Backscattering Echo Intensity Characteristics of Laser in Soil Explosion Dust
Abstract
1. Introduction
2. Test Method
2.1. Test Platform and Theory
2.2. Soil Preparation
2.3. Test Plan
- (1)
- Influence of mass of explosive: Series A~C
- (2)
- Influence of DOB: Series D~F
- (3)
- Influence of soil moisture content: Series D, G~I
- (4)
- Influence of laser irradiation position: Series B & D
3. Results and Discussion
3.1. Crater
3.2. Temporal and Spatial Distribution of Soil Explosion Dust
- (1)
- Phase 1: explosion and early interaction with the soil;
- (2)
- Phase 2: gas expansion;
- (3)
- Phase 3: generation of smoke and soil ejecta;
- (4)
- Phase 4: diffusion and settling of soil explosion dust.
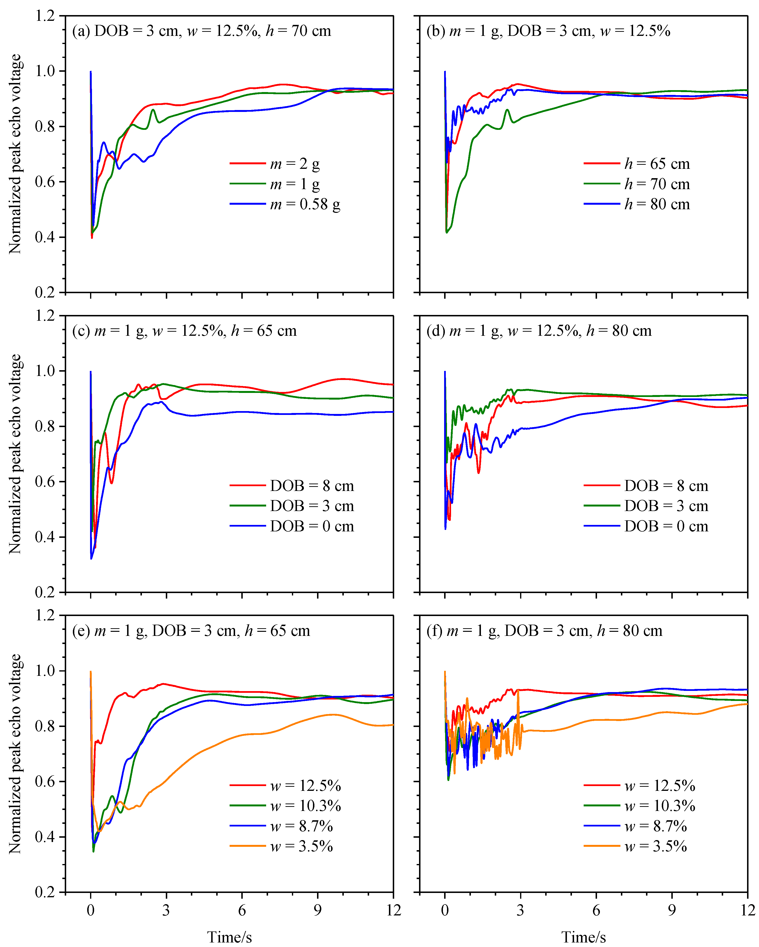
3.3. Laser Backscattering Echo Intensity Characteristics
3.4. Relationship between Echo Intensity and Image Gray Value
4. Conclusions
Author Contributions
Funding
Institutional Review Board Statement
Informed Consent Statement
Data Availability Statement
Conflicts of Interest
References
- Li, H.; Zhang, X. Laser echo characteristics and detection probability calculation on the space projectile proximity fuze. Optik 2019, 183, 713–722. [Google Scholar] [CrossRef]
- Xu, C.; Zha, B.; Bao, J.; Zhang, H.; Li, H. Analysis of temporal and spatial distribution characteristics of ammonium chloride smoke particles in confined spaces. Def. Technol. 2022, 18, 1269–1280. [Google Scholar] [CrossRef]
- Yan, S.; Yang, G.; Li, Q.; Wang, Y.; Wang, C. Research of distance-intensity imaging algorithm for pulsed LiDAR based on pulse width correction. Remote Sens. 2022, 14, 507. [Google Scholar] [CrossRef]
- Kum, M.; Gözde, H.; Özden, S. Modelling and analysis of laser beam rider guided tank ammunition with a diameter of 155 mm. Def. Sci. J. 2021, 71, 836–845. [Google Scholar] [CrossRef]
- Ahmed, S.A.; Mohsin, M.; Ali, S.M.Z. Survey and technological analysis of laser and its defense applications. Def. Technol. 2021, 17, 583–592. [Google Scholar] [CrossRef]
- Yao, Y.; Jin, S.; Huang, J.; Li, D.; Xu, B.; Lv, X.; Shu, Q. Fabrication of combustion pyrotechnics for laser and electromagnetic interference shielding. Def. Technol. 2022. [Google Scholar] [CrossRef]
- Gao, L.; Chen, H.; Wang, F.; Yang, S.; Lu, C.; Ma, C.; Qi, B.; Deng, J. Study on the graphite smoke echo characteristics of pulsed laser fuze. Proc. SPIE 2020, 11562, 253–261. [Google Scholar]
- Song, C.; Cui, Y.; Liu, B. FMCW laser fuze multiple scattering model and accurate fixed-distance algorithm in a smoke environment. Sensors 2020, 20, 2604. [Google Scholar] [CrossRef]
- Zhang, W.; Li, Y.; Huang, Z.; Ma, C. Fog backscattering interference suppression algorithm for FMCW laser fuze based on normalized frequency spectrum threshold. Optik 2017, 131, 188–193. [Google Scholar] [CrossRef]
- Guo, W.; Zeng, N.; Liao, R.; Xu, Q.; Guo, J.; He, Y.; Di, H.; Hua, D.; Ma, H. Simultaneous retrieval of aerosol size and composition by multi-angle polarization scattering measurements. Opt. Lasers Eng. 2022, 149, 106799. [Google Scholar] [CrossRef]
- Svanberg, S. Geophysical gas monitoring using optical techniques: Volcanoes, geothermal fields and mines. Opt. Lasers Eng. 2002, 37, 245–266. [Google Scholar] [CrossRef]
- Tang, X.; Bi, L.; Lin, W.; Liu, D.; Zhang, K.; Li, W. Backscattering ratios of soot-contaminated dusts at triple LiDAR wavelengths: T-matrix results. Opt. Express 2019, 27, A92–A116. [Google Scholar] [CrossRef] [PubMed]
- Yu, X.; Shi, Y.; Wang, T.; Sun, X. Dust-concentration measurement based on Mie scattering of a laser beam. PLoS ONE 2017, 12, e0181575. [Google Scholar] [CrossRef]
- Sharif, S.M. Attenuation properties of dusty media using Mie scattering solution. Prog. Electromagn. Res. M 2015, 43, 9–18. [Google Scholar] [CrossRef]
- Qi, S.; Huang, Z.; Ma, X.; Huang, J.; Zhou, T.; Zhang, S.; Dong, Q.; Bi, J.; Shi, J. Classification of atmospheric aerosols and clouds by use of dual-polarization lidar measurements. Opt. Express 2021, 29, 23461–23476. [Google Scholar] [CrossRef]
- Huang, Z.; Qi, S.; Zhou, T.; Dong, Q.; Ma, X.; Zhang, S.; Bi, J.; Shi, J. Investigation of aerosol absorption with dual-polarization lidar observations. Opt. Express 2020, 28, 7028–7035. [Google Scholar] [CrossRef] [PubMed]
- Yang, S.; Chen, H.; Gao, L.; Qi, B.; Guo, P.; Deng, J. Study of spatial distribution characteristics for dust raised by vehicles in battlefield environments using CFD. IEEE Access 2021, 9, 48023–48038. [Google Scholar] [CrossRef]
- Hansen, C.; Pak, R.Y.S. Centrifuge characterization of buried, explosive-induced soil ejecta kinematics and crater morphology. J. Dyn. Behav. Mater. 2016, 2, 306–325. [Google Scholar] [CrossRef]
- Rigby, S.E.; Fay, S.D.; Tyas, A.; Clarke, S.D.; Reay, J.J.; Warren, J.A.; Gant, M.; Elgy, I. Influence of particle size distribution on the blast pressure profile from explosives buried in saturated soils. Shock Waves 2018, 28, 613–626. [Google Scholar] [CrossRef]
- Pinnick, R.G.; Fernandez, G.; Hinds, B.D. Explosion dust particle size measurements. Appl. Opt. 1983, 22, 95–102. [Google Scholar] [CrossRef]
- Ebersole, J.F.; Vaglio-Laurin, R.; Dvore, D.S. Optical and Fluid Dynamic Properties of Explosion-Produced Dust Clouds; Technical Report ADA085930; Aerodyne Research Inc.: Bedford, MA, USA, 1980. [Google Scholar]
- Fan, H.; Li, S. A Peridynamics-SPH modeling and simulation of blast fragmentation of soil under buried explosive loads. Comput. Methods Appl. Mech. Eng. 2017, 318, 349–381. [Google Scholar] [CrossRef]
- Ambrosini, D.; Luccioni, B. Effects of underground explosions on soil and structures. Undergr. Space 2020, 5, 324–338. [Google Scholar] [CrossRef]
- Chen, J.Y.; Peng, C.; Lien, F.S. Simulations for three-dimensional landmine detonation using the SPH method. Int. J. Impact Eng. 2019, 126, 40–49. [Google Scholar] [CrossRef]
- Bao, J.; Zha, B.; Xu, C.; Zhang, H. Study of a laser echo in an inhomogeneous dust environment with a continuous field Monte Carlo radiative transfer model. Opt. Express 2021, 29, 17976–17996. [Google Scholar] [CrossRef] [PubMed]
- Shimizu, A.; Sugimoto, N.; Matsui, I.; Nishizawa, T. Direct comparison of extinction coefficients derived from Mie-scattering lidar and number concentrations of particles, subjective weather report in Japan. J. Quant. Spectrosc. Radiat. Transf. 2015, 153, 77–87. [Google Scholar] [CrossRef]
- Guo, J.; Zhu, H. Backscattering attenuation characteristics of multi-sized dust particles to pulsed laser. Optik 2019, 180, 738–744. [Google Scholar] [CrossRef]
- Islam, M.R.; Elshaikh, Z.E.O.; Khalifa, O.O.; Alam, A.Z.; Khan, S.; Naji, A.W. Prediction of signal attenuation due to duststorms using Mie scattering. IIUM Eng. J. 2010, 11, 71–87. [Google Scholar] [CrossRef]
- Rigby, S.E.; Fay, S.D.; Clarke, S.D.; Tyas, A.; Reay, J.J.; Warren, J.A.; Gant, M.; Elgy, I. Measuring spatial pressure distribution from explosives buried in dry Leighton Buzzard sand. Int. J. Impact Eng. 2016, 96, 89–104. [Google Scholar] [CrossRef]
- Liebens, J. Spreadsheet macro to determine USDA soil textural subclasses. Commun. Soil Sci. Plant Anal. 2001, 32, 255–265. [Google Scholar] [CrossRef]
- Ambrosini, R.D.; Luccioni, B.M. Craters produced by explosions on the soil surface. J. Appl. Mech. 2006, 73, 890–900. [Google Scholar] [CrossRef]
- Rashiddel, A.; Kharghani, M.; Dias, D.; Hajihassani, M. Numerical study of the segmental tunnel lining behavior under a surface explosion—Impact of the longitudinal joints shape. Comput. Geotech. 2020, 128, 103822. [Google Scholar] [CrossRef]
- Campbell, O.; Blenkinsop, T.; Gilbert, O.; Mol, L. Bullet impacts in building stone excavate approximately conical craters, with dimensions that are controlled by target material. Sci. Rep. 2022, 12, 17634. [Google Scholar] [CrossRef] [PubMed]
- Wang, T.; Wu, Y.; Zhao, Y.; Luo, Y.; Wang, Y. Research on a quality detection system of dust suppression spraying for railway coal transportation using laser backscattering technology. Laser Phys. 2022, 32, 95603. [Google Scholar] [CrossRef]
- Schober, P.; Boer, C.; Schwarte, L.A. Correlation coefficients: Appropriate use and interpretation. Anesth. Analg. 2018, 126, 1763–1768. [Google Scholar] [CrossRef]
- Yang, S.; Gu, L.; Li, X.; Jiang, T.; Ren, R. Crop classification method based on optimal feature selection and hybrid CNN-RF networks for multi-temporal remote sensing imagery. Remote Sens. 2020, 12, 3119. [Google Scholar] [CrossRef]














| Series | Soil Type | Explosive | ||
|---|---|---|---|---|
| Moisture Content w/% | Bulk Density ρ/(g/cm3) | Mass m/g | DOB/cm | |
| A | 12.5 | 1.80 | 2 | 3 |
| B | 12.5 | 1.80 | 1 | 3 |
| C | 12.5 | 1.80 | 0.58 | 3 |
| D | 12.5 | 1.80 | 1 | 3 |
| E | 12.5 | 1.80 | 1 | 0 |
| F | 12.5 | 1.80 | 1 | 8 |
| G | 10.3 | 1.76 | 1 | 3 |
| H | 8.7 | 1.74 | 1 | 3 |
| I | 3.5 | 1.66 | 1 | 3 |
Disclaimer/Publisher’s Note: The statements, opinions and data contained in all publications are solely those of the individual author(s) and contributor(s) and not of MDPI and/or the editor(s). MDPI and/or the editor(s) disclaim responsibility for any injury to people or property resulting from any ideas, methods, instructions or products referred to in the content. |
© 2023 by the authors. Licensee MDPI, Basel, Switzerland. This article is an open access article distributed under the terms and conditions of the Creative Commons Attribution (CC BY) license (https://creativecommons.org/licenses/by/4.0/).
Share and Cite
Gao, L.; Lien, F.-S.; Chen, H.; Chen, G.; Yang, S.; Deng, J. Backscattering Echo Intensity Characteristics of Laser in Soil Explosion Dust. Sensors 2023, 23, 5638. https://doi.org/10.3390/s23125638
Gao L, Lien F-S, Chen H, Chen G, Yang S, Deng J. Backscattering Echo Intensity Characteristics of Laser in Soil Explosion Dust. Sensors. 2023; 23(12):5638. https://doi.org/10.3390/s23125638
Chicago/Turabian StyleGao, Lijuan, Fue-Sang Lien, Huimin Chen, Guang Chen, Shangxian Yang, and Jiahao Deng. 2023. "Backscattering Echo Intensity Characteristics of Laser in Soil Explosion Dust" Sensors 23, no. 12: 5638. https://doi.org/10.3390/s23125638
APA StyleGao, L., Lien, F.-S., Chen, H., Chen, G., Yang, S., & Deng, J. (2023). Backscattering Echo Intensity Characteristics of Laser in Soil Explosion Dust. Sensors, 23(12), 5638. https://doi.org/10.3390/s23125638

