Embedded Ultrasonic Inspection on the Mechanical Properties of Cold Region Ice under Varying Temperatures
Abstract
1. Introduction
2. Test-Based Identification of the Mechanical Properties of Ice
2.1. Test Specimen
2.1.1. Actuators and Sensors
2.1.2. Ice Specimen and Sensing Strategy
- (1)
- Ice specimen
- (2)
- Sensing strategy
- (3)
- Considerations
2.2. Velocity of the Transmitted Waves
2.3. Experimental Setup and Methods
- (1)
- Test process
- (2)
- Determination of signal properties
2.4. Experimental Results
2.4.1. The Threshold Denoising Based on the Wavelet Transform
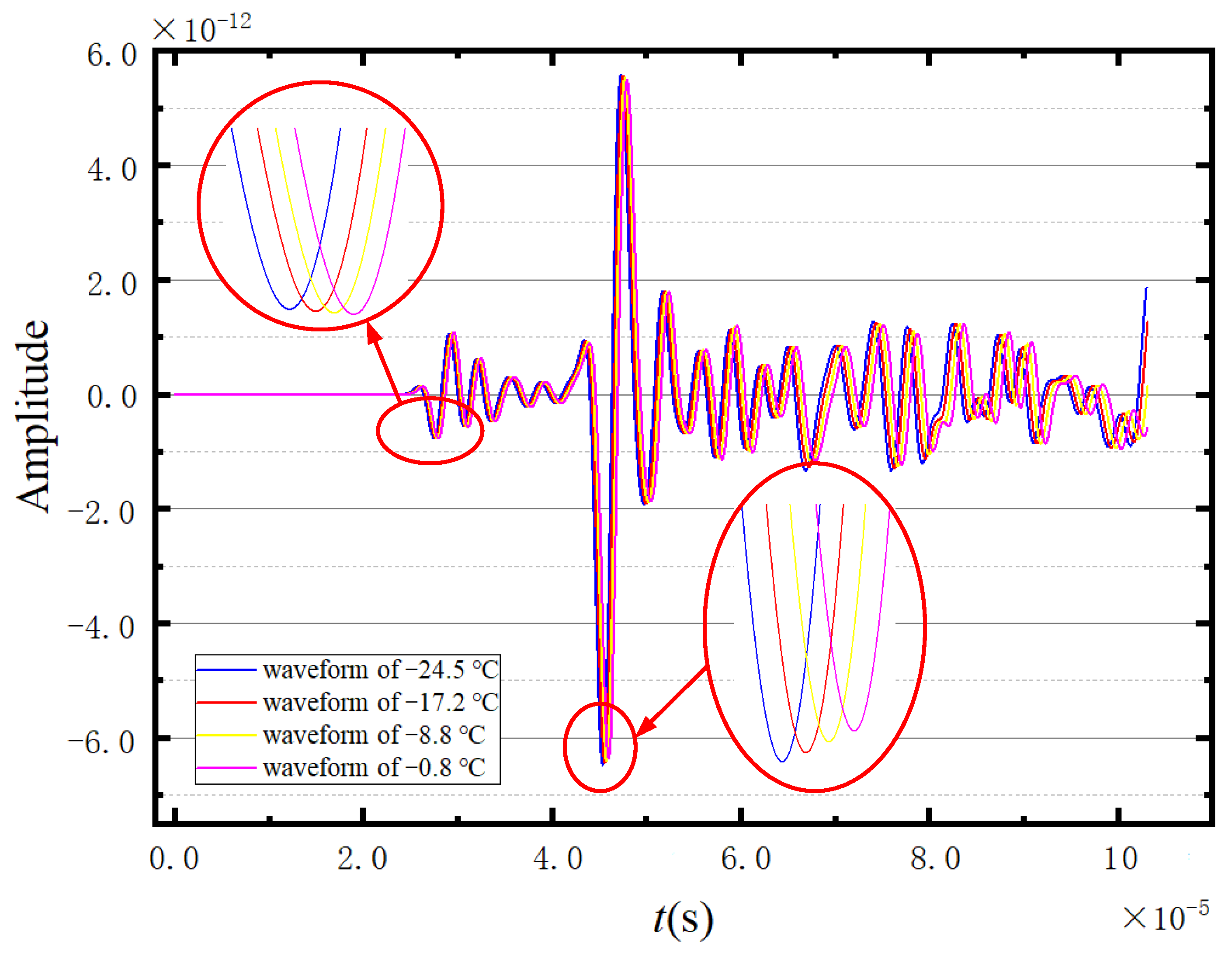
2.4.2. Experimental Results
3. Physics-Directed Numerical Simulations
3.1. Material Properties of the Ice Model
3.2. Two-Dimensional Ice Random Pore Model
3.3. Numerical Simulations of 2D Ice Random Pore Model
3.3.1. Wave Propagation Analysis with 0.5% Porosity
3.3.2. Non-Porous 2D Ice Model
3.4. Numerical Simulation Results of the 3D Ice Random Pore Model
3.5. Numerical Results from the 3D Ice Model
3.5.1. Wave Propagation in Ice with 1% Porosity
3.5.2. Comparisons
4. Discussion of Experimental and Numerical Results
5. Conclusions
- (1)
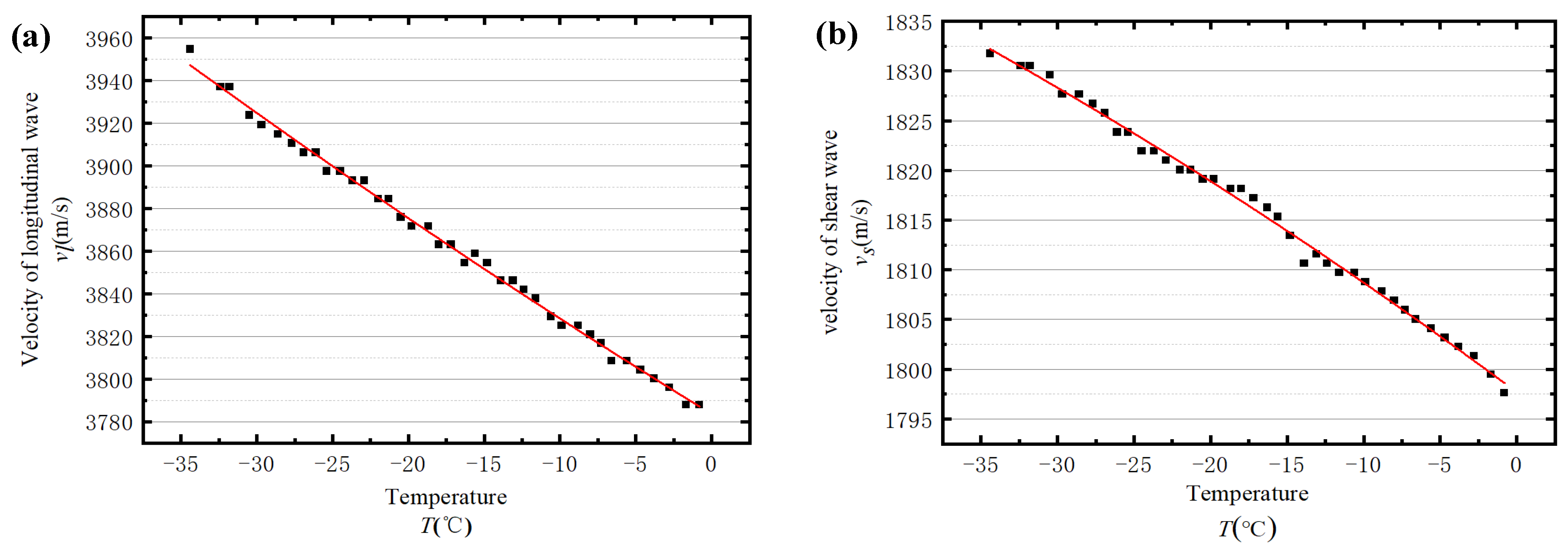
- With the artificial ice specimen made of distilled water, the experiment results indicate the velocities of wave propagation in the ice decrease gradually with the elevated temperatures. Moreover, the velocity of the longitudinal wave is within the range of 3954.8–3787.88 m/s, while the velocity of the shear wave is within the range of 1831.54–1797.64 m/s;
- (2)
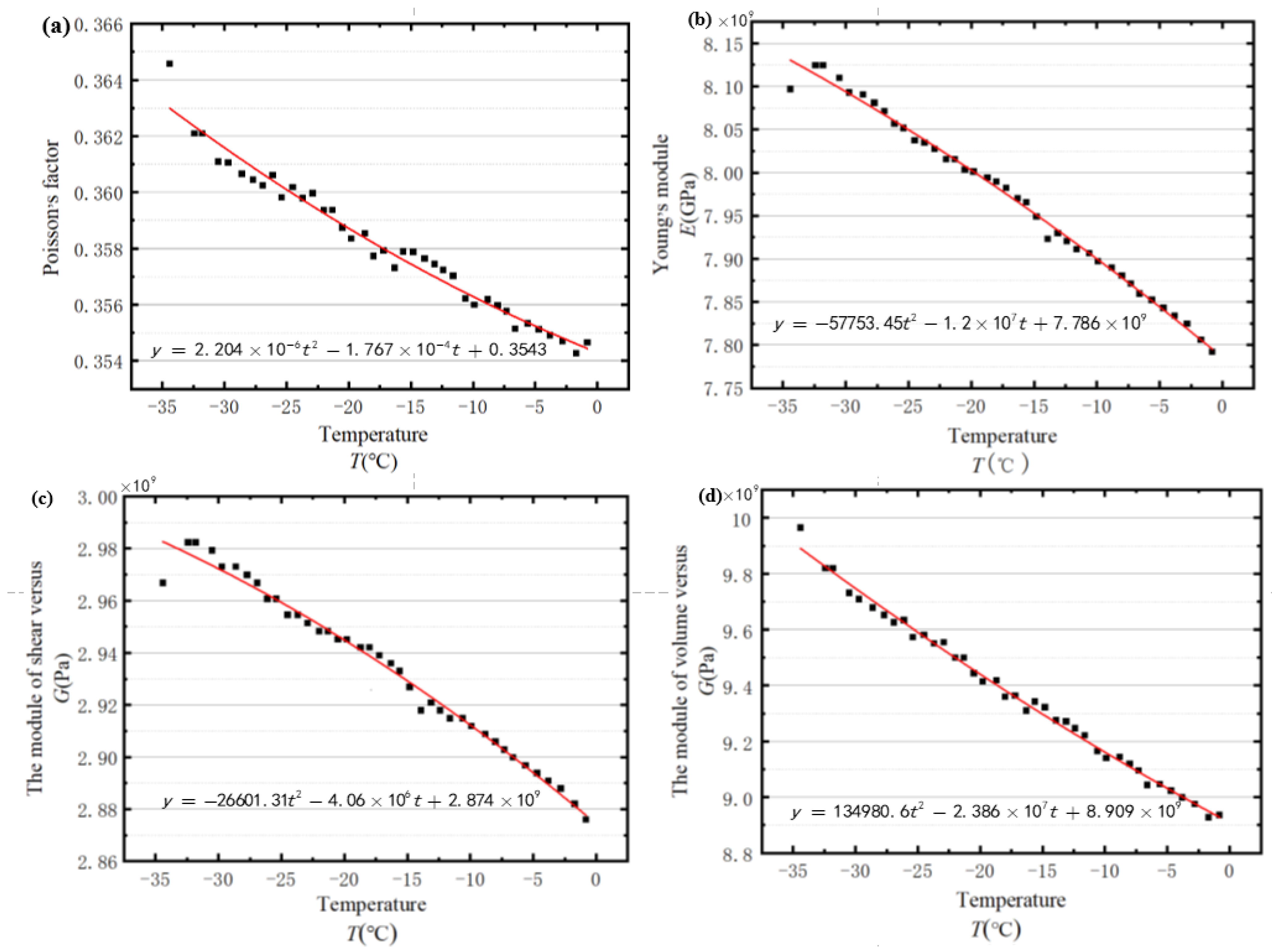
- The experimentally obtained wave velocities have been brought into known formulas to calculate the material properties of ice at different temperatures, including Young’s module, Poisson’s ratio, shear modulus, and bulk modulus. The results have shown that the values of the four properties have a downward trend with the increase in temperature;
- (3)
- With the help of the numerical models, the wave propagation in ice has been investigated, and the influence of varying temperatures on the wave propagation has been discussed in detail. The relative errors are within the range of 0.15–5.7% according to the comparison of numerical and experimental results, which proves the validity of the experimental results and reasonability of the calculated ice mechanics properties;
- (4)
- By comparing the waveform diagrams of the non-porous model and different porosity models, it can be found that the porosity affects the wave propagation velocity. By which, the greater the porosity, the slower the wave propagation velocity;
- (5)
- This research proves that the random pore model can simulate ice well. Additionally, by modifying the properties of the input model, more different ice models at different temperatures can be obtained, which provides a reliable modelling method for later research on ice.
Author Contributions
Funding
Institutional Review Board Statement
Informed Consent Statement
Data Availability Statement
Conflicts of Interest
References
- Screen, J.A.; Simmonds, I. The central role of diminishing sea ice in recent Arctic temperature amplification. Nature 2010, 464, 1334–1337. [Google Scholar] [CrossRef]
- Kumar, A.; Perlwitz, J.; Eischeid, J.; Quan, X.; Xu, T.; Zhang, T.; Hoerling, M.; Jha, B.; Wang, W. Contribution of sea ice loss to Arctic amplification. Geophys. Res. Lett. 2010, 37, 1–17. [Google Scholar] [CrossRef]
- Gebre, S.; Boissy, T.; Alfredsen, K. Sensitivity to climate change of the thermal structure and ice cover regime of three hydropower reservoirs. J. Hydrol. 2014, 510, 208–227. [Google Scholar] [CrossRef]
- Zhou, L.; Riska, K.; Ji, C. Simulating transverse icebreaking process considering both crushing and bending failures. Mar. Struct. 2017, 54, 167–187. [Google Scholar] [CrossRef]
- Balkhanov, V.K.; Bashkuev, Y.B.; Khaptanov, V.B. Deformation of freshwater ice cover measured by a horizontal electric antenna. Tech. Phys. 2007, 52, 120–122. [Google Scholar] [CrossRef]
- Liu, Z.; Amdahl, J.; Løset, S. Plasticity based material modelling of ice and its application to ship–iceberg impacts. Cold Reg. Sci. Technol. 2011, 65, 326–334. [Google Scholar] [CrossRef]
- Iliescu, D.; Baker, I. The structure and mechanical properties of river and lake ice. Cold Reg. Sci. Technol. 2007, 48, 202–217. [Google Scholar] [CrossRef]
- Wang, Y.; Xu, Y.; Huang, Q. Progress on ultrasonic guided waves de-icing techniques in improving aviation energy efficiency. Renew. Sustain. Energy Rev. 2017, 79, 638–645. [Google Scholar] [CrossRef]
- Sun, X.; Li, S.; Dun, X.; Li, D.; Li, T.; Guo, R.; Yang, M. A novel characterization method of piezoelectric composite material based on particle swarm optimization algorithm. Appl. Math. Model. 2019, 66, 322–331. [Google Scholar] [CrossRef]
- Wang, Q.; Li, Z.; Lei, R.; Lu, P.; Han, H. Estimation of the uniaxial compressive strength of Arctic sea ice during melt season. Cold Reg. Sci. Technol. 2018, 151, 9–18. [Google Scholar] [CrossRef]
- Han, H.; Li, Z.; Huang, W.; Lu, P.; Lei, R. The uniaxial compressive strength of the Arctic summer sea ice. Acta Oceanol. Sin. 2015, 34, 129–136. [Google Scholar] [CrossRef]
- Karulina, M.; Marchenko, A.; Karulin, E.; Sodhi, D.; Sakharov, A.; Chistyakov, P. Full-scale flexural strength of sea ice and freshwater ice in Spitsbergen Fjords and North-West Barents Sea. Appl. Ocean Res. 2019, 90, 101853. [Google Scholar] [CrossRef]
- Aksenov, V.I.; Gevorkyan, S.G.; Iospa, A.V. Temperature Dependence of Stress-Strain Properties of Freshwater Ice. Soil Mech. Found. Eng. 2019, 56, 366–370. [Google Scholar] [CrossRef]
- Moslet, P. Field testing of uniaxial compression strength of columnar sea ice. Cold Reg. Sci. Technol. 2007, 48, 1–14. [Google Scholar] [CrossRef]
- Qiu, W.-L.; Peng, R.-X. Research on the numerical simulation for plastic model of ice as building materials under triaxial compression. Constr. Build. Mater. 2020, 268, 121183. [Google Scholar] [CrossRef]
- Tinard, V.; François, P.; Fond, C. The Potential Scope of the Ultrasonic Surface Reflection Method Towards Mechanical Characterisation of Isotropic Materials. Part 2. Experimental Results. Exp. Mech. 2021, 61, 1161–1170. [Google Scholar] [CrossRef]
- Tinard, V.; François, P.; Fond, C. The Potential Scope of the Ultrasonic Surface Reflection Method Towards Mechanical Characterisation of Isotropic Materials. Part 1. A Theoretical Analysis. Exp. Mech. 2021, 61, 1153–1160. [Google Scholar] [CrossRef]
- Zhu, Z.H.; Post, M.A.; Meguid, S.A. The Potential of Ultrasonic Non-Destructive Measurement of Residual Stresses by Modal Frequency Spacing using Leaky Lamb Waves. Exp. Mech. 2012, 52, 1329–1339. [Google Scholar] [CrossRef]
- Mustansar, Z.; Shaukat, A.; Margetts, L. Effect of using different types of methods for the derivation of elastic modulus of bone—A critical survey. MATEC Web Conf. 2017, 108, 13002. [Google Scholar] [CrossRef]
- Lin, S.; Shams, S.; Choi, H.; Azari, H. Ultrasonic imaging of multi-layer concrete structures. NDT E Int. 2018, 98, 101–109. [Google Scholar] [CrossRef]
- Yang, X.; Verboven, E.; Ju, B.-F.; Kersemans, M. Comparative study of ultrasonic techniques for reconstructing the multilayer structure of composites. NDT E Int. 2021, 121, 102460. [Google Scholar] [CrossRef]
- Cao-Rial, M.; Moreno, C.; Quintela, P. Determination of Young modulus by using Rayleigh waves. Appl. Math. Model. 2019, 77, 439–455. [Google Scholar] [CrossRef]
- Maguire, R.R.; Schmerr, N.C.; Lekić, V.; Hurford, T.A.; Dai, L.; Rhoden, A.R. Constraining Europa’s ice shell thickness with fundamental mode surface wave dispersion. Icarus 2021, 369, 114617. [Google Scholar] [CrossRef]
- Bayón, A.; Gascón, F.; Nieves, F.J. Estimation of dynamic elastic constants from the amplitude and velocity of Rayleigh waves. J. Acoust. Soc. Am. 2005, 117, 3469–3477. [Google Scholar] [CrossRef]
- Medina, R.; Bayón, A. Elastic constants of a plate from impact-echo resonance and Rayleigh wave velocity. J. Sound Vib. 2010, 329, 2114–2126. [Google Scholar] [CrossRef]
- Polach, R.U.F.V.B.U.; Ettema, R.; Gralher, S.; Kellner, L.; Stender, M. The non-linear behavior of aqueous model ice in downward flexure. Cold Reg. Sci. Technol. 2019, 165, 102775. [Google Scholar] [CrossRef]
- Gagnon, R. Results of numerical simulations of growler impact tests. Cold Reg. Sci. Technol. 2007, 49, 206–214. [Google Scholar] [CrossRef]
- Wang, Y.; Ni, Y. Bayesian dynamic forecasting of structural strain response using structural health monitoring data. Struct. Control. Health Monit. 2020, 27, e2575. [Google Scholar] [CrossRef]
- Wang, Q.-A.; Zhang, C.; Ma, Z.-G.; Ni, Y.-Q. Modelling and forecasting of SHM strain measurement for a large-scale suspension bridge during typhoon events using variational heteroscedastic Gaussian process. Eng. Struct. 2022, 251, 113554. [Google Scholar] [CrossRef]
- Invernizzi, S.; Lacidogna, G.; Carpinteri, A. Particle-based numerical modeling of AE statistics in disordered materials. Meccanica 2012, 48, 211–220. [Google Scholar] [CrossRef]
- Markovic, N.; Nestorovic, T.; Stojic, D. Numerical modeling of damage detection in concrete beams using piezoelectric patches. Mech. Res. Commun. 2015, 64, 15–22. [Google Scholar] [CrossRef]
- Cao, M.; Ren, Q.; Wang, H. A method of detecting seismic singularities using combined wavelet with fractal. Chin. J. Geophys. 2005, 48, 672–679. [Google Scholar] [CrossRef]
- Alkayem, N.F.; Cao, M. Damage identification in three-dimensional structures using single-objective evolutionary algorithms and finite element model updating: Evaluation and comparison. Eng. Optim. 2018, 50, 1695–1714. [Google Scholar] [CrossRef]
- Bonath, V.; Edeskär, T.; Lintzén, N.; Fransson, L.; Cwirzen, A. Properties of ice from first-year ridges in the Barents Sea and Fram Strait. Cold Reg. Sci. Technol. 2019, 168, 102890. [Google Scholar] [CrossRef]
- Gharamti, I.; Dempsey, J.; Polojärvi, A.; Tuhkuri, J. Fracture of warm S2 columnar freshwater ice: Size and rate effects. Acta Mater. 2020, 202, 22–34. [Google Scholar] [CrossRef]
- Ji, S.; Yue, Q.; Bi, X. Probability distribution of sea ice fatigue parameters in JZ20-2 sea area of the Liaodong Bay. Ocean Eng. 2002, 20, 6. [Google Scholar]
- Cai, W.; Zhu, L.; Yu, T.; Li, Y. Numerical simulations for plates under ice impact based on a concrete constitutive ice model. Int. J. Impact Eng. 2020, 143, 103594. [Google Scholar] [CrossRef]
- Zhang, J.-P.; Zhou, D. Numerical modeling for strain rate effect and size effect of ice under uniaxial tension and compression. Commun. Nonlinear Sci. Numer. Simul. 2021, 96, 105614. [Google Scholar] [CrossRef]
- Wang, Z.; Wei, L.; Cao, M. Damage Quantification with Embedded Piezoelectric Aggregates Based on Wavelet Packet Energy Analysis. Sensors 2019, 19, 425. [Google Scholar] [CrossRef]
- Li, W.; Wang, Z.; Cao, M.; Fu, R. Concrete strength monitoring based on the variation of ultrasonic waveform acquired by piezoelectric aggregates. Struct. Eng. Mech. 2020, 76, 591–598. [Google Scholar]
- Zhang, W.; Hao, H.; Wu, J.; Li, J.; Ma, H.; Li, C. Detection of minor damage in structures with guided wave signals and nonlinear oscillator. Measurement 2018, 122, 532–544. [Google Scholar] [CrossRef]
- Kupperman, D.S.; Reimann, K.J.; Abrego-Lopez, J. Ultrasonic NDE of cast stainless steel. NDT Int. 1989, 22, 309. [Google Scholar] [CrossRef]
- Gammon, P.H.; Klefte, H.; Clouter, M.J. Elastic Constants of Ice Samples by Brillouin Elastic Constants of Ice Samples by Brillouin Spectroscopy. J. Phys. Chem. 1983, 87, 4025–4029. [Google Scholar] [CrossRef]
- Randhawa, K.S. The Measurement of the Young’s Modulus of Ice with Ultrasonic Waves. Ph.D. Thesis, Technische Universität Hamburg, Hamburg, Germany, 2018. [Google Scholar]
- Pustogvar, A.; Kulyakhtin, A. Sea ice density measurements. Methods and uncertainties. Cold Reg. Sci. Technol. 2016, 131, 46–52. [Google Scholar] [CrossRef]
- Timco, R.F.G.W. A review of sea ice density. Cold Reg. Sci. Technol. 1996, 24, 1–6. [Google Scholar] [CrossRef]
- Timco, G.W.; Frederking, R.M.W. Compressive strength of sea ice sheets. Cold Reg. Sci. Technol. 1990, 17, 227–240. [Google Scholar] [CrossRef]
- Song, Z.; Hou, L.; Whisler, D.; Gao, G. Mesoscopic numerical investigation of dynamic mechanical properties of ice with entrapped air bubbles based on a stochastic sparse distribution mechanism. Compos. Struct. 2020, 236, 111834. [Google Scholar] [CrossRef]
- Chen, H.; Xu, B.; Zhou, T.; Mo, Y.-L. Debonding detection for rectangular CFST using surface wave measurement: Test and multi-physical fields numerical simulation. Mech. Syst. Signal Process. 2018, 117, 238–254. [Google Scholar] [CrossRef]
- Cox, G.F.N.; Weeks, W.F. Equations for Determining the Gas and Brine Volumes in Sea-Ice Samples. J. Glaciol. 1983, 29, 306–316. [Google Scholar] [CrossRef]

























| Diameter | Thickness | d33 | KT3 |
|---|---|---|---|
| 20 mm | 1 mm | 460 × 10−12 m/V | 1700 |
| Studies | Kupperman et al. [42] | Gammon et al. [43] | Randhawa [44] | Present |
|---|---|---|---|---|
| Sound velocity (m/s) | 3950 | 3892–4040 | 3980 | 3790–3960 |
| Temperature T (°C) | Density ρ (kg·m3) | Poisson’s Factor μ | Young’s Module E (GPa) | Shear Module G (GPa) | Volume Module K (GPa) |
|---|---|---|---|---|---|
| −24.5 | 890 | 0.360 | 8.0375 | 2.954 | 9.581 |
| −17.2 | 890 | 0.358 | 7.982 | 2.939 | 9.363 |
| −8.8 | 890 | 0.356 | 7.889 | 2.908 | 9.143 |
| −0.8 | 890 | 0.355 | 7.792 | 2.876 | 8.935 |
| Temperature T (°C) | Longitudinal Wave Velocity of the Test Vl (m/s) | Two-Dimensional Simulated Longitudinal Wave Velocity Vln2 (m/s) | Errors of 2D Simulation Results (%) | Three-Dimensional Simulated Longitudinal Wave Velocity Vln3 (m/s) | Deviation of 3D Simulation Results (%) | Two-Dimensional Shear Wave Velocity of the Test Vs (m/s) | Two-Dimensional Simulated Shear Wave Velocity Vsn3 (m/s) | Deviation of 2D Simulation Results (%) | Three-Dimensional Simulated Shear Wave Velocity Vsn3 (m/s) | Errors of 2D Simulation Results (%) |
|---|---|---|---|---|---|---|---|---|---|---|
| −34.4 | 3954.80 | 3791.98 | 4.12 | 3736.21 | 5.53 | 1825.77 | 1928.37 | 5.62 | 1902.83 | 4.22 |
| −32.4 | 3937.01 | 3787.88 | 3.79 | 3733.69 | 5.16 | 1830.54 | 1927.31 | 5.29 | 1901.53 | 3.88 |
| −31.8 | 3937.01 | 3787.88 | 3.79 | 3730.15 | 5.25 | 1830.54 | 1927.31 | 5.29 | 1896.71 | 3.61 |
| −30.5 | 3923.77 | 3783.78 | 3.57 | 3728.05 | 4.98 | 1829.59 | 1925.72 | 5.25 | 1893.21 | 3.48 |
| −29.7 | 3919.37 | 3798.16 | 3.09 | 3725.75 | 4.94 | 1827.68 | 1924.13 | 5.28 | 1889.56 | 3.39 |
| −28.6 | 3914.99 | 3794.04 | 3.09 | 3721.98 | 4.93 | 1827.68 | 1923.08 | 5.22 | 1885.24 | 3.15 |
| −27.7 | 3910.61 | 3789.93 | 3.09 | 3718.66 | 4.91 | 1826.72 | 1922.55 | 5.25 | 1881.36 | 2.99 |
| −26.9 | 3906.25 | 3783.78 | 3.14 | 3715.92 | 4.87 | 1825.77 | 1920.97 | 5.21 | 1878.64 | 2.90 |
| −26.1 | 3906.25 | 3775.62 | 3.34 | 3713.45 | 4.94 | 1823.87 | 1919.91 | 5.27 | 1875.64 | 2.84 |
| −25.4 | 3897.55 | 3769.52 | 3.28 | 3712.08 | 4.76 | 1823.87 | 1919.39 | 5.24 | 1872.22 | 2.65 |
| −24.5 | 3897.55 | 3761.40 | 3.50 | 3711.56 | 4.77 | 1821.97 | 1918.90 | 5.30 | 1869.66 | 2.62 |
| −23.7 | 3893.21 | 3757.38 | 3.49 | 3706.31 | 4.80 | 1821.97 | 1917.81 | 5.26 | 1867.54 | 2.50 |
| −22.9 | 3893.21 | 3755.36 | 3.54 | 3703.33 | 4.88 | 1821.02 | 1916.76 | 5.26 | 1864.26 | 2.37 |
| −22 | 3884.57 | 3751.34 | 3.43 | 3695.85 | 4.86 | 1820.07 | 1915.71 | 5.25 | 1862.74 | 2.34 |
| −21.3 | 3884.57 | 3751.34 | 3.43 | 3691.33 | 4.97 | 1820.07 | 1915.71 | 5.25 | 1859.69 | 2.18 |
| −20.5 | 3875.97 | 3749.33 | 3.27 | 3685.46 | 4.92 | 1819.13 | 1914.66 | 5.25 | 1856.24 | 2.04 |
| −19.8 | 3871.68 | 3747.32 | 3.21 | 3679.51 | 4.96 | 1819.13 | 1914.14 | 5.22 | 1853.96 | 1.91 |
| −18.7 | 3871.68 | 3747.32 | 3.21 | 3671.69 | 5.17 | 1818.18 | 1914.14 | 5.28 | 1849.54 | 1.72 |
| −18 | 3863.13 | 3745.32 | 3.05 | 3667.52 | 5.06 | 1818.18 | 1913.09 | 5.22 | 1846.33 | 1.55 |
| −17.2 | 3863.13 | 3743.32 | 4.00 | 3661.09 | 5.23 | 1817.24 | 1912.05 | 4.94 | 1843.08 | 1.42 |
| −16.3 | 3854.63 | 3739.32 | 2.99 | 3657.74 | 5.11 | 1816.29 | 1910.48 | 5.19 | 1839.85 | 1.30 |
| −15.6 | 3858.88 | 3735.33 | 3.20 | 3652.86 | 5.34 | 1815.35 | 1909.44 | 5.18 | 1836.34 | 1.16 |
| −14.8 | 3854.63 | 3733.33 | 3.15 | 3648.69 | 5.34 | 1813.47 | 1907.88 | 5.21 | 1833.85 | 1.12 |
| −13.9 | 3846.15 | 3729.36 | 3.04 | 3645.21 | 5.22 | 1810.66 | 1906.84 | 5.31 | 1831.02 | 1.12 |
| −13.1 | 3846.15 | 3725.39 | 3.14 | 3640.98 | 5.33 | 1811.59 | 1905.80 | 5.20 | 1826.98 | 0.85 |
| −12.4 | 3841.93 | 3723.40 | 3.09 | 3636.54 | 5.35 | 1810.66 | 1904.24 | 5.17 | 1823.87 | 0.73 |
| −11.6 | 3837.72 | 3719.45 | 3.08 | 3632.23 | 5.35 | 1809.72 | 1903.73 | 5.19 | 1820.33 | 0.59 |
| −10.6 | 3829.32 | 3713.53 | 3.02 | 3628.96 | 5.23 | 1809.72 | 1902.69 | 5.14 | 1817.52 | 0.43 |
| −9.9 | 3825.14 | 3709.59 | 3.02 | 3625.43 | 5.22 | 1808.79 | 1902.17 | 5.16 | 1815.65 | 0.38 |
| −8.8 | 3825.14 | 3703.70 | 3.17 | 3623.19 | 5.28 | 1807.85 | 1901.66 | 5.10 | 1813 | 0.28 |
| −8 | 3820.96 | 3701.75 | 3.12 | 3618.65 | 5.29 | 1806.92 | 1900.11 | 5.16 | 1809.89 | 0.16 |
| −7.3 | 3816.79 | 3697.83 | 3.12 | 3612.12 | 5.36 | 1805.99 | 1898.56 | 5.13 | 1807.35 | 0.08 |
| −6.6 | 3808.49 | 3693.93 | 3.01 | 3608.94 | 5.24 | 1805.05 | 1897.02 | 5.10 | 1804.22 | 0.05 |
| −5.6 | 3808.49 | 3693.93 | 3.01 | 3602.54 | 5.41 | 1804.12 | 1895.99 | 5.09 | 1801.36 | 0.15 |
| −4.7 | 3804.35 | 3690.04 | 3.00 | 3596.43 | 5.47 | 1803.19 | 1894.45 | 5.06 | 1797.95 | 0.29 |
| −3.8 | 3800.22 | 3688.09 | 2.95 | 3591.23 | 5.50 | 1802.27 | 1893.43 | 5.06 | 1793.43 | 0.49 |
| −2.8 | 3796.10 | 3684.21 | 2.95 | 3586.54 | 5.52 | 1801.34 | 1891.89 | 5.03 | 1789.53 | 0.66 |
| −1.7 | 3787.88 | 3684.21 | 2.74 | 3581.93 | 5.44 | 1799.49 | 1890.36 | 5.05 | 1784.63 | 0.83 |
| −0.8 | 3787.88 | 3682.27 | 2.70 | 3576.9 | 5.57 | 1797.64 | 1887.81 | 5.02 | 1782.08 | 0.87 |
Disclaimer/Publisher’s Note: The statements, opinions and data contained in all publications are solely those of the individual author(s) and contributor(s) and not of MDPI and/or the editor(s). MDPI and/or the editor(s) disclaim responsibility for any injury to people or property resulting from any ideas, methods, instructions or products referred to in the content. |
© 2023 by the authors. Licensee MDPI, Basel, Switzerland. This article is an open access article distributed under the terms and conditions of the Creative Commons Attribution (CC BY) license (https://creativecommons.org/licenses/by/4.0/).
Share and Cite
Han, H.; Wei, L.; Alkayem, N.F.; Cao, M. Embedded Ultrasonic Inspection on the Mechanical Properties of Cold Region Ice under Varying Temperatures. Sensors 2023, 23, 6045. https://doi.org/10.3390/s23136045
Han H, Wei L, Alkayem NF, Cao M. Embedded Ultrasonic Inspection on the Mechanical Properties of Cold Region Ice under Varying Temperatures. Sensors. 2023; 23(13):6045. https://doi.org/10.3390/s23136045
Chicago/Turabian StyleHan, Huimin, Li Wei, Nizar Faisal Alkayem, and Maosen Cao. 2023. "Embedded Ultrasonic Inspection on the Mechanical Properties of Cold Region Ice under Varying Temperatures" Sensors 23, no. 13: 6045. https://doi.org/10.3390/s23136045
APA StyleHan, H., Wei, L., Alkayem, N. F., & Cao, M. (2023). Embedded Ultrasonic Inspection on the Mechanical Properties of Cold Region Ice under Varying Temperatures. Sensors, 23(13), 6045. https://doi.org/10.3390/s23136045

