Guided Wave Ultrasonic Testing for Crack Detection in Polyethylene Pipes: Laboratory Experiments and Numerical Modeling
Abstract
1. Introduction
2. Theoretical Analysis
2.1. Fundamentals of Wave Propagation in Pipes
2.2. Selection of Inspection Parameters
3. Laboratory Experiments of Ultrasonic Tests
3.1. Experimental Setup
3.2. Experimental Observations on Effect of Crack Geometry on Wave Propagation
4. Development and Validation of Numerical Models
4.1. Numerical Modeling
4.2. Model Validation
4.3. Discussions of Inspection Parameters
4.4. Effect of Crack Orientation
5. Conclusions
- The application of UT for monitoring PE pipes can be optimized by the careful selection of inspecting signals using the fundamentals of guided wave physics. The dispersion and attenuation analysis of different types of pipe modes can help isolate the modes with the lowest dispersion and attenuation characteristics. For PE pipelines, L(0,3) and L(0,4) modes are reasonable choices of wave modes for axial pipe inspection.
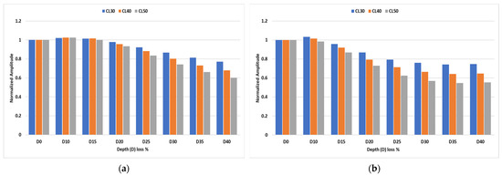
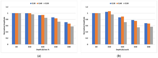
- The selection of wave modes should be complementary to inspection requirements as the crack geometry plays an important role in the ability of UT. The crack with a length relatively equal to or greater than the wavelength of the inspecting mode is easier to detect by observing the amplitude decay in the transmitted signal; however, a higher crack depth is needed for smaller crack lengths to achieve noticeable decay in the signal amplitude.
- The selection of appropriate PE material properties is critical for developing an accurate simulation model. Laboratory experiments can be performed on pristine specimens to match standard wave mode features, such as group velocity and signal shape, followed by the optimization of the damping properties.
- The wave-crack interaction observed through the decay in peak amplitude is influenced by the orientation of the crack relative to the intrinsic displacements of the wave mode. For longitudinal modes, no wave-crack interaction was observed for axially aligned cracks; hence, the inspection strategies with torsional modes that have displacements in the circumferential direction are desired.
6. Remarks and Future Scope of Work
Author Contributions
Funding
Data Availability Statement
Conflicts of Interest
References
- Zha, S.; Lan, H.-q.; Huang, H. Review on lifetime predictions of polyethylene pipes: Limitations and trends. Int. J. Press. Vessel. Pip. 2022, 198, 104663. [Google Scholar] [CrossRef]
- Schramm, D. PE-RT: A new class of polyethylene for industrial pipes. In Proceedings of the 25th International Conference on Offshore Mechanics and Arctic Engineering, Hamburg, Germany, 4–9 June 2006. [Google Scholar]
- Schulte, U.; Polyolefins, B. A vision becomes true–50 years of pipes made from High Density Polyethylene. Proc. Plast. Pipes 1953, 13, 1–10. [Google Scholar]
- Harvey, J.A. Chemical and physical aging of plastics. In Handbook of Environmental Degradation of Materials; Elsevier: Amsterdam, The Netherlands, 2005; pp. 153–163. [Google Scholar]
- Luo, X.; Lu, S.; Shi, J.; Li, X.; Zheng, J. Numerical simulation of strength failure of buried polyethylene pipe under foundation settlement. Eng. Fail. Anal. 2015, 48, 144–152. [Google Scholar] [CrossRef]
- Grafenauer, T.; Najafi, M.; Sangster, T.; Slavin, L.M. Repair of In-Service HDPE Water Distribution Pipe. In Pipelines 2014: From Underground to the Forefront of Innovation and Sustainability; 2014; pp. 1274–1285. Available online: https://ascelibrary.org/doi/abs/10.1061/9780784413692.115 (accessed on 24 May 2023).
- Zha, S.; Lan, H.-q. Fracture behavior of pre-cracked polyethylene gas pipe under foundation settlement by extended finite element method. Int. J. Press. Vessel. Pip. 2021, 189, 104270. [Google Scholar] [CrossRef]
- Choi, B.-H.; Chudnovsky, A.; Paradkar, R.; Michie, W.; Zhou, Z.; Cham, P.-M. Experimental and theoretical investigation of stress corrosion crack (SCC) growth of polyethylene pipes. Polym. Degrad. Stab. 2009, 94, 859–867. [Google Scholar] [CrossRef]
- Maupin, J.K. Plastic Pipe Failure Analysis. In Proceedings of the International Pipeline Conference, Atlanta, Georgia, 22–27 July 2008. [Google Scholar]
- Schouwenaars, R.; Jacobo, V.; Ramos, E.; Ortiz, A. Slow crack growth and failure induced by manufacturing defects in HDPE-tubes. Eng. Fail. Anal. 2007, 14, 1124–1134. [Google Scholar] [CrossRef]
- Chudnovsky, A.; Zhou, Z.; Zhang, H.; Sehanobish, K. Lifetime assessment of engineering thermoplastics. Int. J. Eng. Sci. 2012, 59, 108–139. [Google Scholar] [CrossRef]
- Kalyanam, S.; Krishnaswamy, P.; Shim, D.-J.; Hioe, Y.; Kawaguchi, S.; Shimura, T.; Numata, K. Assessment of Slow Crack Growth Test Methodologies Used to Predict Service Life of High Density Polyethylene Piping. In Proceedings of the ASME 2013 Pressure Vessels and Piping Conference, Paris, France, 14 July 2013. [Google Scholar]
- Hamouda, H.B.H.; Simoes-betbeder, M.; Grillon, F.; Blouet, P.; Billon, N.; Piques, R. Creep damage mechanisms in polyethylene gas pipes. Polymer 2001, 42, 5425–5437. [Google Scholar] [CrossRef]
- Brown, N.; Donofrio, J.; Lu, X. The transition between ductile and slow-crack-growth failure in polyethylene. Polymer 1987, 28, 1326–1330. [Google Scholar] [CrossRef]
- Šindelář, P.; Nezbedová, E.; Šimková, P.; Buráň, Z.; Bohatý, P. Effect of structural parameters on rapid crack propagation and slow crack growth in high density polyethylene pipeline materials. Plast. Rubber Compos. 2005, 34, 329–333. [Google Scholar] [CrossRef]
- Vogt, H.; Enderle, H.; Schulte, U.; Hessel, J. Thermal ageing of PE 100 pipes for accelerated lifetime prediction under service conditions. In Proceedings of the International Plastic Pipe Exchange Conference, Beijing, China, 4–5 November 2009. [Google Scholar]
- Palermo, G.; Vibien, P.; Oliphant, K.; Kosari, T. New test method to determine effect of recycled materials on corrugated HDPE pipe performance as projected by rate process method. Plast. Rubber Compos. 2007, 36, 213–218. [Google Scholar] [CrossRef]
- Khelif, R.; Chateauneuf, A.; Chaoui, K. Reliability-based assessment of polyethylene pipe creep lifetime. Int. J. Press. Vessel. Pip. 2007, 84, 697–707. [Google Scholar] [CrossRef]
- Bouchelarm, M.A.; Mazari, M.; Benseddiq, N. Stress Intensity Factor KI and T-Stress Determination in HDPE Material. J. Fail. Anal. Prev. 2017, 17, 919–934. [Google Scholar] [CrossRef]
- Paris, P.; Erdogan, F. A critical analysis of crack propagation laws. J. Fluids Eng. 1963, 85, 528–533. [Google Scholar] [CrossRef]
- Rice, J.R. A path independent integral and the approximate analysis of strain concentration by notches and cracks. J. Appl. Mech. 1968, 35, 379–386. [Google Scholar] [CrossRef]
- Guidara, M.A.; Bouaziz, M.A.; Schmitt, C.; Capelle, J.; Taïeb, E.H.; Azari, Z.; Hariri, S. Structural integrity assessment of defected high density poly-ethylene pipe: Burst test and finite element analysis based on J-integral criterion. Eng. Fail. Anal. 2015, 57, 282–295. [Google Scholar] [CrossRef]
- Thuy, M.; Pedragosa-Rincón, M.; Niebergall, U.; Oehler, H.; Alig, I.; Böhning, M. Environmental Stress Cracking of High-Density Polyethylene Applying Linear Elastic Fracture Mechanics. Polymers 2022, 14, 2415. [Google Scholar] [CrossRef]
- Hagglund, F.; Spicer, M.A.; Troughton, M.J. Phased array ultrasonic testing of welded joints in plastic (PE) pipes. In Proceedings of the 6th Middle East Nondestructive Testing Conference, Dresden, Germany, 3–6 July 2012. [Google Scholar]
- Qin, Y.; Shi, J.; Zheng, J.; Hou, D.; Guo, W. An improved phased array ultrasonic testing technique for thick-wall polyethylene pipe used in nuclear power plant. J. Press. Vessel. Technol. 2019, 141, 041403. [Google Scholar] [CrossRef]
- Crawford, S.L.; Doctor, S.R.; Cinson, A.D.; Cumblidge, S.E.; Anderson, M.T. Preliminary assessment of NDE methods on inspection of HDPE butt fusion piping joints for lack of fusion. In Proceedings of the ASME Pressure Vessels and Piping Conference, Prague, Czech Republic, 26–30 July 2009. [Google Scholar]
- Horvath, I. Radiographic testing of welded joints of high-density polyethylene pipes. ZIS-Mitteilungen 1979, 21, 723–732. [Google Scholar]
- Shafeek, H.I.; Gadelmawla, E.S.; Abdel-Shafy, A.A.; Elewa, I.M. Assessment of welding defects for gas pipeline radiographs using computer vision. NDT E Int. 2004, 37, 291–299. [Google Scholar] [CrossRef]
- Javadi Azad, M.; Tavallali, M.S. A novel computational supplement to an IR-thermography based non-destructive test of electrofusion polyethylene joints. Infrared Phys. Technol. 2019, 96, 30–38. [Google Scholar] [CrossRef]
- Hu, C.; Chen, X.-Z. A Review and Preliminary Experiment on Application of Infrared Thermography in Welding. In Robotic Welding, Intelligence and Automation; Springer: Cham, Switzerland, 2015. [Google Scholar]
- Zhu, X.W.; Pan, J.P.; Tan, L.J. Microwave scan inspection of HDPE piping thermal fusion welds for lack of fusion defect. Appl. Mech. Mater. 2013, 333–335, 1523–1528. [Google Scholar] [CrossRef]
- Pan, J.-p.; Hu, J.; Zhu, X.-w.; Tan, L.-j. Identifying lack of fusion defects in high-density polyethylene piping welds. In Proceedings of the 2016 IEEE Far East NDT New Technology & Application Forum (FENDT), Nanchang, China, 22–24 June 2016. [Google Scholar]
- Ghavamian, A.; Mustapha, F.; Baharudin, B.H.T.; Yidris, N. Detection, localisation and assessment of defects in pipes using guided wave techniques: A review. Sensors 2018, 18, 4470. [Google Scholar] [CrossRef]
- Howard, A.; Rubeiz, C. 2020 Second Edition of AWWA M55 HDPE Pipe. Pipelines 2020, 2020, 277–287. [Google Scholar]
- Yoon, D.Y.; Flory, P.J. Small-angle neutron scattering by semicrystalline polyethylene. Polymer 1977, 18, 509–513. [Google Scholar] [CrossRef]
- Olisa, S.C.; Khan, M.A.; Starr, A. Review of current guided wave ultrasonic testing (GWUT) limitations and future directions. Sensors 2021, 21, 811. [Google Scholar] [CrossRef] [PubMed]
- Lowe, P.S.; Lais, H.; Paruchuri, V.; Gan, T.-H. Application of Ultrasonic Guided Waves for Inspection of High Density Polyethylene Pipe Systems. Sensors 2020, 20, 3184. [Google Scholar] [CrossRef] [PubMed]
- Hong, X.; Lin, X.; Yang, B.; Li, M. Crack detection in plastic pipe using piezoelectric transducers based on nonlinear ultrasonic modulation. Smart Mater. Struct. 2017, 26, 104012. [Google Scholar] [CrossRef]
- Demčenko, A.; Akkerman, R.; Nagy, P.B.; Loendersloot, R. Non-collinear wave mixing for non-linear ultrasonic detection of physical ageing in PVC. NDT E Int. 2012, 49, 34–39. [Google Scholar] [CrossRef]
- Donskoy, D.; Sutin, A.; Ekimov, A. Nonlinear acoustic interaction on contact interfaces and its use for nondestructive testing. NDT E Int. 2001, 34, 231–238. [Google Scholar] [CrossRef]
- Rose, J.L. Ultrasonic waves in solid media. J. Acoust. Soc. Am. 2000, 107, 1807–1808. [Google Scholar] [CrossRef]
- Bocchini, P.; Marzani, A.; Viola, E. Graphical user interface for guided acoustic waves. J. Comput. Civil Eng. 2011, 25, 202–210. [Google Scholar] [CrossRef]
- Chan, C.; Cawley, P. Lamb waves in highly attenuative plastic plates. J. Acoust. Soc. Am. 1998, 104, 874–881. [Google Scholar] [CrossRef]
- Harris, K.E. Squeeze-off & Gel Patch Repair Methods for Polyethylene Pipe in Natural Gas Distribution Lines; Oregon State University: Corvallis, OR, USA, 2007. [Google Scholar]
- Valizadeh Yaghmourali, Y.; Ahmadi, N.; Abbaspour-sani, E. A thermal-calorimetric gas flow meter with improved isolating feature. Microsyst. Technol. 2017, 23, 1927–1936. [Google Scholar] [CrossRef]
- Smith, A. Abaqus 6.11; Dassault Systemes Simulia Corporation: Providence, RI, USA, 2011. [Google Scholar]
- Gresil, M.; Giurgiutiu, V. Prediction of attenuated guided waves propagation in carbon fiber composites using Rayleigh damping model. J. Intell. Mater. Syst. Struct. 2015, 26, 2151–2169. [Google Scholar] [CrossRef]
- Mehrabi, M.; Hossein Soorgee, M.; Habibi, H.; Kappatos, V. An experimental technique for evaluating viscoelastic damping using ultrasonic guided waves. Ultrasonics 2022, 123, 106707. [Google Scholar] [CrossRef]
- Jordan, J.L.; Rowland, R.L.; Greenhall, J.; Moss, E.K.; Huber, R.C.; Willis, E.C.; Hrubiak, R.; Kenney-Benson, C.; Bartram, B.; Sturtevant, B.T. Elastic properties of polyethylene from high pressure sound speed measurements. Polymer 2021, 212, 123164. [Google Scholar] [CrossRef]










| Wave Type | Velocity (m/s) | Attenuation Parameters |
|---|---|---|
| Longitudinal | 2340 (±2%) | 0.055 (±5%) |
| Shear | 950 (±5%) | 0.29 (±10%) |
| Density (kg/m3) | Young’s Modulus (GPa) | Poisson’s Ratio | Rayleigh Damping Parameters |
|---|---|---|---|
| 1000 | 1.9 | 0.4 | α = 15 × 103 at 35 kHz 22 × 103 at 50 kHz; β = 0 |
| Amplitude Decay (%) | |||||
|---|---|---|---|---|---|
| Inspection Frequency | 35 kHz | 50 kHz | |||
| Depth (D) loss % | CL (mm) | Experiment | Simulation | Experiment | Simulation |
| 10 | 30 | −2 | 2 | 4 | 3 |
| 40 | −1 | 2.5 | 6 | 2 | |
| 50 | −3 | 2 | −4 | −2 | |
| 20 | 30 | −6 | −2 | −13 | −13 |
| 40 | −5 | −4 | −11 | −20 | |
| 50 | −14 | −6 | −28 | −27 | |
| 30 | 30 | −13 | −13 | −21 | −23 |
| 40 | −16 | −19 | −25 | −33 | |
| 50 | −27 | −25 | −45 | −43 | |
| 40 | 30 | −29 | −23 | −32 | −25 |
| 40 | −33 | −32 | −33 | −35 | |
| 50 | −42 | −39 | −43 | −44 | |
Disclaimer/Publisher’s Note: The statements, opinions and data contained in all publications are solely those of the individual author(s) and contributor(s) and not of MDPI and/or the editor(s). MDPI and/or the editor(s) disclaim responsibility for any injury to people or property resulting from any ideas, methods, instructions or products referred to in the content. |
© 2023 by the authors. Licensee MDPI, Basel, Switzerland. This article is an open access article distributed under the terms and conditions of the Creative Commons Attribution (CC BY) license (https://creativecommons.org/licenses/by/4.0/).
Share and Cite
Shah, J.; El-Hawwat, S.; Wang, H. Guided Wave Ultrasonic Testing for Crack Detection in Polyethylene Pipes: Laboratory Experiments and Numerical Modeling. Sensors 2023, 23, 5131. https://doi.org/10.3390/s23115131
Shah J, El-Hawwat S, Wang H. Guided Wave Ultrasonic Testing for Crack Detection in Polyethylene Pipes: Laboratory Experiments and Numerical Modeling. Sensors. 2023; 23(11):5131. https://doi.org/10.3390/s23115131
Chicago/Turabian StyleShah, Jay, Said El-Hawwat, and Hao Wang. 2023. "Guided Wave Ultrasonic Testing for Crack Detection in Polyethylene Pipes: Laboratory Experiments and Numerical Modeling" Sensors 23, no. 11: 5131. https://doi.org/10.3390/s23115131
APA StyleShah, J., El-Hawwat, S., & Wang, H. (2023). Guided Wave Ultrasonic Testing for Crack Detection in Polyethylene Pipes: Laboratory Experiments and Numerical Modeling. Sensors, 23(11), 5131. https://doi.org/10.3390/s23115131

