A Developed Jerk Sensor for Seismic Vibration Measurements: Modeling, Simulation and Experimental Verification
Abstract
1. Introduction
2. Materials and Methods
2.1. Sensor Structure
2.2. Sensor Analytical Model
2.3. Sensor Design
2.4. Sensor FE Modeling and Simulation Work
2.4.1. Material Properties
2.4.2. Geometrical Model
2.4.3. Boundary Conditions
2.4.4. Simulation Details
2.4.5. Post-Processing of Data
2.5. Experimental Work
2.5.1. Sensor Fabrication
2.5.2. Sensor Setup
2.5.3. Experimental Work Details
3. Results
3.1. FE Results
3.1.1. Modal Analysis
3.1.2. Harmonic Analysis of the L-35 Cantilever
3.1.3. Theoretical Sensitivity of the L-35 Jerk Sensor
3.1.4. Theoretical Calibration Curve of the L-35 Jerk Sensor
3.2. Experimental Verification
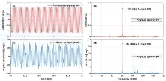
3.2.1. Experimental Harmonic Analysis
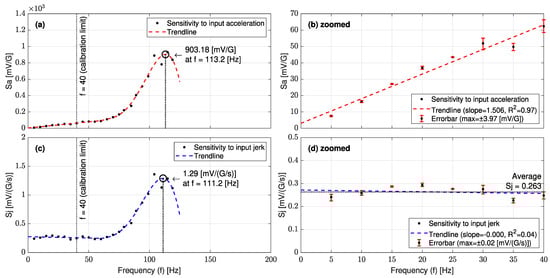
3.2.2. Experimental Sensitivity Curves
3.2.3. Experimental Calibration Curve
3.3. Performance Comparison of the L-35 Jerk Sensor
4. Summary and Conclusions
Author Contributions
Funding
Institutional Review Board Statement
Informed Consent Statement
Data Availability Statement
Acknowledgments
Conflicts of Interest
References
- Douglas, J. Earthquake Ground Motion Estimation using Strong-motion Records: A Review of Equations for the Estimation of Peak Ground Acceleration and Response Spectral Ordinates. Earth-Sci. Rev. 2003, 61, 43–104. [Google Scholar] [CrossRef]
- Wald, D.J.; Quitoriano, V.; Heaton, T.H.; Kanamori, H. Relationships between Peak Ground Acceleration, Peak Ground Velocity, and Modified Mercalli Intensity in California. Earthq. Spectra 1999, 15, 557–564. [Google Scholar] [CrossRef]
- Hayati, H.; Eager, D.; Pendrill, A.-M.; Alberg, H. Jerk within the Context of Science and Engineering—A Systematic Review. Vibration 2020, 3, 371–409. [Google Scholar] [CrossRef]
- Havskov, J.; Alguacil, G. Instrumentation in Earthquake Seismology, 2nd ed.; Springer: Dordrecht, The Netherlands, 2010; pp. 1–5. [Google Scholar]
- Wielandt, E. Seismometry. In International Handbook of Earthquake and Engineering Seismology; Lee, W.H.K., Kanamori, H., Jennings, P.C., Kisslinger, C., Eds.; Academic Press: San Diego, CA, USA, 2002; Volume 81, pp. 283–304. [Google Scholar]
- David, E. Accelerometers Used in the Measurement of Jerk, Snap, and Crackle. In Proceedings of the ACOUSTICS 2018, Adelaide, Australia, 6–9 November 2018. [Google Scholar]
- He, H.; Li, R.; Chen, K. Characteristics of Jerk Response Spectra for Elastic and Inelastic Systems. J. Shock Vib. 2015, 2015, 782748. [Google Scholar] [CrossRef]
- Schiefer, F.; Ostermeyer, G.-P. A Contribution to Jerk Detection. In PAMM: Proceedings in Applied Mathematics and Mechanics; Wiley-VCH: Berlin, Germany, 2009; Volume 9, pp. 125–126. [Google Scholar] [CrossRef]
- David, E.; Ann-Marie, P.; Nina, R. Beyond Velocity and Acceleration: Jerk, Snap and Higher Derivatives. Eur. J. Phys. 2016, 37, 11. [Google Scholar] [CrossRef]
- Knežević, B.; Blanuša, B.; Marčetić, D. Model of Elevator Drive with Jerk Control. In Proceedings of the XXIII International Symposium on Information, Communication and Automation Technologies, Sarajevo, Bosnia and Herzegovina, 27–29 October 2011; pp. 1–5. [Google Scholar]
- Ismail, K.; Susanto, B.; Sholahuddin, U.; Sabar, M. Design of Motor Control Electric Push-Scooter using Accelerometer as Jerk Sensor. In Proceedings of the International Conference on Sustainable Energy Engineering and Application, Tangerang, Indonesia, 23–24 October 2019; pp. 69–73. [Google Scholar] [CrossRef]
- Fiori, S. Gyroscopic Signal Smoothness Assessment by Geometric Jolt Estimation. Math. Methods Appl. Sci. 2017, 40, 5893–5905. [Google Scholar] [CrossRef]
- Hamäläinen, W.; Järvinen, M.; Martiskainen, P.; Mononen, J. Jerk-based Feature Extraction for Robust Activity Recognition from Acceleration Data. In Proceedings of the 11th International Conference on Intelligent Systems Design and Applications, Cordoba, Spain, 22–24 November 2011; pp. 831–836. [Google Scholar] [CrossRef]
- Zhang, Z.; Verma, A.; Kusiak, A. Fault Analysis and Condition Monitoring of the Wind Turbine Gearbox. In IEEE Trans. Energy Convers. 2012, 27, 526–535. [Google Scholar] [CrossRef]
- Fu, X.; Jiang, C. Asynchronous Fusion Algorithm of Highly Maneuvering Targets. In Proceedings of the 2nd International Symposium on Systems and Control in Aerospace and Astronautics, Shenzhen, China, 10–12 December 2008; pp. 1–5. [Google Scholar] [CrossRef]
- Marji; Harly, M. Design of Low Jerk Automatics Transmission for Vehicle Using Fuzzy Control to Improve Gear Shifting Quality and Low Fuel Consumption. J. Phys. Conf. Ser. 2020, 1700, 012040. [Google Scholar] [CrossRef]
- Nurwulan, N.R.; Selamaj, G. Performance Evaluation of Acceleration and Jerk in Unstable Walking Detection. J. Phys. Conf. Ser. 2021, 1833, 012017. [Google Scholar] [CrossRef]
- Vukobratović, V.; Sergio, R. Jerk in Earthquake Engineering: State-of-the-Art. Buildings 2022, 12, 1123. [Google Scholar] [CrossRef]
- An, Y.; Jo, H.; Spencer, B.; Ou, J. A damage localization method based on the “Jerk Energy”. Smart Mater. Struct. 2014, 23, 025020. [Google Scholar] [CrossRef]
- Rangel-Magdaleno, J.J.; Romero-Troncoso, R.J.; Osornio-Rios, R.A.; Cabal-Yepez, E. Novel Oversampling Technique for Improving Signal-to-Quantization Noise Ratio on Accelerometer-Based Smart Jerk Sensors in CNC Applications. Sensors 2009, 9, 3767–3789. [Google Scholar] [CrossRef] [PubMed]
- Xueshan, Y.; Xiaozhai, Q.; Lee, G.C.; Tong, M.; Jinming, C. Jerk and jerk sensor. In Proceedings of the 14th World Conference on Earthquake Engineering, Beijing, China, 12–17 October 2008. [Google Scholar]
- Kubota, M.; Wakui, S. A Realization of Servo Type Jerk Sensor and its Application to Air Type Anti-vibration Apparatus. J. Jpn. Soc. Precis. Eng. 2017, 83, 348–354. [Google Scholar] [CrossRef]
- Manabe, T.; Wakui, S. Production and Application of Horizontal Jerk Sensor. In Proceedings of the International Conference on Advanced Mechatronic Systems, Zhengzhou, China, 30 August–2 September 2018; pp. 298–303. [Google Scholar] [CrossRef]
- Manabe, T.; Wakui, S. Improvement of Servo-type Jerk Sensor and its Performance Evaluation. J. Jpn. Soc. Precis. Eng. 2020, 86, 784–792. [Google Scholar] [CrossRef]
- Li, H.; Zhang, W.; Zhang, J.; Huang, W. Fiber Optic Jerk Sensor. Opt. Express 2022, 30, 5585–5595. [Google Scholar] [CrossRef] [PubMed]
- Tamura, M.; Yamamoto, S.; Sone, A.; Masuda, A. Detection of Discontinuities in Response of Building on Earthquake by Using the Jerk Sensor Combined with a Vibratory Gyroscope and a Cantilever. Trans. AIJ 1999, 64, 53–60. [Google Scholar] [CrossRef] [PubMed]
- Vukobratović, V. The Influence of Jerk on the Seismic Responses of Rigid Linear Elastic and Nonlinear SDOF Systems. In Proceedings of the 19th International Symposium of Macedonian Association of Structural Engineers 2022, Ohrid, Macedonia, 15–18 September 2021; pp. 558–566. [Google Scholar]
- Tong, M.; Wang, G.; Lee, G.C. Time Derivative of Earthquake Acceleration. Earthq. Eng. Eng. Vib. 2005, 4, 1–16. [Google Scholar] [CrossRef]
- William, F.H. Solid Mechanics; Cambridge University Press: New York, NY, USA, 2010. [Google Scholar]
- Kelly, S.G. Mechanical Vibrations: Theory and Applications (SI); Cengage Learning: Stamford, CT, USA, 2012. [Google Scholar]
- Rao, S.S. Mechanical Vibration, 6th ed.; Pearson Education, Inc.: Harlow, UK, 2018; pp. 309–317. [Google Scholar]
- Takemura, S.; Kobayashi, M.; Yoshimoto, K. Prediction of Maximum P- and S-wave Amplitude Distributions Incorporating Frequency- and Distance-dependent Characteristics of the Observed Apparent Radiation Patterns. J. Earth Planets Space 2016, 68, 166. [Google Scholar] [CrossRef]
- Kumagai, H.; Nakano, M.; Maeda, T.; Yepes, H.; Palacios, P.; Ruiz, M.; Arrais, S.; Vaca, M.; Molina, I.; Yamashima, T. Broadband Seismic Monitoring of Active Volcanoes Using Deterministic and Stochastic Approaches. J. Geophys. Res. 2010, 115, B08303. [Google Scholar] [CrossRef]
- Frankel, A.D. How Does the Ground Shake? Science 1999, 283, 2032–2033. [Google Scholar] [CrossRef]
- Askenazi, A.; Adams, V. Building Better Products with Finite Element Analysis, 1st ed.; OnWord Press: Culver City, CA, USA, 1998. [Google Scholar]
- Andreas, Ö.; Marco, Ö. The Finite Element Analysis Program MSC Marc/Mentat: A First Introduction, 1st ed.; Springer: Berlin/Heidelberg, Germany, 2016. [Google Scholar]



















| Model | Length (mm) | Width (mm) | Thickness (mm) | First Mode Natural Frequency (Hz) | |
|---|---|---|---|---|---|
| Equation (26) | FEA | ||||
| 1 | 30 | 15 | 0.5 | 166.55 | 162.21 |
| 2 | 1 | 419.01 | 425.81 | ||
| 3 | 1.5 | 700.13 | 724.35 | ||
| 4 | 20 | 0.5 | 184.37 | 183.61 | |
| 5 | 1 | 453.30 | 474.7 | ||
| 6 | 1.5 | 746.52 | 798.0 | ||
| 7 | 35 | 15 | 0.5 | 127.27 | 122.82 |
| 8 | 1 | 316.34 | 321.95 | ||
| 9 | 1.5 | 524.49 | 548.05 | ||
| 10 * (L-35) | 20 | 0.5 | 140.23 | 138.95 | |
| 11 | 1 | 340.35 | 358.44 | ||
| 12 | 1.5 | 556.22 | 602.68 | ||
| 13 | 40 | 15 | 0.5 | 100.90 | 96.932 |
| 14 | 1 | 248.06 | 253.52 | ||
| 15 | 1.5 | 408.52 | 431.38 | ||
| 16 | 20 | 0.5 | 110.69 | 109.56 | |
| 17 | 1 | 265.61 | 281.76 | ||
| 18 | 1.5 | 431.27 | 473.34 | ||
| Property | Value | Unit |
|---|---|---|
| Density | 7969 | (kg/m3) |
| Young’s Modulus | 195 | (GPa) |
| Poisson’s Ratio | 0.27 | |
| Bulk Modulus | 141.3 | (GPa) |
| Shear Modulus | 76.772 | (GPa) |
| Tensile Yield Strength | 252.1 | (MPa) |
| Tensile Ultimate Strength | 565.1 | (MPa) |
| Damping Ratio [35] | 0.02 | |
| Constant Structural Damping Coefficient [35] | 0.04 | (kg/m3) |
| Input Acceleration (G) | 1 (Hz) | 40 (Hz) | 139 (Hz) | |||
|---|---|---|---|---|---|---|
(mm) | (deg/s) | (mm) | (deg/s) | (mm) | (deg/s) | |
| 0.10 | 0.002 | 0.03 | 0.002 | 1.38 | 0.039 | 102.61 |
| 0.25 | 0.004 | 0.08 | 0.005 | 3.44 | 0.098 | 256.53 |
| 0.50 | 0.008 | 0.16 | 0.009 | 6.88 | 0.196 | 513.05 |
| 0.75 | 0.013 | 0.24 | 0.014 | 10.32 | 0.295 | 769.58 |
| 1.00 | 0.017 | 0.32 | 0.018 | 13.76 | 0.393 | 1026.11 |
| 1.25 | 0.021 | 0.39 | 0.023 | 17.21 | 0.491 | 1282.63 |
| 1.50 | 0.025 | 0.47 | 0.027 | 20.65 | 0.589 | 1539.6 |
| 1.75 | 0.029 | 0.55 | 0.032 | 24.09 | 0.687 | 1795.69 |
| 2.00 | 0.034 | 0.63 | 0.037 | 27.53 | 0.789 | 2052.21 |
| Property | L-35 | A * | B * | JW-1 ** |
|---|---|---|---|---|
| Dimensions (mm) | 35 × 5 × 0.5 | 145 × 30 × 5 | 20 × 30 × 1.2 | N/A |
| Material | Stainless steel 304 | Aluminum | Aluminum | N/A |
| Natural frequency (Hz) | 111 | 90 | 160 | N/A |
| Sensitivity ((deg/s)/(G/s)) | 0.053 | 0.01 | 0.004 | N/A |
| Gyroscope sensitivity (mV/(deg/s)) | 5 | 25 | 25 | N/A |
| Sensitivity (mV/(m/s3)) | 0.03 | 0.02 | 0.01 | 0.08 |
| Bandwidth | 0.1–40 | 0.1–60 | 0.1–60 | 0.3–100 |
| Measurable Range (m/s3) | 47,000 | 14,000 | 35,000 | 10,000 |
| Linearity (%) | ±1 | ±1 | ±1 | ±1 |
Disclaimer/Publisher’s Note: The statements, opinions and data contained in all publications are solely those of the individual author(s) and contributor(s) and not of MDPI and/or the editor(s). MDPI and/or the editor(s) disclaim responsibility for any injury to people or property resulting from any ideas, methods, instructions or products referred to in the content. |
© 2023 by the authors. Licensee MDPI, Basel, Switzerland. This article is an open access article distributed under the terms and conditions of the Creative Commons Attribution (CC BY) license (https://creativecommons.org/licenses/by/4.0/).
Share and Cite
Geriesh, M.M.; Fath El-Bab, A.M.R.; Khair-Eldeen, W.; Mohamadien, H.A.; Hassan, M.A. A Developed Jerk Sensor for Seismic Vibration Measurements: Modeling, Simulation and Experimental Verification. Sensors 2023, 23, 5730. https://doi.org/10.3390/s23125730
Geriesh MM, Fath El-Bab AMR, Khair-Eldeen W, Mohamadien HA, Hassan MA. A Developed Jerk Sensor for Seismic Vibration Measurements: Modeling, Simulation and Experimental Verification. Sensors. 2023; 23(12):5730. https://doi.org/10.3390/s23125730
Chicago/Turabian StyleGeriesh, Mostafa M., Ahmed M. R. Fath El-Bab, Wael Khair-Eldeen, Hassan A. Mohamadien, and Mohsen A. Hassan. 2023. "A Developed Jerk Sensor for Seismic Vibration Measurements: Modeling, Simulation and Experimental Verification" Sensors 23, no. 12: 5730. https://doi.org/10.3390/s23125730
APA StyleGeriesh, M. M., Fath El-Bab, A. M. R., Khair-Eldeen, W., Mohamadien, H. A., & Hassan, M. A. (2023). A Developed Jerk Sensor for Seismic Vibration Measurements: Modeling, Simulation and Experimental Verification. Sensors, 23(12), 5730. https://doi.org/10.3390/s23125730

