | A | B | E | C | B | B | C |
| Accuracy (%) | |||||
|---|---|---|---|---|---|
| Data length | Dataset\Algorithm | CCA | FBCCA | eTRCA | TDCA |
| 0.5 s | Dataset1 | 14.2 ± 8.0 | 21.4 ± 12.0 | 81.9 ± 19.1 | 84.6 ± 15.9 |
| Dataset2 | 15.3 ± 10.1 | 21.9 ± 12.5 | 60.8 ± 23.5 | 66.4 ± 21.9 | |
| Dataset3a | 27.3 ± 17.0 | 25.7 ± 17.1 | 52.6 ± 29.1 | 68.4 ± 23.4 | |
| Dataset3b | 40.9 ± 19.1 | 43.0 ± 20.6 | 81.5 ± 20.2 | 85.6 ± 14.4 | |
| Dataset4 | 34.1 ± 16.2 | 43.0 ± 19.6 | 81.3 ± 20.2 | 86.9 ± 15.2 | |
| Dataset5 | 21.1 ± 13.6 | 31.1 ± 16.6 | 48.0 ± 19.1 | 47.8 ± 15.7 | |
| Dataset6 | 24.4 ± 9.8 | 23.8 ± 8.7 | 92.5 ± 8.7 | 86.6 ± 14.2 | |
| 1 s | Dataset\Algorithm | CCA | FBCCA | eTRCA | TDCA |
| Dataset1 | 47.8 ± 20.5 | 66.0 ± 21.7 | 94.3 ± 10.9 | 96.5 ± 6.1 | |
| Dataset2 | 39.4 ± 22.4 | 56.9 ± 22.0 | 75.5 ± 22.0 | 82.5 ± 16.6 | |
| Dataset3a | 46.0 ± 25.7 | 42.1 ± 25.2 | 58.1 ± 31.0 | 79.4 ± 21.7 | |
| Dataset3b | 64.6 ± 23.0 | 61.9 ± 24.2 | 88.4 ± 15.8 | 92.0 ± 15.8 | |
| Dataset4 | 51.5 ± 22.2 | 63.7 ± 23.7 | 86.7 ± 18.0 | 92.4 ± 11.8 | |
| Dataset5 | 50.3 ± 25.3 | 67.4 ± 20.8 | 66.3 ± 16.6 | 69.4 ± 11.4 | |
| Dataset6 | 56.9 ± 22.2 | 48.8 ± 21.5 | 98.1 ± 2.8 | 97.8 ± 3.4 | |
| 2 s | Dataset\Algorithm | CCA | FBCCA | eTRCA | TDCA |
| Dataset1 | 77.6 ± 21.3 | 90.2 ± 13.3 | 98.3 ± 3.0 | 99.0 ± 1.3 | |
| Dataset2 | 67.4 ± 24.2 | 81.8 ± 15.7 | 85.8 ± 15.3 | 90.5 ± 9.5 | |
| Dataset3a | 63.2 ± 26.3 | 59.3 ± 27.3 | 61.2 ± 32.1 | 81.2 ± 22.6 | |
| Dataset3b | 80.3 ± 19.8 | 77.9 ± 21.5 | 88.1 ± 19.3 | 95.8 ± 6.7 | |
| Dataset4 | 67.7 ± 23.0 | 80.3 ± 19.6 | 91.2 ± 15.2 | 95.2 ± 10.0 | |
| Dataset5 | 78.8 ± 20.6 | 89.4 ± 10.4 | 79.5 ± 13.1 | 84.1 ± 7.1 | |
| Dataset6 | 80.4 ± 20.4 | 75.8 ± 21.9 | 99.4 ± 1.7 | 99.4 ± 1.3 | |
| Method Comparison (M1 vs. M2) | Dataset1 | Dataset2 | Dataset3a | Dataset3b | Dataset4 | Dataset5 | Dataset6 |
|---|---|---|---|---|---|---|---|
| CCA vs. FBCCA | < *** | < *** | N.S. | N.S. | < *** | N.S. | N.S. |
| CCA vs. eTRCA | < *** | < *** | < ** | < *** | < *** | N.S. | < *** |
| CCA vs. TDCA | < *** | < *** | < *** | < *** | < *** | N.S. | < *** |
| FBCCA vs. eTRCA | < *** | < *** | < *** | < *** | < *** | N.S. | < *** |
| FBCCA vs. TDCA | < *** | < *** | < *** | < *** | < *** | N.S. | < *** |
| eTRCA vs. TDCA | N.S. | N.S. | N.S. | N.S. | N.S. | N.S. | N.S. |
| Dataset | Algorithm | Worst Sub | Best Sub | ||||
|---|---|---|---|---|---|---|---|
| Sub | 2 s ACC (%) | 2 s ITR (bits/min) | Sub | 2 s ACC (%) | 2 s ITR (bits/min) | ||
| Dataset1 | CCA | s16 | 27.9 | 15.8 | s5 | 98.3 | 122.7 |
| FBCCA | s11 | 52.5 | 43.5 | s25 | 100.0 | 127.7 | |
| eTRCA | s19 | 87.5 | 98.8 | s14 | 100.0 | 127.7 | |
| TDCA | s33 | 93.3 | 110.8 | s13 | 100.0 | 127.7 | |
| Dataset2 | CCA | s17 | 16.3 | 6.1 | s23 | 100.0 | 127.7 |
| FBCCA | s41 | 37.5 | 25.5 | s23 | 100.0 | 127.7 | |
| eTRCA | s61 | 38.8 | 26.9 | s23 | 99.4 | 125.6 | |
| TDCA | s44 | 65.0 | 60.9 | s30 | 100.0 | 127.7 | |
| Dataset3a | CCA | s74 | 10.0 | 0.1 | s87 | 100.0 | 86.0 |
| FBCCA | s22 | 9.2 | 0.0 | s52 | 100.0 | 86.0 | |
| eTRCA | s96 | 4.2 | 0.5 | s7 | 100.0 | 86.0 | |
| TDCA | s74 | 5.8 | 0.2 | s7 | 100.0 | 86.0 | |
| Dataset3b | CCA | s46 | 20.8 | 2.6 | s7 | 100.0 | 86.0 |
| FBCCA | s42 | 20.8 | 2.6 | s7 | 100.0 | 86.0 | |
| eTRCA | s1 | 15.0 | 0.8 | s3 | 100.0 | 86.0 | |
| TDCA | s61 | 70.0 | 40.0 | s3 | 100.0 | 86.0 | |
| Dataset4 | CCA | s21 | 11.1 | 0.0 | s31 | 100.0 | 76.1 |
| FBCCA | s34 | 15.9 | 0.4 | s27 | 100.0 | 76.1 | |
| eTRCA | s34 | 14.3 | 0.2 | s3 | 100.0 | 76.1 | |
| TDCA | s24 | 42.9 | 11.3 | s3 | 100.0 | 76.1 | |
| Dataset5 | CCA | s8 | 33.1 | 20.9 | s1 | 99.4 | 125.6 |
| FBCCA | s8 | 63.8 | 59.1 | s1 | 100.0 | 127.7 | |
| eTRCA | s6 | 44.4 | 33.4 | s1 | 93.1 | 110.3 | |
| TDCA | s4 | 70.0 | 68.5 | s1 | 93.8 | 111.7 | |
| Dataset6 | CCA | s2 | 37.8 | 11.4 | s8 | 100.0 | 86.0 |
| FBCCA | s2 | 35.6 | 10.0 | s8 | 99.4 | 84.4 | |
| eTRCA | s2 | 94.4 | 74.0 | s1 | 100.0 | 86.0 | |
| TDCA | s2 | 95.6 | 76.1 | s1 | 100.0 | 86.0 | |
| Citation | Data Sources | Data Publicly Available | Experiment | Subjects | Year |
|---|---|---|---|---|---|
| Mu et al. [14] | Mu et al. [40] | -- | offline | 9 | 2022 |
| Oikonomou et al. [15] | EPOC dataset [13] | Yes | offline | 11 | 2023 |
| Wang et al. [16] | SSVEP Benchmark [8] | Yes | offline | 35 | 2023 |
| Guney et al. [17] | SSVEP Benchmark [8] | Yes | offline | 35 | 2023 |
| SSVEP BETA [9] | Yes | 70 | |||
| Zhang et al. [18] | Self-collected | -- | offline | 20 | 2023 |
| Yin et al. [19] | SSVEP Benchmark [8] | Yes | offline | 35 | 2023 |
| Ke et al. [20] | Self-collected | -- | offline online | 15 14 | 2023 |
| Wong et al. [35] | Chen et al. [41] | Yes | offline | 8 and 12 | 2023 |
| Liang et al. [42] | Yes | 12 | |||
| Chang et al. [43] | -- | 12 | |||
| Tabanfar et al. [21] | Kołodziej et al. [44] | -- | offline | 5 | 2023 |
| Lee et al. [22] | SSVEP Benchmark [8] | Yes | offline | 35 | 2023 |
| OpenBMI dataset [45] | Yes | 54 | |||
| Bian et al. [46] | SSVEP Benchmark [8] | Yes | offline | 35 | 2023 |
| SSVEP BETA [9] | Yes | 70 | |||
| SSVEP UCSD [12] | Yes | 10 | |||
| Ziafati et al. [23] | Zhang et al. [47] | Yes | offline | 10 | 2023 |
| Luo et al. [24] | SSVEP Benchmark [8] | Yes | offline | 35 | 2022 |
| SSVEP BETA [9] | Yes | 70 | |||
| Chuang et al. [25] | Self-collected | -- | offline | 24 | 2022 |
| Pan et al. [26] | SSVEP UCSD [12] | Yes | offline | 10 | 2022 |
| Wang et al. [48] | -- | 10 | |||
| Oikonomou et al. [27] | SSVEP Benchmark [8] | Yes | offline | 35 | 2022 |
| EPOC dataset [13] | Yes | 11 | |||
| Zhou et al. [49] | SSVEP UCSD [12] | Yes | offline | 10 | 2022 |
| SSVEP Benchmark [8] | Yes | 35 | |||
| SSVEP BETA [9] | Yes | 70 | |||
| Yan et al. [28] | SSVEP Benchmark [8] | Yes | offline | 35 | 2022 |
| SSVEP UCSD [12] | Yes | 10 | |||
| Zhang et al. [29] | SSVEP Benchmark [8] | Yes | offline | 35 | 2022 |
| SSVEP Wearable [10] | Yes | 102 | |||
| Bassi et al. [50] | SSVEP Benchmark [8] | Yes | offline | 35 | 2022 |
| SSVEP BETA [9] | Yes | 70 | |||
| SSVEP Wearable [10] | Yes | 102 |
Disclaimer/Publisher’s Note: The statements, opinions and data contained in all publications are solely those of the individual author(s) and contributor(s) and not of MDPI and/or the editor(s). MDPI and/or the editor(s) disclaim responsibility for any injury to people or property resulting from any ideas, methods, instructions or products referred to in the content. |
© 2023 by the authors. Licensee MDPI, Basel, Switzerland. This article is an open access article distributed under the terms and conditions of the Creative Commons Attribution (CC BY) license (https://creativecommons.org/licenses/by/4.0/).
Share and Cite
Liang, L.; Zhang, Q.; Zhou, J.; Li, W.; Gao, X. Dataset Evaluation Method and Application for Performance Testing of SSVEP-BCI Decoding Algorithm. Sensors 2023, 23, 6310. https://doi.org/10.3390/s23146310
Liang L, Zhang Q, Zhou J, Li W, Gao X. Dataset Evaluation Method and Application for Performance Testing of SSVEP-BCI Decoding Algorithm. Sensors. 2023; 23(14):6310. https://doi.org/10.3390/s23146310
Chicago/Turabian StyleLiang, Liyan, Qian Zhang, Jie Zhou, Wenyu Li, and Xiaorong Gao. 2023. "Dataset Evaluation Method and Application for Performance Testing of SSVEP-BCI Decoding Algorithm" Sensors 23, no. 14: 6310. https://doi.org/10.3390/s23146310
APA StyleLiang, L., Zhang, Q., Zhou, J., Li, W., & Gao, X. (2023). Dataset Evaluation Method and Application for Performance Testing of SSVEP-BCI Decoding Algorithm. Sensors, 23(14), 6310. https://doi.org/10.3390/s23146310

