Method to Solve Underwater Laser Weak Waves and Superimposed Waves
Abstract
1. Introduction
2. Algorithm Principle
2.1. Principle of the Gaussian Decomposition Method
2.2. Data Preprocessing
2.3. Improved Gaussian Decomposition Method
- (1)
- When Linf = 1 and Rinf > 1 (Figure 2a), the left-hand side of the peak is closer to the real situation. Therefore, taking the half position of the left peak as the full width at half maxima (tgl), and finding the closest point of the half peak to calculate the standard deviation and, finally, comparing these values, allows us to obtain the standard deviation of the peak ().
- (2)
- When Rinf = 1 and Linf > 1 (Figure 2b), the right-hand side of the peak is closer to the real situation. Therefore, taking the half position of the right peak as the full width at half maxima (tgr), and finding the closest point of the half peak to calculate the standard deviation and, finally, comparing these values, allows us to obtain the standard deviation of the peak ().
- (3)
- When Rinf = 1 and Linf = 1 (Figure 2c) or Rinf > 1 and Linf > 1 (Figure 2d), the peak is a single waveform, or wrapped by multiple waveforms without superposition. Therefore, it is necessary to calculate the distance from the points closet to the half width peak on both sides to the peak point. The point with a smaller distance is taken as the full width at half maxima (dis), and these values are compared, to obtain the standard deviation of the peak ().
- (1)
- When Linf = 1 and Rinf > 1 (Figure 3a), the left side of the peak is closer to the real situation; the right side of the peak exhibits a waveform superposition. Therefore, we need to find the corresponding inflection point, and the point of the nearest half peak position on the left side (tgl), and calculate their respective standard deviation (). This paper selected a smaller value as the standard deviation, to avoid error due to unrecognized partial inflection points.
- (2)
- When Rinf = 1 and Linf > 1 (Figure 3b), the right side of the peak is closer to the real situation; the left side of the peak exhibits a waveform superposition. Therefore, we need to find the corresponding inflection point, and the point of the nearest half peak position on the right side (tgr), and calculate their respective standard deviation (). This paper selected a smaller value as the standard deviation, to avoid error due to unrecognized partial inflection points.
- (3)
- There are three different situations when Rinf > 1 and Linf > 1 (Figure 3c–e); at this time, the distance from the center to the inflection points cannot accurately express the standard deviation, because the inflection points are affected by the superimposed waveform. In this study, the average position of the inflection points on the left and right sides of the peak are denoted as S1 and S2, respectively. The distance from the closest half position of the peak to the peak, on both sides of the peak, is calculated, and the shortest distance is denoted as S3. We sorted S1, S2, and S3, and obtained the middle distance as the half peak width (dis) to calculate the standard deviation ().
- (4)
- In this case, because the inflection point is not judged (Figure 3f), this study found the point closest to the half width on both sides of the peak, and calculated the distance between it and the peak, using the shortest distance as dis, to calculate the standard deviation ().
2.4. Two-Order Oscillating Particle Swarm Optimization
- (1)
- According to the estimated parameters used to establish a group of particles, these particles are randomly distributed within the estimated parameter range.
- (2)
- The fitness of each particle (fitness, Equation (10)); if the fitness is better than the individual extremum, we update the individual extremum; if the fitness is better than the global extremum, we update the global extremum.
- (3)
- Optimizing the particles’ position and velocity (, , Equation (11)).
- (4)
- We repeat the above steps until the limit error requirement, or the number of iterations, is reached.is the objective function; is a function composed of multiple Gaussian components after Gaussian decomposition; n is the number of samples.is the position of the last time, are the particle positions before and after updating; and are the particle velocity before and after updating; is the inertia weight factor; and are parameters to adjust the global search ability and local search ability of the algorithm and are study factors, are random numbers between 0 and 1, and represent the individual extremum and global extremum, respectively.
2.5. Levenberg–Marquardt Algorithm
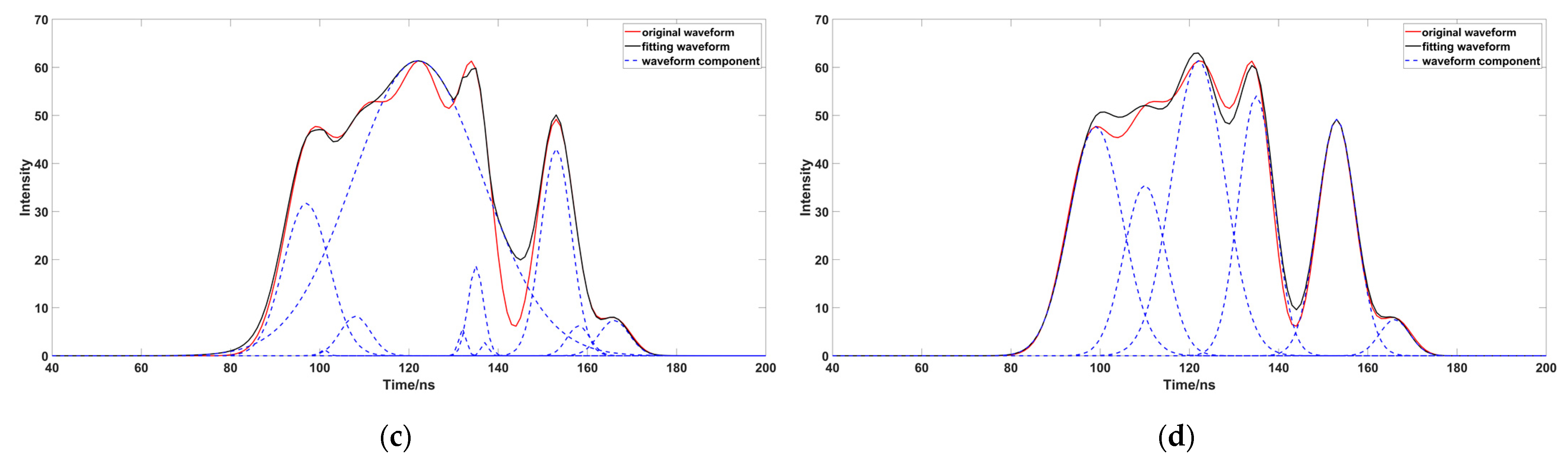
3. Results
3.1. Parameters Estimation
3.2. Parameter Optimizing and Fitting
3.3. Accuracy Comparison
4. Discussion
- (1)
- When solving the superimposed waveform, it is unreasonable to use the highest peak value as the amplitude of the Gaussian component; although this limitation can be corrected in the subsequent parameter optimization process, it undoubtedly does not increase the workload of parameter optimization.
- (2)
- The laser echo signal will be affected by noise in the water. In this paper, the water data under the influence of different noise are not further explored, but this problem will be further studied in follow-up work.
- (3)
- Although this method uses multiple sets of research data, the experimental environment is still limited to ponds with clear water quality. Because the data source problem can only be tested with simulated data, there is no exploration of different types of water body data, and the universality of this method cannot be verified.
5. Conclusions
- (1)
- By comparing multiple sets of study data, underwater lasers are mostly complex waveforms of strong wave and weak wave superposition. We found that the improved inflection point selection method proposed in this paper is more suitable for underwater waveform calculation, which can solve underwater waveform data well and has a good effect on the parameter extraction of superimposed waves and weak waves.
- (2)
- To further verify the universality of this method, this study used a variety of methods to decompose the simulated waveform. The results showed that the waveform decomposed by this method is closer to the actual waveform in comparison with other methods, and the accuracy is much higher than that of other decomposition methods.
- (3)
- To verify the accuracy of the subsequent parameters optimization process, this study compared a variety of parameter optimization combinations, and the results showed that although the accuracy of the optimized method was not the highest, the actual results were closer to the original waveform than the other methods.
- (1)
- The underwater laser echo signal is susceptible to various noise sources. In follow-up work, multiple experiments will be carried out under the influence of various noise sources, to further verify the accuracy and reliability of the proposed method.
- (2)
- In follow-up work, a variety of different sensors will be used to test the algorithm in this paper, to further understand whether the limitations and deviations of the sensors will affect the results.
- (3)
- The data background selected in this paper is a pond in a park in Guilin, Guangxi, China; the water quality has little effect on the laser echo signal. The planned follow-up research will study different types of water bodies, such as oceans and rivers, to further verify and evaluate the universality of this method in different environments.
Author Contributions
Funding
Institutional Review Board Statement
Informed Consent Statement
Data Availability Statement
Acknowledgments
Conflicts of Interest
Abbreviations
| PSO | Particle swarm optimization |
| OPSO | Oscillating particle swarm optimization |
| LM | Levenberg–Marquardt |
| Interpretation | |
| Savitzky–Golay smoothing filter | The Savitzky–Golay filter is a digital filter that can be applied to a set of data to smooth the data, which can improve the accuracy of the data without changing the signal trend and width. It is mainly realized via the process of convolution; that is, the continuous subset of adjacent data points is fitted with a low-order polynomial by a linear least-squares method. |
| five-point three-time smoothing method | After removing the first point from the known number of equidistant points, a curve-smoothing method using a cubic polynomial to approximate the two points before and after each data point is proposed. |
| Jacobian matrix | In vector analysis, a Jacobian matrix is a matrix whose first-order partial derivatives of a function are arranged in a certain way, and its determinant is called the Jacobian determinant. |
References
- Mahmood, S.; Nasir, H.; Tariq, S.; Ashraf, H.; Pervaiz, M.; Khan, Z.A.; Javaid, N. Forwarding nodes constraint based DBR (CDBR) and EEDBR (CEEDBR) in underwater WSNs. Procedia Comput. Sci. 2014, 34, 228–235. [Google Scholar] [CrossRef]
- Guo, H.; Goodchild, M.F.; Annoni, A. Manual of Digital Earth; Springer Nature: Berlin/Heidelberg, Germany, 2020. [Google Scholar]
- Huo, G.; Wu, Z.; Li, J.; Li, S. Underwater target detection and 3D reconstruction system based on binocular vision. Sensors 2018, 18, 3570. [Google Scholar] [CrossRef]
- Chen, B.; Yang, Y.; Zhou, J.; Zhuang, Y.; McFarland, M. Damage detection of underwater foundation of a Chinese ancient stone arch bridge via sonar-based techniques. Measurement 2021, 169, 108283. [Google Scholar] [CrossRef]
- Zhenmin, S.; Tong, Z.; Yuncai, W.; Yongchao, Z.; Weidong, S.; Bingjie, W.; Jingxia, L. Underwater target detection of chaotic pulse laser radar. Infrared Laser Eng. 2019, 48, 406004. [Google Scholar] [CrossRef]
- Nadimi, N.; Javidan, R.; Layeghi, K. Efficient detection of underwater natural gas pipeline leak based on synthetic aperture sonar (Sas) systems. J. Mar. Sci. Eng. 2021, 9, 1273. [Google Scholar] [CrossRef]
- Zou, K.; Hao, Z.; Feng, Y.; Meng, Y.; Hu, N.; Steinhauer, S.; Gyger, S.; Zwiller, V.; Hu, X. Fractal superconducting nanowire single-photon detectors working in dual bands and their applications in free-space and underwater hybrid LIDAR. Opt. Lett. 2023, 48, 415–418. [Google Scholar] [CrossRef]
- Li, G.; Zhou, Q.; Xu, G.; Wang, X.; Han, W.; Wang, J.; Zhang, G.; Zhang, Y.; Yuan, Z.; Cheng, G.; et al. Lidar-radar for underwater target detection using a modulated sub-nanosecond Q-switched laser. Opt. Laser Technol. 2021, 142, 107234. [Google Scholar] [CrossRef]
- Li, K.; Yang, S.; Liao, Y.; Lin, X.; Wang, X.; Zhang, J.; Li, Z. Application of A Frequency Chirped RF Intensity Modulated 532 nm Light Source in Underwater Ranging. IEEE Photonics J. 2020, 12, 1503811. [Google Scholar] [CrossRef]
- Menna, F.; Agrafiotis, P.; Georgopoulos, A. State of the art and applications in archaeological underwater 3D recording and mapping. J. Cult. Herit. 2018, 33, 231–248. [Google Scholar] [CrossRef]
- Yang, F.; Qi, C.; Su, D.; Ding, S.; He, Y.; Ma, Y. An airborne LiDAR bathymetric waveform decomposition method in very shallow water: A case study around Yuanzhi Island in the South China Sea. Int. J. Appl. Earth Obs. Geoinf. 2022, 109, 102788. [Google Scholar] [CrossRef]
- Jiaoyang, L.; Dianpeng, S.; Chao, Q.; Anxiu, Y.; Xiankun, W.; Fanlin, Y. Waveform decomposition and feature extraction of airborne LiDAR bathymetry. In Proceedings of the 2021 IEEE International Geoscience and Remote Sensing Symposium IGARSS, Brussels, Belgium, 11–16 July 2021; pp. 8073–8076. [Google Scholar]
- Schwarz, R. Analysis and Processing of Signals in Laser. Bathymetry. Dissertation, Thesis, Technische Universität Wien, Vienna, Austria, 2021. [Google Scholar]
- Zhou, T.; Popescu, S.C. Bayesian decomposition of full waveform LiDAR data with uncertainty analysis. Remote Sens. Environ. 2017, 200, 43–62. [Google Scholar] [CrossRef]
- Liu, C.; Xu, L.; Si, L.; Li, X.; Li, D.; Huang, J.; He, Y. A robust deconvolution method of airborne LiDAR waveforms for dense point clouds generation in forest. IEEE Trans. Geosci. Remote Sens. 2021, 60, 5700314. [Google Scholar] [CrossRef]
- Zhou, G.; Deng, R.; Zhou, X.; Long, S.; Li, W.; Lin, G.; Li, X. Gaussian inflection point selection for LiDAR hidden echo signal decomposition. IEEE Geosci. Remote Sens. Lett. 2021, 19, 6502705. [Google Scholar] [CrossRef]
- Hofton, M.A.; Minster, J.B.; Blair, J.B. Decomposition of laser altimeter waveforms. IEEE Trans. Geosci. Remote Sens. 2000, 38, 1989–1996. [Google Scholar] [CrossRef]
- Chauve, A.; Mallet, C.; Bretar, F.; Durrieu, S.; Pierrot-Deseilligny, M.; Puech, W. Processing full-waveform lidar data: Modelling raw signals. In Proceedings of the ISPRS Workshop Laser Scanning and SilviLaser (LS SL), Espoo, Finland, 12–14 September 2007; Volume 36, pp. 102–107. [Google Scholar]
- Kumar, S.; John, B. A novel gaussian based particle swarm optimization gravitational search algorithm for feature selection and classification. Neural Comput. Appl. 2021, 33, 12301–12315. [Google Scholar] [CrossRef]
- Li, D.; Xu, L.; Li, X. Full-waveform LiDAR echo decomposition based on wavelet decomposition and particle swarm optimization. Meas. Sci. Technol. 2017, 28, 045205. [Google Scholar] [CrossRef]
- Lu, Y.; Zhou, H.; Wei, J.; Xin, Y.; Wang, J. Station Layout Optimization for Underwater Measurement of Long Baseline Based on Two-Order Oscillating Particle Swarm Optimization. In Proceedings of the 2021 China Automation Congress (CAC), Beijing, China, 22–24 October 2021; pp. 3328–3335. [Google Scholar]
- Jagan, B.O.L.; Rao, S.K. Evaluation of DB-IEKF Algorithm Using Optimization Methods for Underwater Passive Target Tracking. Mob. Netw. Appl. 2022, 27, 1070–1080. [Google Scholar] [CrossRef]
- Gutnik, Y.; Cohen, N.; Klein, I.; Groper, M. Data-Driven Underwater Navigation workshop: AUV Close-Range Localization and Guidance Employing an Electro-Magnetic Beacon. In Proceedings of the 2023 IEEE Underwater Technology (UT), Tokyo, Japan, 6–9 March 2023; pp. 1–5. [Google Scholar]
- Han, Z.; Zhang, X.; Yan, B.; Qiao, L.; Li, Z. Methods on the determination of the circuit parameters in an underwater spark discharge. Math. Probl. Eng. 2022. [Google Scholar] [CrossRef]
- Mountrakis, G.; Li, Y. A linearly approximated iterative Gaussian decomposition method for waveform LiDAR processing. ISPRS J. Photogramm. Remote Sens. 2017, 129, 200–211. [Google Scholar] [CrossRef]
- Song, S.; Wang, B.; Gong, W.; Chen, Z.; Lin, X.; Sun, J.; Shi, S. A new waveform decomposition method for multispectral LiDAR. ISPRS J. Photogramm. Remote Sens. 2019, 149, 40–49. [Google Scholar] [CrossRef]
- Meng, Z.; Xu, J. A Lateral Gaussian Decomposition Method for LiDAR Waveform Data. J. Wuhan Univ. Inf. Sci. Ed. 2018, 43, 81–86, 100. [Google Scholar]
- Wang, B.; Wang, D.; Chen, L. Quick Locating Algorithm for Turning Points in Discrete Point Set of Curve. J. Syst. Sci. Inf. 2004, 2, 721–726. [Google Scholar]
- Jianxiu, H.; Jianchao, Z. Two-order Oscillating Particle Swarm Optimization. J. Syst. Simul. 2007, 19, 997–999. [Google Scholar]
- Kennedy, J.; Eberhart, R. Particle swarm optimization. In Proceedings of the ICNN’95-International Conference on Neural Networks, Perth, WA, Australia, 27 November–1 December 1995; Volume 4, pp. 1942–1948. [Google Scholar]
- Ranganathan, A. The levenberg-marquardt algorithm. Tutoral LM Algorithm 2004, 11, 101–110. [Google Scholar]
- Yihao, D.; Aiwu, Z.; Zhao, L. A Gaussian inflexion points matching method for Gaussian decomposition of airborne LiDAR waveform data. Laser Optoelectron. Prog. 2014, 51, 102801. [Google Scholar] [CrossRef]
- Guo, K.; Xu, W.; Liu, Y.; He, X.; Tian, Z. Gaussian half-wavelength progressive decomposition method for waveform processing of airborne laser bathymetry. Remote Sens. 2017, 10, 35. [Google Scholar] [CrossRef]


















| Data | Iterative | Inflection Point | Inflection Point Selection Decomposition | This Paper | |
|---|---|---|---|---|---|
| RMSE | Test 1 | 2.4600 | 4.1989 | 2.4647 | 2.6383 |
| Test 2 | 3.8405 | 4.1085 | 3.6739 | 3.7071 | |
| Test 3 | 2.4133 | 2.4133 | 8.1702 | 2.3909 | |
| Test 4 | 1.9612 | 1.9612 | 2.8015 | 1.4397 | |
| average | 2.66875 | 3.170475 | 4.277575 | 2.544 | |
| R2 | Test 1 | 0.9964 | 0.9894 | 0.9963 | 0.9958 |
| Test 2 | 0.9929 | 0.9919 | 0.9935 | 0.9934 | |
| Test 3 | 0.9964 | 0.9964 | 0.9591 | 0.9965 | |
| Test 4 | 0.9966 | 0.9966 | 0.9931 | 0.9982 | |
| average | 0.995575 | 0.993575 | 0.9855 | 0.995975 |
| i | 1 | 2 | 3 | 4 | 5 | 6 |
| A | 45 | 40 | 60 | 50 | 50 | 8 |
| μ | 98 | 110 | 123 | 135 | 153 | 166 |
| δ | 5.5 | 5 | 6.5 | 3.5 | 4 | 3.5 |
| i | 1 | 2 | 3 | 4 | 5 | 6 | |
| A | Actual value | 45 | 40 | 60 | 50 | 50 | 8 |
| Optimized parameters | 44.2589 | 40.3164 | 59.2484 | 49.1012 | 49.3643 | 7.6628 | |
| μ | Actual value | 98 | 110 | 123 | 135 | 153 | 166 |
| Optimized parameters | 97.8985 | 109.9738 | 123.0346 | 134.9677 | 153.0104 | 166.0331 | |
| δ | Actual value | 5.5 | 5 | 6.5 | 3.5 | 4 | 3.5 |
| Optimized parameters | 5.4893 | 5.1777 | 6.4799 | 3.6108 | 4.0575 | 3.6352 | |
| RMSE | 0.0016 | ||||||
| R2 | 1 | ||||||
| Method | RMSE | R2 |
|---|---|---|
| Original data | 3.7071 | 0.9934 |
| PSO (Figure 16a) | 1.9853 | 0.9976 |
| OPSO (Figure 16b) | 2.2267 | 0.9970 |
| Fixed damping LM (Figure 16c) | 1.5947 | 0.9988 |
| Update damping LM (Figure 16d) | 1.9386 | 0.9982 |
| PSO and fixed damping LM (Figure 16e) | 1.6405 | 0.9987 |
| PSO and update damping LM (Figrue 16f) | 1.9485 | 0.9988 |
| OPSO and fixed damping LM (Figure 16g) | 1.5947 | 0.9988 |
| OPSO and update damping LM (Figure 16h) | 2.0387 | 0.9980 |
Disclaimer/Publisher’s Note: The statements, opinions and data contained in all publications are solely those of the individual author(s) and contributor(s) and not of MDPI and/or the editor(s). MDPI and/or the editor(s) disclaim responsibility for any injury to people or property resulting from any ideas, methods, instructions or products referred to in the content. |
© 2023 by the authors. Licensee MDPI, Basel, Switzerland. This article is an open access article distributed under the terms and conditions of the Creative Commons Attribution (CC BY) license (https://creativecommons.org/licenses/by/4.0/).
Share and Cite
Kang, C.; Lin, Z.; Wu, S.; Yang, J.; Zhang, S.; Zhang, S.; Li, X. Method to Solve Underwater Laser Weak Waves and Superimposed Waves. Sensors 2023, 23, 6058. https://doi.org/10.3390/s23136058
Kang C, Lin Z, Wu S, Yang J, Zhang S, Zhang S, Li X. Method to Solve Underwater Laser Weak Waves and Superimposed Waves. Sensors. 2023; 23(13):6058. https://doi.org/10.3390/s23136058
Chicago/Turabian StyleKang, Chuanli, Zitao Lin, Siyi Wu, Jiale Yang, Siyao Zhang, Sai Zhang, and Xuanhao Li. 2023. "Method to Solve Underwater Laser Weak Waves and Superimposed Waves" Sensors 23, no. 13: 6058. https://doi.org/10.3390/s23136058
APA StyleKang, C., Lin, Z., Wu, S., Yang, J., Zhang, S., Zhang, S., & Li, X. (2023). Method to Solve Underwater Laser Weak Waves and Superimposed Waves. Sensors, 23(13), 6058. https://doi.org/10.3390/s23136058
