Composite Bridge Girders Structure Health Monitoring Based on the Distributed Fiber Sensing Textile
Abstract
1. Introduction
2. Fiber Optic Sensing Textile System
2.1. BOTDA Interrogation Method
2.2. Sensing Textile Design and Fabrication
2.3. Sensing Textile Instllation
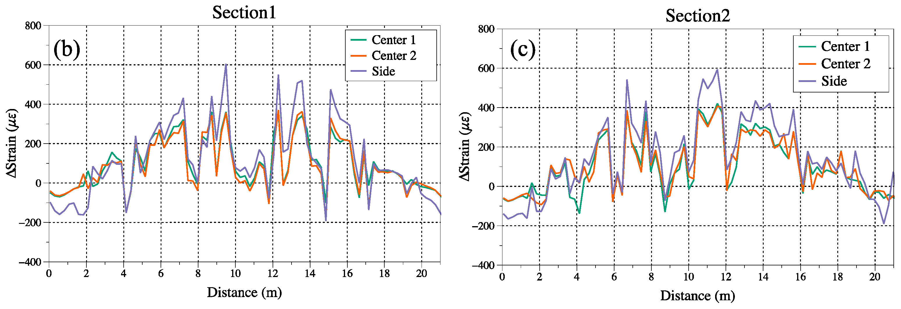
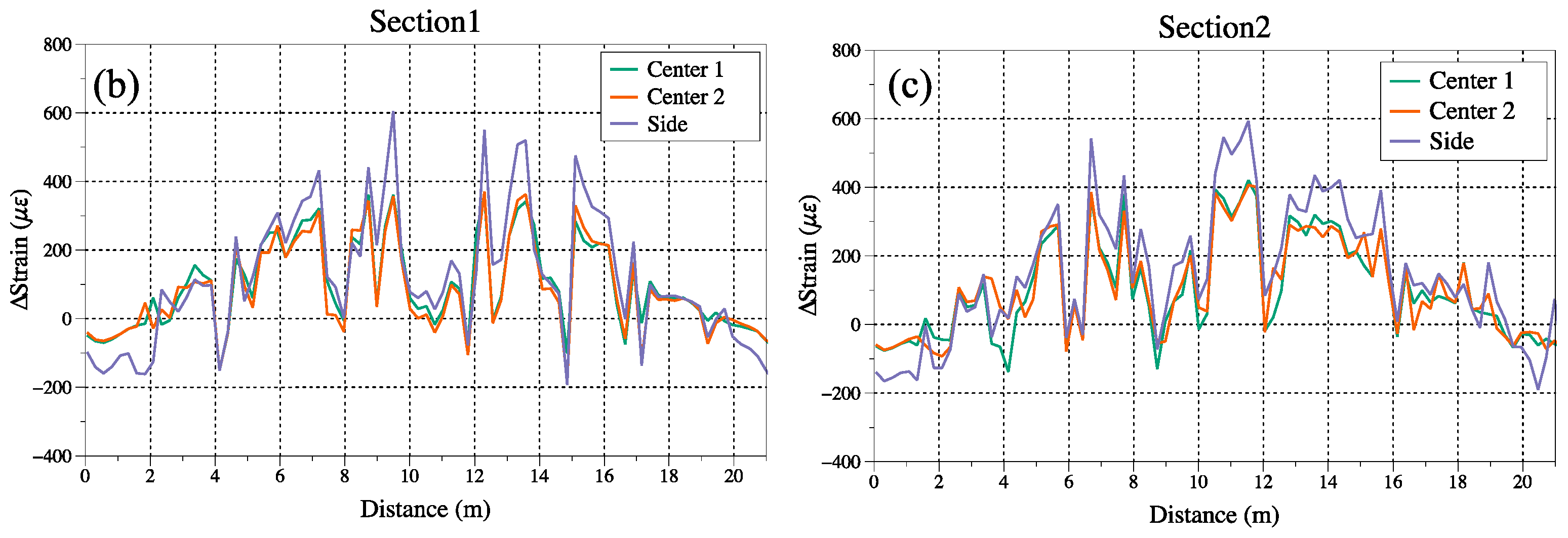
3. Results
3.1. Baseline Test on Grist Mill Bridge
3.2. Loading Test on Grist Mill Bridge
4. Discussion
5. Conclusions
Author Contributions
Funding
Institutional Review Board Statement
Informed Consent Statement
Data Availability Statement
Acknowledgments
Conflicts of Interest
References
- Pallarés, F.J.; Betti, M.; Bartoli, G.; Pallarés, L. Structural Health Monitoring (SHM) and Nondestructive Testing (NDT) of Slender Masonry Structures: A Practical Review. Constr. Build. Mater. 2021, 297, 123768. [Google Scholar] [CrossRef]
- Bao, Y.; Chen, Z.; Wei, S.; Xu, Y.; Tang, Z.; Li, H. The State of the Art of Data Science and Engineering in Structural Health Monitoring. Engineering 2019, 5, 234–242. [Google Scholar] [CrossRef]
- Sony, S.; Laventure, S.; Sadhu, A. A Literature Review of Next-generation Smart Sensing Technology in Structural Health Monitoring. Struct. Control Health Monit. 2019, 26, e2321. [Google Scholar] [CrossRef]
- Annamdas, V.G.M.; Bhalla, S.; Soh, C.K. Applications of Structural Health Monitoring Technology in Asia. Struct. Health Monit. 2017, 16, 324–346. [Google Scholar] [CrossRef]
- Ide, H.; Abdi, F.; Miraj, R.; Dang, C.; Takahashi, T.; Sauer, B. Wireless ZigBee Strain Gage Sensor System for Structural Health Monitoring. In Proceedings of the Photonics in the Transportation Industry: Auto to Aerospace II, Orlando, FL, USA, 13–17 April 2009; SPIE: Bellingham, WA, USA, 2009; Volume 7314, pp. 19–30. [Google Scholar]
- Wright, R.F.; Lu, P.; Devkota, J.; Lu, F.; Ziomek-Moroz, M.; Ohodnicki, P.R. Corrosion Sensors for Structural Health Monitoring of Oil and Natural Gas Infrastructure: A Review. Sensors 2019, 19, 3964. [Google Scholar] [CrossRef]
- Sikarwar, S.; Satyendra; Singh, S.; Yadav, B.C. Review on Pressure Sensors for Structural Health Monitoring. Photonic Sens. 2017, 7, 294–304. [Google Scholar] [CrossRef]
- Choi, H.; Choi, S.; Cha, H. Structural Health Monitoring System Based on Strain Gauge Enabled Wireless Sensor Nodes. In Proceedings of the 2008 5th International Conference on Networked Sensing Systems, Kanazawa, Japan, 17–19 June 2008; pp. 211–214. [Google Scholar]
- Zhu, L.; Fu, Y.; Chow, R.; Spencer, B.F.; Park, J.W.; Mechitov, K. Development of a High-Sensitivity Wireless Accelerometer for Structural Health Monitoring. Sensors 2018, 18, 262. [Google Scholar] [CrossRef]
- Veluthedath Shajihan, S.A.; Chow, R.; Mechitov, K.; Fu, Y.; Hoang, T.; Spencer, B.F. Development of Synchronized High-Sensitivity Wireless Accelerometer for Structural Health Monitoring. Sensors 2020, 20, 4169. [Google Scholar] [CrossRef]
- Hu, X.; Wang, B.; Ji, H. A Wireless Sensor Network-Based Structural Health Monitoring System for Highway Bridges. Comput.-Aided Civ. Infrastruct. Eng. 2013, 28, 193–209. [Google Scholar] [CrossRef]
- Bado, M.F.; Casas, J.R. A Review of Recent Distributed Optical Fiber Sensors Applications for Civil Engineering Structural Health Monitoring. Sensors 2021, 21, 1818. [Google Scholar] [CrossRef]
- Sbarufatti, C.; Manes, A.; Giglio, M. Application of Sensor Technologies for Local and Distributed Structural Health Monitoring. Struct. Control Health Monit. 2014, 21, 1057–1083. [Google Scholar] [CrossRef]
- Hong, C.-Y.; Zhang, Y.-F.; Li, G.-W.; Zhang, M.-X.; Liu, Z.-X. Recent Progress of Using Brillouin Distributed Fiber Optic Sensors for Geotechnical Health Monitoring. Sens. Actuators Phys. 2017, 258, 131–145. [Google Scholar] [CrossRef]
- Wu, T.; Liu, G.; Fu, S.; Xing, F. Recent Progress of Fiber-Optic Sensors for the Structural Health Monitoring of Civil Infrastructure. Sensors 2020, 20, 4517. [Google Scholar] [CrossRef]
- Huang, N.E.; Huang, K.; Chiang, W.-L. Hht-Based Bridge Structural Health-Monitoring Method. In Hilbert? Huang Transform and Its Applications; Interdisciplinary Mathematical Sciences; WORLD SCIENTIFIC: Singapore, 2013; Volume 16, pp. 337–361. ISBN 978-981-4508-23-0. [Google Scholar]
- Cheng, Y.; Deng, Y.; Cao, J.; Xiong, X.; Bai, L.; Li, Z. Multi-Wave and Hybrid Imaging Techniques: A New Direction for Nondestructive Testing and Structural Health Monitoring. Sensors 2013, 13, 16146–16190. [Google Scholar] [CrossRef]
- Park, H.S.; Lee, H.M.; Adeli, H.; Lee, I. A New Approach for Health Monitoring of Structures: Terrestrial Laser Scanning. Comput.-Aided Civ. Infrastruct. Eng. 2007, 22, 19–30. [Google Scholar] [CrossRef]
- Biondi, A.M.; Zhou, J.; Guo, X.; Wu, R.; Tang, Q.; Gandhi, H.; Yu, T.; Gopalan, B.; Hanna, T.; Ivey, J.; et al. Pipeline Structural Health Monitoring Using Distributed Fiber Optic Sensing Textile. Opt. Fiber Technol. 2022, 70, 102876. [Google Scholar] [CrossRef]
- Biondi, A.; Wu, R.; Cao, L.; Gopalan, B.; Ivey, J.; Garces, C.; Mitchell, M.; Williams, J.D.; Wang, X. Fiber Optic Sensing Textile for Strain Monitoring in Composite Substrates. Sensors 2022, 22, 9262. [Google Scholar] [CrossRef]
- Sasi, D.; Philip, S.; David, R.; Swathi, J. A Review on Structural Health Monitoring of Railroad Track Structures Using Fiber Optic Sensors. Mater. Today Proc. 2020, 33, 3787–3793. [Google Scholar] [CrossRef]
- Bremer, K.; Meinhardt-Wollweber, M.; Thiel, T.; Werner, G.; Sun, T.; Grattan, K.T.V.; Roth, B. Sewerage Tunnel Leakage Detection Using a Fibre Optic Moisture-Detecting Sensor System. Sens. Actuators Phys. 2014, 220, 62–68. [Google Scholar] [CrossRef]
- Lu, Y.; Shi, B.; Wei, G.Q.; Chen, S.E.; Zhang, D. Application of a Distributed Optical Fiber Sensing Technique in Monitoring the Stress of Precast Piles. Smart Mater. Struct. 2012, 21, 115011. [Google Scholar] [CrossRef]
- Bremer, K.; Weigand, F.; Zheng, Y.; Alwis, L.S.; Helbig, R.; Roth, B. Structural Health Monitoring Using Textile Reinforcement Structures with Integrated Optical Fiber Sensors. Sensors 2017, 17, 345. [Google Scholar] [CrossRef] [PubMed]
- Li, H.; Liu, Y.; Cao, J.; Shu, P. Investigation of the BOTDA Technology for Structural Condition Monitoring of Urban Tunnel. IOP Conf. Ser. Mater. Sci. Eng. 2019, 603, 042003. [Google Scholar] [CrossRef]
- Feng, W.-Q.; Yin, J.-H.; Borana, L.; Qin, J.-Q.; Wu, P.-C.; Yang, J.-L. A Network Theory for BOTDA Measurement of Deformations of Geotechnical Structures and Error Analysis. Measurement 2019, 146, 618–627. [Google Scholar] [CrossRef]
- Zhang, Z.; Guan, P.; Dong, Y.; Li, H. Analysis of Horizontal Bearing Capacity of Offshore Pile Foundation Based on DPP-BOTDA. J. Civ. Struct. Health Monit. 2022, 12, 747–756. [Google Scholar] [CrossRef]
- Azad, A.K.; Wang, L.; Guo, N.; Tam, H.-Y.; Lu, C. Signal Processing Using Artificial Neural Network for BOTDA Sensor System. Opt. Express 2016, 24, 6769–6782. [Google Scholar] [CrossRef] [PubMed]
- Dong, Y.; Chen, L.; Bao, X. Time-Division Multiplexing-Based BOTDA over 100km Sensing Length. Opt. Lett. 2011, 36, 277–279. [Google Scholar] [CrossRef] [PubMed]
- Horiguchi, T.; Tateda, M. BOTDA-Nondestructive Measurement of Single-Mode Optical Fiber Attenuation Characteristics Using Brillouin Interaction: Theory. J. Light. Technol. 1989, 7, 1170–1176. [Google Scholar] [CrossRef]
- Li, W.; Bao, X.; Li, Y.; Chen, L. Differential Pulse-Width Pair BOTDA for High Spatial Resolution Sensing. Opt. Express 2008, 16, 21616–21625. [Google Scholar] [CrossRef] [PubMed]
- Soto, M.A.; Bolognini, G.; Pasquale, F.D.; Thévenaz, L. Simplex-Coded BOTDA Fiber Sensor with 1 m Spatial Resolution over a 50 Km Range. Opt. Lett. 2010, 35, 259–261. [Google Scholar] [CrossRef]
- Li, M.; Xu, T.; Wang, S.; Hu, W.; Jiang, J.; Liu, T. Probe Pulse Design in Brillouin Optical Time-Domain Reflectometry. IET Optoelectron. 2022, 16, 238–252. [Google Scholar] [CrossRef]
- Nikles, M.; Thevenaz, L.; Robert, P.A. Brillouin Gain Spectrum Characterization in Single-Mode Optical Fibers. J. Light. Technol. 1997, 15, 1842–1851. [Google Scholar] [CrossRef]
- Biondi, A.M.; Guo, X.; Zhou, J.; Tang, Q.; Ghandi, H.; Goplan, B.; Hanna, T.; Ivey, J.; Yu, T.; Wang, X. Optical Fiber Sensing Textile for Temperature and Strain Distributed Measurement. In Proceedings of the Nondestructive Characterization and Monitoring of Advanced Materials, Aerospace, Civil Infrastructure, and Transportation XV, Online, CA, USA, 22–27 March 2021; SPIE: Bellingham, WA, USA, 2021; Volume 11592, pp. 322–328. [Google Scholar]
- Davids, W.G.; Diba, A.; Dagher, H.J.; Guzzi, D.; Schanck, A.P. Development, Assessment and Implementation of a Novel FRP Composite Girder Bridge. Constr. Build. Mater. 2022, 340, 127818. [Google Scholar] [CrossRef]











Disclaimer/Publisher’s Note: The statements, opinions and data contained in all publications are solely those of the individual author(s) and contributor(s) and not of MDPI and/or the editor(s). MDPI and/or the editor(s) disclaim responsibility for any injury to people or property resulting from any ideas, methods, instructions or products referred to in the content. |
© 2023 by the authors. Licensee MDPI, Basel, Switzerland. This article is an open access article distributed under the terms and conditions of the Creative Commons Attribution (CC BY) license (https://creativecommons.org/licenses/by/4.0/).
Share and Cite
Wu, R.; Biondi, A.; Cao, L.; Gandhi, H.; Abedin, S.; Cui, G.; Yu, T.; Wang, X. Composite Bridge Girders Structure Health Monitoring Based on the Distributed Fiber Sensing Textile. Sensors 2023, 23, 4856. https://doi.org/10.3390/s23104856
Wu R, Biondi A, Cao L, Gandhi H, Abedin S, Cui G, Yu T, Wang X. Composite Bridge Girders Structure Health Monitoring Based on the Distributed Fiber Sensing Textile. Sensors. 2023; 23(10):4856. https://doi.org/10.3390/s23104856
Chicago/Turabian StyleWu, Rui, Andres Biondi, Lidan Cao, Harsh Gandhi, Sabrina Abedin, Guoqiang Cui, Tzuyang Yu, and Xingwei Wang. 2023. "Composite Bridge Girders Structure Health Monitoring Based on the Distributed Fiber Sensing Textile" Sensors 23, no. 10: 4856. https://doi.org/10.3390/s23104856
APA StyleWu, R., Biondi, A., Cao, L., Gandhi, H., Abedin, S., Cui, G., Yu, T., & Wang, X. (2023). Composite Bridge Girders Structure Health Monitoring Based on the Distributed Fiber Sensing Textile. Sensors, 23(10), 4856. https://doi.org/10.3390/s23104856

