A Self-Attention Integrated Learning Model for Landing Gear Performance Prediction
Abstract
1. Introduction
- Aiming at the problems of high complexity, low calculation efficiency, and limited accuracy of the prediction model caused by the high-dimension parameters of landing gear, a multiple correlation analysis method is proposed for key features selection, which can effectively remove the invalid features and redundant features from the original high-dimension parameters by sensitivity analysis and redundancy analysis.
- An integrated learning framework composed of heterogeneous base learners is proposed to solve the problem that the single model has a limited learning ability and difficulty applying to the complex data distribution.
- Aiming at the problem of weight adaptively learning of integrated learning, a novel MLPSA (self-attention and MLP) is proposed, which introduces the self-attention mechanism into the MLP neural network to adaptively learn the correlation of multiple base learners’ predicted values, to strengthen the sensing ability of integrated learning for the data distribution state and realize adaptive weight adjustment.
- Experiments show that the developed MCA-MLPSA can accurately predict landing gear performance in the case of different data distributions, and is superior to other integrated learning methods.
2. Methodology
2.1. Feature Selection for Landing Gear Parameters via MCA
2.2. Weighted Adaptive Integrated Learning via Proposed MLPSA
2.3. Flowchart of MCA-MLPSA Landing Gear Performance Prediction
3. Experiment
3.1. Description of Experiment Data
3.2. Analysis of Feature Selection
3.2.1. Sensitivity Analysis
3.2.2. Redundancy Analysis
3.3. Analysis of Landing Gear Performance Prediction
3.3.1. Base Learner Selection
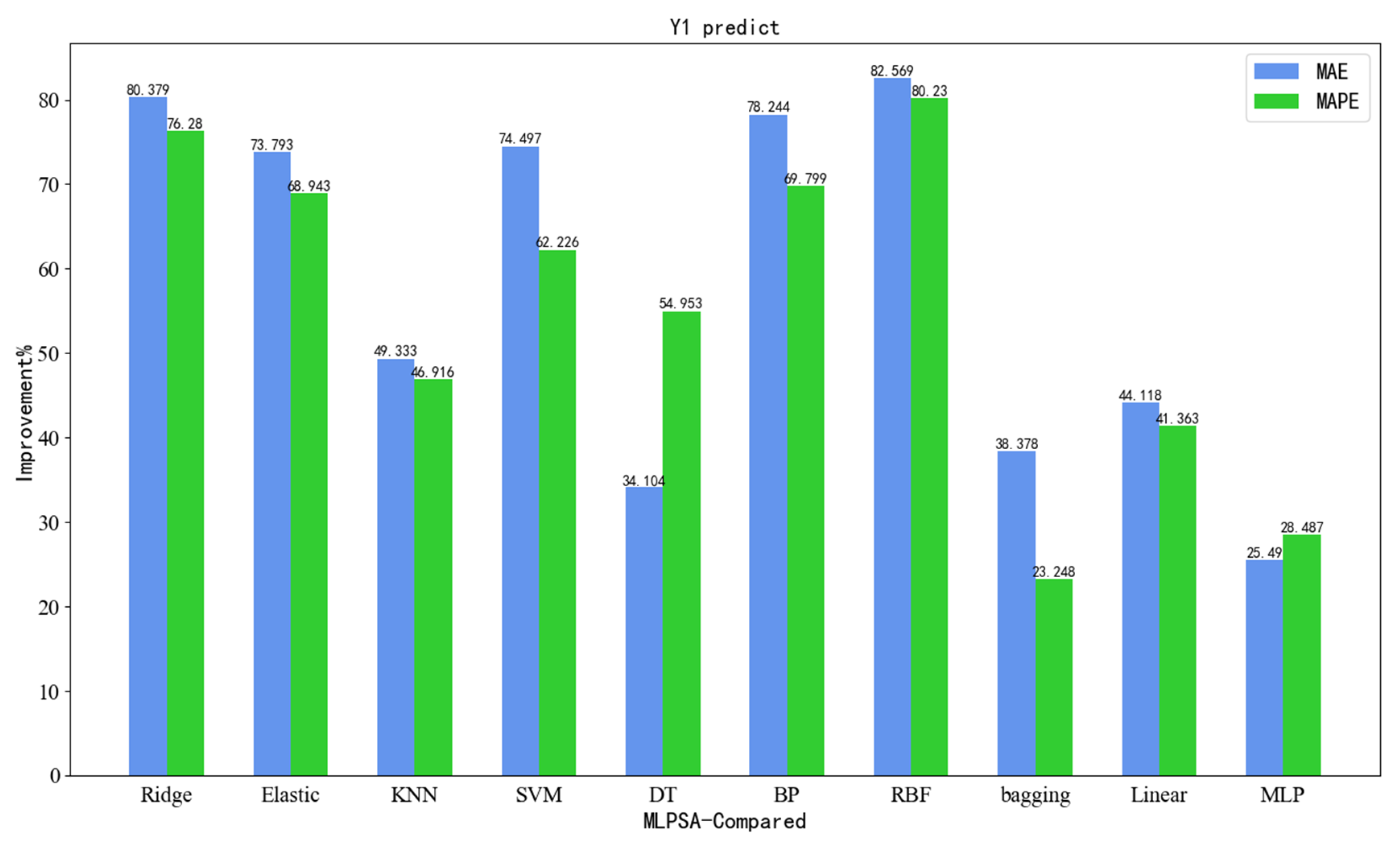
3.3.2. The Prognostic Results of Weighted Adaptive Integrated Learning
4. Conclusions
Author Contributions
Funding
Institutional Review Board Statement
Informed Consent Statement
Data Availability Statement
Conflicts of Interest
References
- Chen, J.; Xu, Q.; Guo, Y.; Chen, R. Aircraft Landing Gear Retraction/Extension System Fault Diagnosis with 1-D Dilated Convolutional Neural Network. Sensors 2022, 22, 1367. [Google Scholar] [CrossRef] [PubMed]
- Cutolo, A.; Bernini, R.; Berruti, G.M.; Breglio, G.; Bruno, F.A.; Buontempo, S.; Catalano, E.; Consales, M.; Coscetta, A.; Cusano, A.; et al. Innovative Photonic Sensors for Safety and Security, Part II: Aerospace and Submarine Applications. Sensors 2023, 23, 2417. [Google Scholar] [CrossRef] [PubMed]
- Freitas, M.; Infante, V.; Baptista, R. Failure analysis of the nose landing gear axle of an aircraft. Eng. Fail. Anal. 2019, 101, 113–120. [Google Scholar] [CrossRef]
- Kadarno, P.; Barrinaya, M.A.; Purbolaksono, J. Mechanism analysis of a main landing gear of transporting aircraft: A design learning perspective. Eng. Fail. Anal. 2021, 119, 105015. [Google Scholar] [CrossRef]
- Xu, K.; Yin, Y.; Wei, X.H. Bifurcation analysis of dual-sidestay landing gear locking performance considering joint clearance. Chin. J. Aeronaut. 2022, 35, 209–226. [Google Scholar] [CrossRef]
- Yin, Q.Z.; Jiang, J.Z.; Nie, H. Investigation of gear walk suppression while maintaining braking performance in a main landing gear. Aerosp. Sci. Technol. 2019, 91, 122–135. [Google Scholar] [CrossRef]
- Son, L.; Adipta, K.E.; Bur, M. Analysis of the static behavior of a new landing gear model based on a four-bar linkage mechanism. Int. J. Technol. 2019, 10, 1609–1617. [Google Scholar] [CrossRef]
- Sivakumar, S.; Selvakumaran, T.; Sanjay, B. Investigation of random runway effect on landing of an aircraft with active landing gears using nonlinear mathematical model. J. Vibroeng. 2021, 23, 1785–1799. [Google Scholar] [CrossRef]
- Zhang, M.; Xu, D.F.; Tao, H.F. Design and dynamic analysis of landing gear system in vertical takeoff and vertical landing reusable launch vehicle. Proc. Inst. Mech. Eng. Part G J. Aerosp. Eng. 2019, 233, 3700–3713. [Google Scholar] [CrossRef]
- Qi, C.; Li, D.; Hu, Y.; Zheng, Y.; Wang, W.; Shou, X.; Gao, F. Learning-based Distortion Compensation for a Hybrid Simulator of Space Docking. IEEE Robot. Autom. Lett. 2023, 8, 3446–3453. [Google Scholar] [CrossRef]
- Li, X.; Zhang, W. Deep learning-based partial domain adaptation method on intelligent machinery fault diagnostics. IEEE Trans. Ind. Electron. 2020, 68, 4351–4361. [Google Scholar] [CrossRef]
- Afshari, S.S.; Enayatollahi, F.; Xu, X.; Liang, X. Machine learning-based methods in structural reliability analysis: A review. Reliab. Eng. Syst. Saf. 2022, 219, 108223. [Google Scholar] [CrossRef]
- Zhang, Y.; He, L.; Cheng, G. MLPC-CNN: A multi-sensor vibration signal fault diagnosis method under less computing resources. Measurement 2022, 188, 110407. [Google Scholar] [CrossRef]
- Yan, H.R.; Qin, Y.; Xiang, S.; Wang, Y.; Chen, H.Z. Long-term gear life prediction based on ordered neurons LSTM neural networks. Measurement 2020, 165, 108205. [Google Scholar] [CrossRef]
- Lan, Y.; Li, Z.; Liu, S.; Huang, J.; Niu, L.; Xiong, X.; Niu, C.; Wu, B.; Zhou, X.; Yan, J.; et al. Experimental investigation on cavitation and cavitation detection of axial piston pump based on MLP-Mixer. Measurement 2022, 200, 111582. [Google Scholar] [CrossRef]
- Zhou, Y.; Liu, Y.; Wang, N.; Huang, J.; Niu, L.; Xiong, X.; Niu, C.; Wu, B.; Zhou, X.; Yan, J.; et al. Partial discharge ultrasonic signals pattern recognition in transformer using BSO-SVM based on microfiber coupler sensor. Measurement 2022, 201, 111737. [Google Scholar] [CrossRef]
- Dhiman, H.S.; Deb, D.; Muyeen, S.M.; Kamwa, I. Wind turbine gearbox anomaly detection based on adaptive threshold and twin support vector machines. IEEE Trans. Energy Convers. 2021, 36, 3462–3469. [Google Scholar] [CrossRef]
- Qiang, S.; Lin, H.; Yu, Z. Online faults diagnosis of wind turbine blades based on support vector machines. In Proceedings of the 2016 3rd International Conference on Systems and Informatics (ICSAI), Shanghai, China, 19–21 November 2016; IEEE: Piscataway, NJ, USA, 2016; pp. 247–250. [Google Scholar]
- Fu, S.; Zhang, Y.; Lin, L.; Zhao, M.; Zhong, S.-S. Deep residual LSTM with domain-invariance for remaining useful life prediction across domains. Reliab. Eng. Syst. Saf. 2021, 216, 108012. [Google Scholar] [CrossRef]
- Xiang, S.; Qin, Y.; Luo, J.; Pu, H. Spatiotemporally multidifferential processing deep neural network and its application to equipment remaining useful life prediction. IEEE Trans. Ind. Inform. 2021, 18, 7230–7239. [Google Scholar] [CrossRef]
- Zhao, M.; Fu, X.; Zhang, Y.; Meng, L.; Tang, B. Highly imbalanced fault diagnosis of mechanical systems based on wavelet packet distortion and convolutional neural networks. Adv. Eng. Inform. 2022, 51, 101535. [Google Scholar] [CrossRef]
- Chandrahas, N.S.; Choudhary, B.S.; Teja, M.V.; Venkataramayya, M.S.; Prasad, N.S.R.K. XG Boost Algorithm to Simultaneous Prediction of Rock Fragmentation and Induced Ground Vibration Using Unique Blast Data. Appl. Sci. 2022, 12, 5269. [Google Scholar] [CrossRef]
- Li, R.; Li, W.; Zhang, H. State of health and charge estimation based on adaptive boosting integrated with particle swarm optimization/support vector machine (AdaBoost-PSO-SVM) Model for Lithium-ion Batteries. Int. J. Electrochem. Sci. 2022, 17, 2. [Google Scholar] [CrossRef]
- Xu, C.; Chen, H.; Xun, W.; Zhou, Z.; Liu, T.; Zeng, Y.; Ahmad, T. Modal decomposition based ensemble learning for ground source heat pump systems load forecasting. Energy Build. 2019, 194, 62–74. [Google Scholar] [CrossRef]















| X1 | X2 | X3 | X4 | X5 | X6 |
|---|---|---|---|---|---|
| Vertical displacement of tires | Vertical velocity of tires | Horizontal displacement of tires | Horizontal velocity of tires | Pillar velocity | Buffer load |
| X7 | X8 | X9 | X10 | X11 | X12 |
| Spring force | Damping force of fluid | Buffer Friction | Structure Force | Pillar force | Chamber I Pressure |
| X13 | X14 | X15 | Y1 | Y2 | |
| Chamber II Pressure | Tire pressure | Weight | Vertical load of gravity center | Vertical displacement of gravity center |
| No. | Input | Output | ||||||||
|---|---|---|---|---|---|---|---|---|---|---|
| Working Condition Parameters | Structural Parameters | Performance | ||||||||
| X1 | X2 | ... | X10 | X11 | X12 | ... | X15 | Y1 | Y2 | |
| 1 | 0.968 | 0.465 | ... | 0.299 | 0.561 | 0.600 | ... | 0.416 | 0.411 | 0.973 |
| 2 | 0.857 | 0.138 | ... | 0.417 | 0.113 | 0.600 | ... | 0.416 | 0.898 | 0.004 |
| 3 | 0.281 | 0.128 | ... | 0.480 | 0.656 | 0.600 | ... | 0.000 | 0.168 | 0.002 |
| 4 | 0.428 | 0.236 | ... | 0.281 | 0.549 | 0.600 | ... | 0.000 | 0.293 | 0.007 |
| 5 | 0.628 | 0.192 | ... | 0.256 | 0.508 | 0.000 | ... | 0.416 | 0.934 | 0.413 |
| 6 | 0.609 | 0.030 | ... | 0.044 | 0.368 | 0.000 | ... | 0.416 | 0.949 | 0.047 |
| 7 | 0.406 | 0.204 | ... | 0.451 | 0.637 | 0.800 | ... | 0.833 | 0.578 | 0.006 |
| 8 | 0.744 | 0.230 | ... | 0.336 | 0.584 | 0.600 | ... | 0.000 | 0.744 | 0.002 |
| 9 | 0.943 | 0.288 | ... | 0.577 | 0.735 | 0.600 | ... | 0.416 | 0.997 | 0.189 |
| ... | ... | ... | ... | ... | ... | ... | ... | ... | ... | ... |
| 17018 | 0.750 | 0.179 | ... | 0.551 | 0.703 | 0.000 | ... | 0.416 | 0.784 | 0.538 |
| Feature | Pearson | Spearman | Kendall | |||
|---|---|---|---|---|---|---|
| Value | Ranking | Value | Ranking | Value | Ranking | |
| X1 | 0.383079 | 4 | 0.494972 | 5 | 0.399855 | 4 |
| X2 | 0.141004 | 7 | 0.363665 | 9 | 0.293423 | 9 |
| X3 | 0.981946 | 2 | 0.980942 | 3 | 0.871405 | 3 |
| X4 | 0.018364 | 11 | 0.015115 | 10 | 0.010454 | 11 |
| X5 | 0.316543 | 5 | 0.522409 | 4 | 0.396595 | 5 |
| X6 | 0.031670 | 10 | 0.215045 | 6 | 0.159058 | 6 |
| X7 | 0.996032 | 1 | 0.997465 | 1 | 0.963418 | 1 |
| X8 | 0.617989 | 3 | 0.997464 | 2 | 0.963391 | 2 |
| X9 | 0.113472 | 8 | 0.002074 | 11 | 0.081934 | 8 |
| X10 | 0.076653 | 9 | 0.070595 | 8 | 0.046533 | 10 |
| X11 | 0.180979 | 6 | 0.200939 | 7 | 0.137894 | 7 |
| Feature | Pearson | Spearman | Kendall | |||
|---|---|---|---|---|---|---|
| Value | Ranking | Value | Ranking | Value | Ranking | |
| X1 | 0.760885 | 3 | 0.863477 | 2 | 0.685512 | 2 |
| X2 | 0.317166 | 6 | 0.200522 | 10 | 0.163976 | 10 |
| X3 | 0.047498 | 10 | 0.383335 | 6 | 0.290905 | 5 |
| X4 | 0.282094 | 7 | 0.244807 | 9 | 0.170098 | 9 |
| X5 | 0.747219 | 4 | 0.850003 | 3 | 0.684735 | 3 |
| X6 | 0.960079 | 1 | 0.913163 | 1 | 0.803743 | 1 |
| X7 | 0.145119 | 9 | 0.307408 | 8 | 0.260701 | 8 |
| X8 | 0.034614 | 11 | 0.307410 | 7 | 0.260751 | 7 |
| X9 | 0.940824 | 2 | 0.708765 | 4 | 0.505762 | 4 |
| X10 | 0.178160 | 8 | 0.113769 | 11 | 0.074262 | 11 |
| X11 | 0.408989 | 5 | 0.419333 | 5 | 0.284607 | 6 |
| Pearson | Spearman | Kendall |
|---|---|---|
| X1 ←→ X5 | X1 ←→ X5 | X1 ←→ X5 |
| X3 ←→ X7 | X3 ←→ X7 | X3 ←→ X7 |
| X6 ←→ X9 | X3 ←→ X8 | X3 ←→ X8 |
| X6 ←→ X9 |
| Ridge | Elastic | KNN | SVM | DT | BP | RBF |
|---|---|---|---|---|---|---|
| alpha | l1_ratio | n_neighbors | kernel | criterion | hidden_size | hidden_size |
| 0.2 | 0.3 | 5 | Poly | gini | 12 | 8 |
| __ | __ | __ | C | max_depth | learning_rate | learning_rate |
| __ | __ | __ | 0.7 | 6 | 0.012 | 0.015 |
| Ridge | Elastic | KNN | SVM | DT | BP | RBF |
|---|---|---|---|---|---|---|
| alpha | l1_ratio | n_neighbors | kernel | criterion | hidden_size | hidden_size |
| 0.15 | 0.2 | 7 | Poly | gini | 9 | 6 |
| __ | __ | __ | C | max_depth | learning_rate | learning_rate |
| __ | __ | __ | 0.55 | 7 | 0.02 | 0.025 |
| Metrics\Model | Ridge | Elastic | KNN | SVM | DT | BP | RBF |
|---|---|---|---|---|---|---|---|
| MAE (Y1) | 0.0581 | 0.0435 | 0.0225 | 0.0447 | 0.0173 | 0.0524 | 0.0654 |
| MAPE (Y1) | 0.1016 | 0.0776 | 0.0454 | 0.0638 | 0.0535 | 0.0798 | 0.1219 |
| HAPE (Y1) | [2.28%, 13.54%] | [0.65%, 10.62%] | [0.59%, 6.97%] | [0.24%, 8.96%] | [0.21%, 9.61%] | [1.48%, 12.66%] | [2.76%, 15.03%] |
| Metrics\Model | Ridge | Elastic | KNN | SVM | DT | BP | RBF |
|---|---|---|---|---|---|---|---|
| MAE (Y2) | 0.0447 | 0.0558 | 0.0196 | 0.0382 | 0.0246 | 0.0583 | 0.0713 |
| MAPE (Y2) | 0.0842 | 0.0984 | 0.0524 | 0.0579 | 0.0617 | 0.0879 | 0.1037 |
| HAPE (Y2) | [0.97%, 11.54%] | [2.25%, 13.10%] | [0.99%, 8.30%] | [1.04%, 9.76%] | [0.42%, 10.58%] | [2.58%, 11.35%] | [3.96%, 14.03%] |
| Layer1 | Layer2 | Layer3 | Layer4 | Layer5 |
|---|---|---|---|---|
| Self-Attention | Dense(9,9) | Leaky_Relu | Dense(9,3) | Dense(3,1) |
| Optimizer | Lr | Batchsize | -- | -- |
| Adam | 0.015 | 128 | -- | -- |
| Layer1 | Layer2 | Layer3 | Layer4 | Layer5 |
|---|---|---|---|---|
| Self-Attention | Dense(9,9) | Leaky_Relu | Dense(9,3) | Dense(3,1) |
| Optimizer | Lr | Batchsize | -- | -- |
| Adam | 0.012 | 64 | -- | -- |
| Metrics\Model | Bagging | Linear | MLP | MLPSA |
|---|---|---|---|---|
| MAE (Y1) | 0.0185 | 0.0204 | 0.0153 | 0.0114 |
| MAPE (Y1) | 0.0314 | 0.0411 | 0.0337 | 0.0241 |
| HAPE (Y1) | [0.33%, 6.07%] | [0.45%, 7.07%] | [0.69%, 6.19%] | [0.24%, 5.19%] |
| Metrics\Model | Bagging | Linear | MLP | MLPSA |
|---|---|---|---|---|
| MAE (Y2) | 0.0174 | 0.0190 | 0.0135 | 0.0096 |
| MAPE (Y2) | 0.0278 | 0.0457 | 0.0251 | 0.0188 |
| HAPE (Y2) | [0.51%, 5.91%] | [0.61%, 7.71%] | [0.57%, 8.20%] | [0.28%, 5.01%] |
Disclaimer/Publisher’s Note: The statements, opinions and data contained in all publications are solely those of the individual author(s) and contributor(s) and not of MDPI and/or the editor(s). MDPI and/or the editor(s) disclaim responsibility for any injury to people or property resulting from any ideas, methods, instructions or products referred to in the content. |
© 2023 by the authors. Licensee MDPI, Basel, Switzerland. This article is an open access article distributed under the terms and conditions of the Creative Commons Attribution (CC BY) license (https://creativecommons.org/licenses/by/4.0/).
Share and Cite
Lin, L.; Tong, C.; Guo, F.; Fu, S.; Lv, Y.; He, W. A Self-Attention Integrated Learning Model for Landing Gear Performance Prediction. Sensors 2023, 23, 6219. https://doi.org/10.3390/s23136219
Lin L, Tong C, Guo F, Fu S, Lv Y, He W. A Self-Attention Integrated Learning Model for Landing Gear Performance Prediction. Sensors. 2023; 23(13):6219. https://doi.org/10.3390/s23136219
Chicago/Turabian StyleLin, Lin, Changsheng Tong, Feng Guo, Song Fu, Yancheng Lv, and Wenhui He. 2023. "A Self-Attention Integrated Learning Model for Landing Gear Performance Prediction" Sensors 23, no. 13: 6219. https://doi.org/10.3390/s23136219
APA StyleLin, L., Tong, C., Guo, F., Fu, S., Lv, Y., & He, W. (2023). A Self-Attention Integrated Learning Model for Landing Gear Performance Prediction. Sensors, 23(13), 6219. https://doi.org/10.3390/s23136219
