1. Introduction
In modern wireless communication systems, digital signal processing (DSP) is essential to ensure high speed and reliable communication [
1,
2]. In practice, an inevitable quantization error occurs in analog-to-digital converters (ADCs), which may cause a mismatch between theory and implementation, because most digital communication theories were derived assuming the use of infinite-resolution ADCs. As a result, traditional communication standards, such as long-term evolution, recommended using high-resolution ADCs in receivers.
To satisfy the consistently increasing demand for data rates, recent standards for wireless communication are focusing on utilizing large amounts of unused bandwidth in the millimeter-wave (mmWave) and terahertz frequency bands [
3,
4,
5,
6,
7,
8,
9,
10,
11,
12,
13]. In general, they try to accommodate the fast-growing demand for higher data rates by leveraging the significantly wider bandwidth available in higher-frequency bands, such as the mmWave band. However, the use of such wider bandwidths can lead to the dissipation of a substantial amount of power when employing conventional high-resolution ADCs. This is because the power consumption of ADCs increases linearly with higher sampling rates [
14]. Power consumption is a critical issue for mobile devices, as it directly affects the battery lifetime and available power resources for uplink communications.
Receiver structures based on low-resolution ADCs have garnered significant attention as a useful solution for exploiting the abundant resources available in extremely high-frequency bands while achieving low power consumption [
15]. In particular, the utilization of one-bit ADCs as the receivers has been widely studied as an extreme case due to its high power efficiency. Extensive research has been dedicated to evaluating the performance of communication channels with one-bit ADCs [
15,
16,
17,
18,
19,
20,
21,
22,
23,
24,
25,
26,
27,
28,
29,
30].
The Shannon theoretic capacity of a single-input and single-output (SISO) real-valued additive white Gaussian noise (AWGN) channel with one-bit ADCs was derived in [
16]. Building upon this, the capacity of complex fading channels with multiple transmit and receive antennas was considered in [
17]. For instance, assuming perfect channel state information at the transmitter, the capacity of a multiple-input and single-output (MISO) complex fading channel was derived for the given channel components. Furthermore, various upper and lower bounds have been presented for multiple-input and multiple-output (MIMO) complex channels. Additionally, numerous important studies have derived the capacities of different wireless channels with one-bit ADCs [
18,
19,
20,
21]. In [
18], the trade-off between achievable rates and energy rates was considered when employing one-bit ADC receivers. The performance of a one-bit quantized channel with limited channel state information at the transmitter (CSIT) was investigated in [
19]. Moreover, the use of one-bit digital-to-analog converters (DACs) in transmitters was explored in [
20]. The study in [
20] also proposed a channel training method to improve the poor performance of direct channel feedback with one-bit ADCs. The secrecy capacity of a Gaussian wiretap channel with one-bit ADCs was analyzed in [
21]. Furthermore, the detection performance of fading channels with one-bit ADCs was studied in [
22,
23,
24]. There have also been several studies in the case of massive MIMO [
25]. In [
25], a one-bit ADC was used for an uplink massive MIMO system, and the corresponding throughput was analyzed. The paper [
26] investigated a decode-and-forward relay protocol using one-bit ADCs. In [
27], authors analyzed the performance of angle of arrival (AoA) estimation while considering the use of one-bit ADCs and DACs at the transmitter and receiver, respectively. In addition, the performance of AoA estimation using a massive uniform linear array was analyzed in [
28].
In addition to the studies on the performance of point-to-point channels with one-bit ADCs, several studies have recently focused on the capacity of multiple access channels (MACs) with one-bit ADCs. For example, researchers [
31,
32,
33] have studied one-bit ADC-based Gaussian MAC, particularly those in which two transmitters communicate with a single receiver. In [
31], a MAC with AWGN was considered and the capacity region was derived. The authors also proved that the boundary points of the capacity region can be achieved by discrete input distributions, so it suffices to consider only discrete random variables as inputs to the MAC with AWGN. In [
32], a two-transmitter MAC was considered in Rayleigh fading environments with AWGN. Here, the authors proposed a signaling scheme and the corresponding input distribution (circularly symmetric with bounded amplitude) and proved that their scheme can achieve the capacity region under the premise of perfect channel state information at the receiver (CSIR). In [
33], the capacity region of MAC in the presence of Gaussian-mixture co-channel interference was analyzed. These studies contribute to the understanding of the capacity limits and achievable performance of MACs with one-bit ADCs, considering different channel conditions and interference scenarios.
If the receiver uses infinite-resolution ADCs (IR-ADCs), DSP techniques such as successive interference cancellation (SIC) can effectively eliminate non-orthogonal interference. As a result, the channel capacity of a two-transmitter MAC can be twice as high as that of a SISO channel when the transmit power is sufficient [
2]. However, with one-bit ADCs, the capacity has the same upper bound as the SISO capacity [
31,
32,
33], although we have a sufficient transmit power. This is because non-orthogonal inter-signal interference (ISI) between different transmitters cannot be adequately removed using DSP techniques such as SIC due to the nonlinear distortion introduced by one-bit ADCs. Consequently, the performance of DSP-based techniques, such as SIC, is compromised in the presence of one-bit ADCs.
To address the capacity limitation in a MAC with one-bit ADCs, an alternative interference cancellation technique based on threshold adaptation is proposed in this study. This novel technique aims to eliminate non-orthogonal ISI between different transmitters in a two-transmitter MAC with one-bit ADCs. By effectively mitigating the non-orthogonal ISI, the proposed scheme has the potential to achieve a capacity that is twice as high as conventional approaches, particularly in a high signal-to-noise ratio (SNR) regime. By incorporating successive detection after the proposed interference cancellation process, the capacity scaling is achieved, leading to significantly improved performance. This study also provides analytical derivations for the achievable rate region of the proposed scheme, offering a theoretical understanding of its performance. Simulation results are also presented, confirming that the proposed scheme achieves significantly higher sum rates compared to conventional schemes. This performance improvement is attributed to the benefits gained from the proposed interference cancellation technique. The main contributions of this study can be summarized as follows:
A SIC scheme operating in the analog domain is proposed for a two-transmitter MAC with AWGN. Achieving substantial gain using SIC in the digital domain is nearly impossible when using one-bit ADCs due to nonlinear distortion caused by one-bit quantization. The proposed scheme addresses this issue by incorporating analog domain threshold adaptation. The achievable rate of the proposed scheme is theoretically analyzed, demonstrating its significant performance superiority over conventional methods.
The maximum achievable rate of the proposed scheme can be up to twice as high as the capacity of a SISO channel in the high SNR regime, even when the total transmit powers are equal for both systems. This observation differs from the scenario where SIC is performed with IR-ADCs, where the capacity of a two-transmitter MAC is equivalent to that of a SISO channel if the total transmit powers for both systems are equal. This implies that the impact of using SIC is much more significant in systems with one-bit ADCs compared to systems with IR-ADCs.
When the total transmit power is constrained, the achievable rate of the proposed scheme depends on the ratio between the received signal powers from different transmitters. Furthermore, in wireless fading channels, the realizations of fading channel gains significantly impact the received signal power ratio. Consequently, the instantaneous sum rate is greatly influenced by the power allocation between the two transmitters. Therefore, this study also introduces a power allocation algorithm tailored to the specific channel conditions. The algorithm effectively maximizes the achievable rate of the proposed system in wireless fading channels.
The remainder of this paper is organized as follows.
Section 2 describes the system model and preliminaries,
Section 3 presents the proposed SIC with successive detection, and
Section 4 considers an extension to wireless fading channels.
Section 5 introduces a lookup table-based optimal power allocation strategy that is well-suited for the proposed method. It also presents simulation results to validate the effectiveness of the proposed approach. Finally,
Section 6 concludes the paper and summarizes the key findings.
3. Proposed Scheme: Method and Analysis
3.1. Proposed Interference Cancellation and Detection
In this study, we propose a successive interference cancellation and detection structure based on a novel interference cancellation scheme designed by adapting the threshold of one-bit ADC. Based on the previous results in [
16,
17],
and
are obtained following binary phase shift keying (BPSK) signaling. At the first stage of the proposed scheme, the receiver detects one transmitter (it can be either
or
) signal regarding the other transmitter signal as an interference; the threshold value of the corresponding ADC is zero (
Figure 1). At the second stage, the previously detected signal is used as a threshold value for the additional one-bit ADC.
Without loss of generality,
can be detected first, followed by
at the second stage, as depicted in
Figure 1. The achievable rate of transmitter 1 and 2 can be obtained as follows.
Lemma 1. Suppose that and are obtained by BPSK signaling and the one-bit ADC at the first stage uses a zero threshold. The error-free achievable rate of transmitter 1, which is denoted as , is given bywhere and denote binary entropy and Gaussian Q-function, respectively, and is the average transmit power of for . Moreover, in the derivation, and in (5) correspond to the received SNRs of the signals from transmitters 1 and 2, respectively. Lemma 2. For a given value of , the error-free achievable rate of transmitter 2 is , when the threshold value is set as at the second stage.
Proof. Based on the hypothesis of the lemma, let
. Since
is detected at the second stage, the achievable rate at the second stage can be determined by calculating the mutual information between
and
. By the definition of
in (
2),
is given by
Thus, if we define
as follows, the mutual information between
and
is equal to the mutual information between
and
:
In other words, if we define
as the one-bit quantized value of
obtained using a zero threshold for quantization, then the mutual information between
and
is equal to the mutual information between
and
. The mutual information between the input signal and the one-bit quantized output with a zero threshold was derived in Theorem 2 by [
16]. It can be expressed as
, where
represents the binary entropy function and
denotes the quantization function. □
From these lemmas, the achievable sum rate of the proposed scheme can be represented by a function of two variables
and
as follows:
In the following subsections, power allocation problems are considered when we have some transmit power constraints.
3.2. Individual Power Constraints
For simplicity, we call the two transmitters and , and denote their respective transmit signals as and . In this subsection, we consider the case when the two transmitters have individual power constraints and , where and are independent deterministic constants. We must identify the case that achieves a higher achievable rate between the two cases and ; the former is the case where the signal of transmitter is first detected, and the latter is the case where the signal of transmitter is first detected (we assumed in the previous section that the signal denoted as is detected first). Considering that upper bounds and are independent, we can assume that without loss of generality.
Let
and
be the maximum sum rates corresponding to the cases
and
, respectively. For any given
,
in (
5) is an increasing function of
. Thus, we have
and the maximum sum rate with individual power constraints is given as
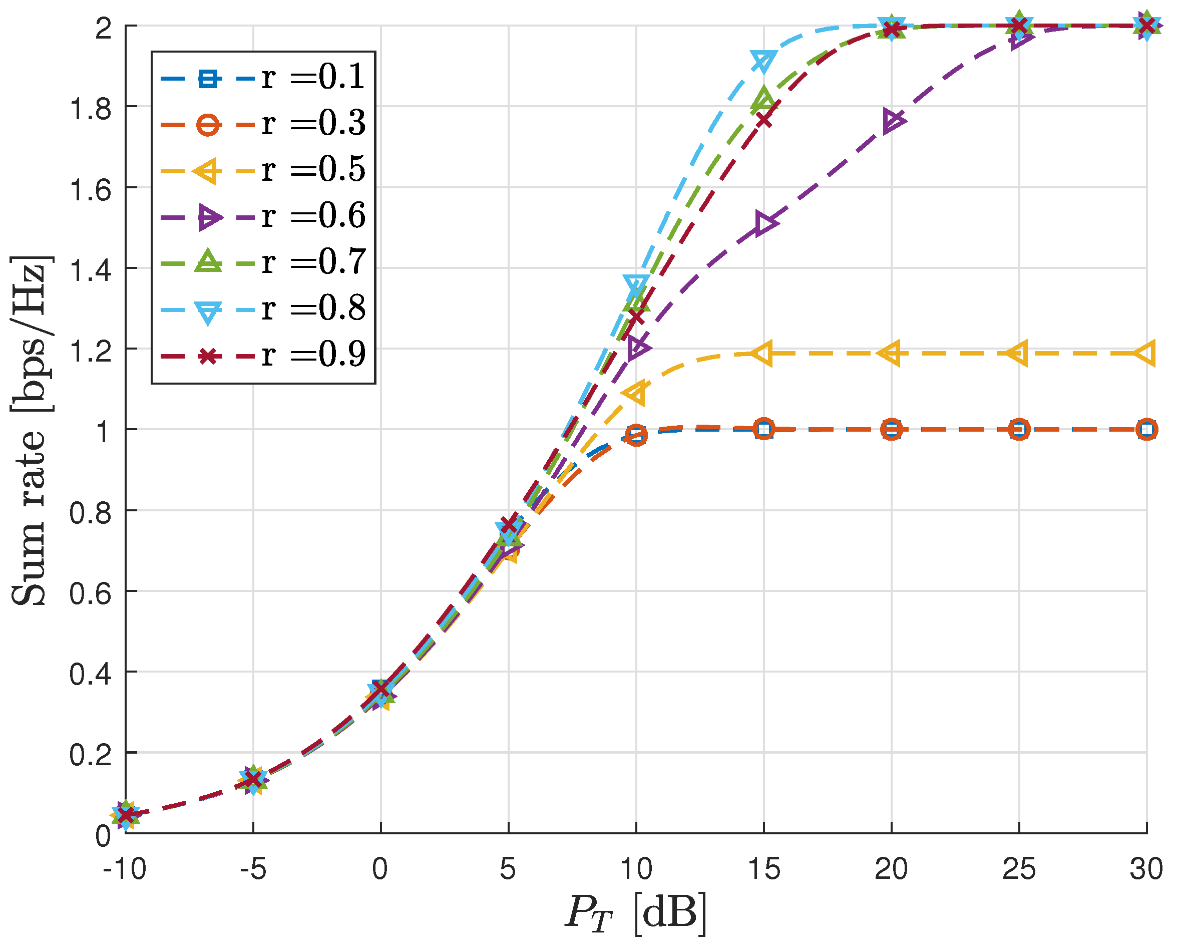
Remark 1. The Gaussian Q-function can be closely approximated by a linear function as near , such that if x and y are sufficiently small, we may use the approximation , where the approximation error converges to zero as x and y approaches 0. Therefore, in a low SNR regime, we may approximate as , such that and are achieved at and and have the same approximated values. Thus, .
Remark 2. In (5), if , then . Given that is a fast-decreasing function, the rate is rapidly saturated to an upper bound that is smaller than when and increase. Hence, if and are moderately large, then detecting the signal with a higher transmit power is more advantageous, such that can be increased up to 2 with increasing and . Thus, Remark 1 implies that, in a low SNR regime, the detection order in the proposed scheme is not significant. In addition, Remark 2 suggests that in moderate and high SNR regimes, it is more advantageous to detect the transmit signal with higher transmit power at the first stage. That is, is generally preferred when .
Therefore, can be approximated as . Finally, an optimal value of must be determined. However, has multiple critical points with respect to , making it difficult to mathematically determine the optimal value. Instead, we can numerically determine optimal through offline simulation in the AWGN channel. The corresponding results can be utilized as a lookup table to determine optimal values for wireless fading channels, as described in the following sections.
3.3. Total Power Constraint
In this subsection, we consider the case when the sum power is upper-bounded by a constant, such as
. The maximization problem is defined as
The domain of interest for the maximization is given by the colored region (the union of light and dark gray regions) in
Figure 2, whose boundary is described by
,
, and
. In the previous subsection, we explained that the first detection of the transmit signal with higher transmit power is more advantageous. Hence, we can claim that the optimal transmit powers
and
will exist in the region
(light gray-colored region in
Figure 2) with a high probability. If
(within the dark gray-colored region), then the sum rate is less than the optimal rate (the rate is saturated to the upper bound of
, as discussed in Remark 2). For any given
,
is an increasing function of
. Thus, the optimal value will exist in the rightmost boundary of the light-gray region and the optimization problem can be modified as
where the region for maximization corresponds to the arrow depicted in
Figure 2.
In practice, an optimal value of (for a given value of , is also deterministic as at the optimal point) can be numerically obtained through offline simulation in the AWGN channel as a function of . The corresponding result can be used as a lookup table to determine an optimal power allocation in realistic fading channels, as is demonstrated in the following section. This type of approach is similar to the usage of SNR versus block error rate lookup table (evaluated in the AWGN channel) to determine an appropriate modulation and coding set in long-term evolution standards.
4. Extension to Complex Fading Channels
In practice, a baseband digital communication channel is generally given by a complex fading channel. One of the most popular examples is the Rayleigh fading channel which is widely used to model wireless communication channels. In a narrow-band fading environment, two-transmitter and single-receiver AWGN MAC with fading can be expressed as
where
and
are random variables that model fading channels between transmitters and the receiver. In the Rayleigh fading environment,
and
are modeled as complex circularly symmetric Gaussian random variables, and
is complex white Gaussian noise that has zero mean and unit variance and is also circularly symmetric.
If the CSIs
and
are known at the transmitter, then transmitter can equalize the phase of the corresponding channel by transmitting
, where
denotes the phase of
, for
. Considering
and
are complex baseband signals, we can directly extend the proposed scheme to the rotated quadrature phase shift keying (QPSK) signaling for each
(assuming individually imposing BPSK signals for real and imaginary parts) [
17]. With QPSK signaling and phase equalization at the transmitter, the received signal can be rewritten as
Here, we investigate the real and imaginary parts separately, which can be presented as follows:
where
and
represent the real and imaginary parts of a complex number, respectively. Thus, we have two equivalent real-valued channels from the complex baseband channel. Given that a QPSK signal has the same signal powers at real and imaginary parts,
and
. In addition, the real and imaginary parts of
have half-variance of
. Therefore, the real and imaginary channels in (
16) can be represented as
where
,
, and
. Then, we can individually apply Lemmas 1 and 2 for real (
) and imaginary (
) channels, respectively, to obtained the instantaneous sum rate of the proposed scheme. That is, the instantaneous sum rate of the proposed scheme with QPSK signaling for
and
is given by
The transmit power multiplied by channel gain
can be regarded as an effective SNR. If we have a total power constraint, then the optimization problem is derived from (
12) and (
18) as:
6. Conclusions
In this study, we propose a novel analog-domain interference cancellation scheme for a two-transmitter MAC with one-bit ADCs. Unlike the conventional MAC structure, our proposed scheme enables the implementation of a non-orthogonal multiple access structure that is compatible with one-bit ADCs through the use of an appropriate threshold adaptation-based interference cancellation method. With our proposed scheme, the corresponding two-transmitter MAC structure achieves a twofold higher spectral efficiency, even when the total transmit power is fixed. This increase is significant because it was previously unattainable using digital-domain signal processing due to the detrimental nonlinear distortion introduced by one-bit ADCs, which severely affects interference cancellation. However, our proposed scheme overcomes this limitation by applying a novel threshold adaptation technique in the analog domain.
In our study, we initially demonstrated that the capacity of a one-bit-quantized channel with fixed interference can be made equivalent to the capacity of a one-bit-quantized channel without interference by appropriately setting the threshold value equal to the interference level. This result allowed us to perform successive detection of the two transmitter’s signals in a sequential manner. While the first detected signal may experience some interference from the other signal, the second detection can be performed without interference, assuming that the first detection is accurate. This sequential detection approach led us to conclude that the accuracy of the first stage detection is more crucial than the second detection. We took this insight into account when deriving an optimal power allocation strategy while satisfying the total power constraint. The main advantage of our proposed scheme stems from its ability to effectively mitigate non-orthogonal interference between the two transmit signals. By exploiting the successive interference cancellation capability, our scheme enables improved signal detection and communication performance. Additionally, our study revealed that the achievable rate of the proposed scheme is highly dependent on the power ratio between the two transmitters, especially in wireless fading environments. To tackle this challenge, we derived an appropriate power allocation strategy aimed at maximizing the achievable sum rate. The proposed power allocation algorithm is based on a lookup table approach, which is constructed through offline simulations in AWGN channels. The algorithm determines an optimal power allocation for given realizations of channel gains, leading to a significant increase in the sum rate of the proposed system. This approach allows us to adapt the power allocation dynamically based on the specific channel conditions, thereby maximizing the overall system performance.
Through a combination of simulations and analysis, our study demonstrated that the proposed scheme, along with its accompanying power allocation strategy, leads to a substantial enhancement in the total spectral efficiency compared to conventional schemes. This improvement offers a promising approach to enhance the performance of a two-transmitter Gaussian MAC system utilizing one-bit ADCs. Furthermore, the results obtained in this study can serve as a foundation for extending the proposed scheme to scenarios involving multiple transmitters beyond just two. In the case of multiple transmitters, it is expected that the achievable sum rate will increase linearly with the number of transmitters. However, this would require the utilization of additional RF chains to facilitate the proposed threshold adaptation process. By employing more RF chains, the system can effectively manage the interference and achieve higher overall spectral efficiency. It is important to note that the scalability of the proposed scheme to multiple transmitters introduces additional complexity in terms of hardware requirements and implementation considerations. However, the potential benefits in terms of increased sum rate make it a worthwhile avenue for further exploration and research.