Assessment of Motor Evoked Potentials in Multiple Sclerosis
Abstract
1. Introduction
2. Assessment of MEPs in Multiple Sclerosis
2.1. Targeting M1 with TMS without Navigation, Line-Navigated TMS and e-Field-Navigated TMS
2.2. Neurophysiological Changes in the Central and Peripheral System in pwMS Investigated with TMS
| Author (Year) (Reference Number) | TMS Device, Coil Type, M1 Target Location (TMS without Navigation, e-Field Navigation TMS, Navigate TMS) | Number of pwMS/HC | MEP Latency/INVESTIGATED Muscles | MEP Amplitude | RMT | CMCT | CSP | SICI |
|---|---|---|---|---|---|---|---|---|
| Yperman et al. (2022) [47] | Magstim 2002, round coil, TMS without navigation | 963/ | The study includes a dataset of 100,000 MEP signals in MS Metacarpal I/II, APB, metatarsal I, AH | The study includes a dataset of 100,000 MEP signals in MS | - | - | - | - |
| Rogić Vidaković et al. (2022) [44] | NBS navigation system (Nexstim Plc., Helsinki, Finland), figure-of-eight coil, navigated TMS, biphasic stimulation | single pwMS case report/ | Prolonged MEP latencies in upper and lower extremity muscles APB, ADM, TA, AH | ns | ns | ns | ns | ns |
| Rogić Vidaković et al. (in review, unpublished) [48] | NBS navigation system (Nexstim Plc., Helsinki, Finland), figure-of-eight coil), navigated TMS, biphasic stimulation | 23/clinical samples of healthy subjects | Prolonged MEP latencies in pwMS compared to clinical samples of HC (p < 0.001) APB, ADM, TA, AH | ns | ns | ns | ns | ns |
| Mamoei et al. (2021) [46] | Dantec Magnetic Primer TwinTop TMS & MagLite (Berlin, Germany), r-25 magnetic stimulator, circular coil, TMS without navigation | 41/longitudinal study testing Fampridine responsiveness | ns VM, TA | Decreased MEP amplitude after 1 year (p < 0.035) | ns | CMCT prolonged after 1 year | ns | ns |
| Stampanon and Basssi et al. (2020) [15] | Magstim 2002 (Magstim Company Ltd., Spring Gardens, Whitland, UK), figure-of-eight coil, TMS without navigation | 18/18 | ns FDI | ns | RMT increased in pwMS compared to HC (p = 0.009) | ns | ns | SICI decreased in pwMS compared to HC (p = 0.007) |
| Pisa et al. (2021) [49] | Magstim 200 (Magstim Company Ltd., Spring Gardens, Whitland, UK), figure-of-eight coil, TMS without navigation | 30/15 | Prolonged MEP latencies compared to HC (p > 0.05) (posterior-anterior coil orientation) FDI | Decreased MEP amplitude compared to HC (p < 0.05) (posterior-anterior coil orientation) | RMT increased in pwMS compared to HC (p < 0.05) (posterior-anterior coil orientation) | |||
| Pisa et al. (2020) [45] | Magstim 200 (Magstim Company Ltd., Spring Gardens, Whitland, UK), figure-of-eight coil, TMS without navigation | 50/ | Delayed or absent MEP to the upper limbs. MEPs bilaterally absent in the lower limbs 74% (PPMS) FDI, TA | ns | ns | ns | ns | ns |
| Mordillo-Mateos et al. (2019) [50] | Magstim 200 (Magstim Company Ltd., Spring Gardens, Whitland, UK), figure-of-eight coil, TMS without navigation, monophasic stimulation | 17/16 | ns FDI | Decreased MEP amplitude after abductions of FDI in pwMS compared to HC | RMT increased in pwMS compared to HC (p = 0.0139) | CMCT increased in pwMS (p = 0.009) | ns | ns |
| Zipser et al. (2018) [51] | Magstim 200 (Magstim Company Ltd., Spring Gardens, Whitland, UK), figure-of-eight coil, TMS without navigation, monophasic stimulation | 13/16 | ns APB | ns | RMT increased in pwMS compared to HC (p < 0.05) | ns | ns | ns |
| Neva et al. (2016) [14] | Magstim 2002 (Magstim Company Ltd., Spring Gardens, Whitland, UK), figure-of-eight coil, BrainsightTM neuronavigation software package (Rogue Research Inc., Montréal, Canada), TMS with e-field navigation | 26/11 | MEP latency prolonged in pwMS compared to HC (p = 0.001) extensor carpi radialis | ns | RMT increased in pwMS compared to HC (p = 0.022) | ns | CSP onset prolonged in pwMS compared to HC (p = 0.011) | ns |
| Nantes et al. (2016) (2017) [43] | Magstim 2002 (Magstim Company Ltd., Spring Gardens, Whitland, UK), figure-of-eight coil, BrainsightTM neuronavigation software package (Rogue Research Inc., Montréal, Canada), TMs with e-field navigation | 43/29 | MEP latency prolonged in pwMS compared to HC (p < 0.001) FDI | Decreased MEP amplitude during rest in pwMS compared to HC (p < 0.001) | No difference between pwMS and HC (p > 0.05) | ns | CSP increased in pwMS (p < 0.01) | No difference between pwMS and HC (p > 0.05) |
| Cabib et al. (2015) [52] | ns, figure-of-eight coil, TMS without navigation | 20/13 | MEP latency prolonged in pwMS compared to HC (p = 0.005) FDI | ns | ns | ns | ns | ns |
| Bridoux et al. (2015) [53] | - | 12/12 | ns extensor carpi radialis | Decreased MEP amplitude in pwMS (p = 0.03) | ns | ns | ns | |
| Di Sapio et al. (2014) [54] | Magstim Rapid2 Device (Magstim Company Ltd., Spring Gardens, Whitland, UK), double- cone coil, TMS, without navigation | 28/28 | ns VM, flexor hallucis brevis, TA | ns | No difference between pwMS and HC | CMCT increased in pwMS (p < 0.001) | ns | ns |
| Von Mayenburg et al. (2013) [55] | Magstim 200 (Magstim Company Ltd., Spring Gardens, Whitland, UK), circular coil, TMS without navigation, biphasic stimulation | 41/28 | ns ADM, TA | ns | ns | CMCT increased in pwMS (p = 0.002) | ns | ns |
| Conte et al. (2009) [56] | Magstim (Magstim Company Ltd., Spring Gardens, Whitland, UK), figure-of-eight coil, TMS without navigation | 30/17 | MEP latency prolonged in pwMS FDI | Decreased MEP amplitude in pwMS (p = 0.001) | ns | CMCT increased in pwMS (p = 0.002) | ns | SICI decreased in pwMS |
| Firmin et al. (2012) [57] | Bistim 200 (Magstim Company Ltd., Spring Gardens, Whitland, UK), circular coil, TMS without navigation | 16/29 | ns ADM | ns | ns | No difference in CMCT between pwMS and HC | ns | ns |
| Steens et al. (2012) [58] | - | 20/20 | ns FDI | ns | No RMT difference between pwMS and HC (p = 0.18) | CMCT increased in pwMS (p = 0.02) | ns | ns |
| Morgante et al. (2011) [59] | Magstim 200 (Magstim Company Ltd., Spring Gardens, Whitland, UK), figure-of-eight coil, TMS without navigation, biphasic stimulation | 33/12 | ns FDI, APB | Decreased MEP amplitude in pwMS compared to HC (p = 0.001) | No RMT difference between pwMS and HC | CMCT increased in pwMS (p = 0.003) | ns | No SICI difference between pwMS and HC (p = 0.04) |
| Thickbroom et al. (2008) [60] | Magstim 200 (Magstim Company Ltd., Spring Gardens, Whitland, UK), double-cone coil, TMS without navigation | 10/13 | MEP latency prolonged in pwMS (p < 0.05) TA | No MEP amplitude difference between pwMS and HC (p < 0.05) | ns | CMCT increased in pwMS | ns | ns |
| Gagliardo et al. (2007) [61] | Magstim 200 (Magstim Company Ltd., Spring Gardens, Whitland, UK), figure-of-eight coil, TMS without navigation, monophasic stimulation | 32/20 | ns TA | Decreased MEP amplitude in pwMS compared to HC (p < 0.001) | RMT increased in pwMS compared to HC (p = 0.001) | CMCT increased in pwMS (p = 0.001) | ns | ns |
| Thickroom et al. (2006) [62] | Magstim 200 (Magstim Company Ltd., Spring Gardens, Whitland, UK), figure-of-eight coil, TMS without navigation | 23/15 | No MEP latency difference between pwMS and HC FDI | Decreased MEP amplitude in pwMS (p < 0.01) | ns | No CSP difference between pwMS and HC (p > 0.05) | ns | |
| Liepert et al. (2005) [63] | Magstim (Magstim Company Ltd., Spring Gardens, Whitland, UK), figure-of-eight coil, TMS without navigation | 16/6 | ns superficial flexor digitorum | No MEP amplitude difference between pwMS and HC | ns | ns | ns | SICI decreased in pwMS (p < 0.01) |
| Mainero et al. (2004) [64] | Magstim (Magstim Company Ltd., Spring Gardens, Whitland, UK), figure-of-eight coil, TMS without navigation | 12/12 | ns FDI | ns | ns | CMCT increased in pwMS (p < 0.001) | ns | ns |
| Schubert et al. (1998) [65] | - | 11/10 | ns flexor hallucis brevis, TA | MEP area reduced in pwMS compared to HC | No RMT difference between pwMS and HC | CMCT increased in pwMS | ns | ns |
| Sheean et al. (1997) [66] | Magstim 200 (Magstim Company Ltd., Spring Gardens, Whitland, UK), circular coil, TMS without navigation | 21/19 | MEP latency prolonged in pwMS compared to HC (p < 0.05) adductor pollicis | No MEP amplitude difference between pwMS and HC | No RMT difference between pwMS and HC | CMCT increased in pwMS (p < 0.01) | ss | ns |
3. MEP Assessment in MS with e-Field-Navigated TMS
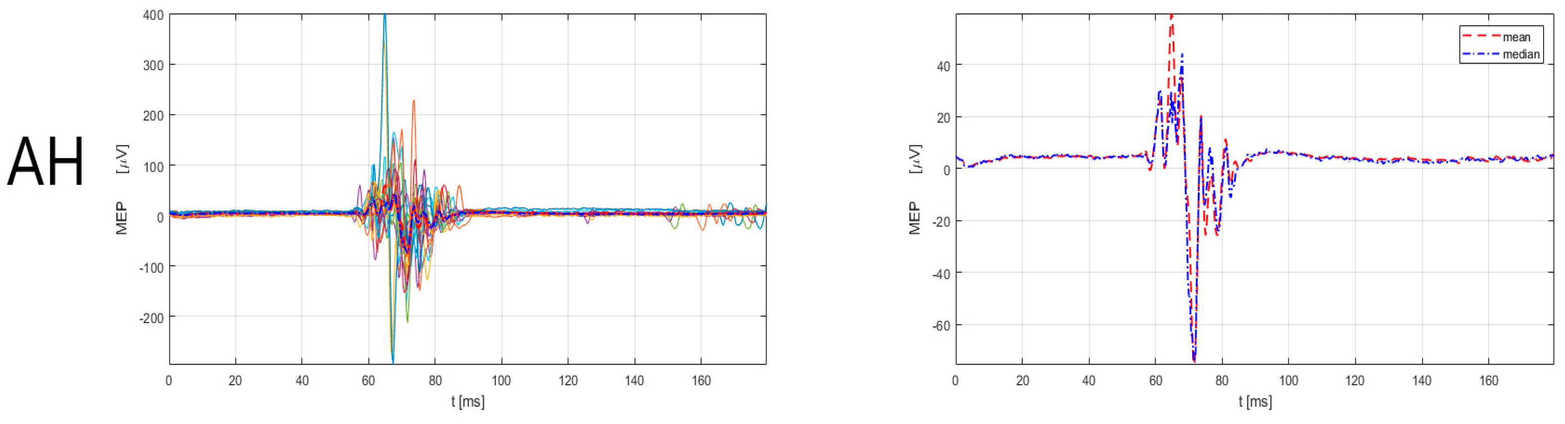
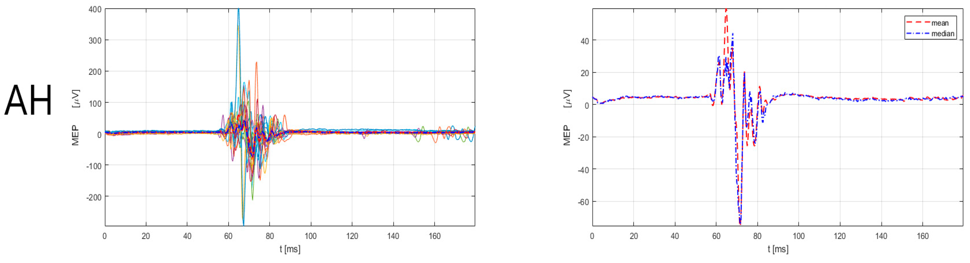
3.1. Case Study of MEP Assessment in MS Subject as an Example of Correspondence of e-Field-Navigated TMS, MRI, and EDSS Findings
3.2. Case Study of MEP Assessment in MS Subject as an Example of Non-Clear Correspondence of TMS, MRI, and EDSS Findings
4. Discussion on Some Practical and Technical Guidelines for Improvements of TMS Studies in MEP Assessment in Multiple Sclerosis
5. Conclusions
Author Contributions
Funding
Institutional Review Board Statement
Informed Consent Statement
Data Availability Statement
Acknowledgments
Conflicts of Interest
References
- Goodin, D.S.; Khankhanian, P.; Gourraud, P.-A.; Vince, N. The nature of genetic and environmental susceptibility to multiple sclerosis. PLoS ONE 2021, 16, e0246157. [Google Scholar] [CrossRef] [PubMed]
- McGinley, M.P.; Goldschmidt, C.H.; Rae-Grant, A.D. Diagnosis and Treatment of Multiple Sclerosis: A Review. JAMA 2021, 325, 765–779. [Google Scholar] [CrossRef] [PubMed]
- Thompson, A.J.; Banwell, B.L.; Barkhof, F.; Carroll, W.M.; Coetzee, T.; Comi, G.; Correale, J.; Fazekas, F.; Filippi, M.; Freedman, M.S.; et al. Diagnosis of multiple sclerosis: 2017 revisions of the McDonald criteria. Lancet Neurol. 2018, 17, 162–173. [Google Scholar] [CrossRef] [PubMed]
- Wattjes, M.P.; Ciccarelli, O.; Reich, D.S.; Banwell, B.; de Stefano, N.; Enzinger, C.; Fazekas, F.; Filippi, M.; Frederiksen, J.; Gasperini, C.; et al. 2021 MAGNIMS–CMSC–NAIMS consensus recommendations on the use of MRI in patients with multiple sclerosis. Lancet Neurol. 2021, 20, 653–670. [Google Scholar] [CrossRef] [PubMed]
- Kurtzke, J.F. Rating neurologic impairment in multiple sclerosis: An expanded disability status scale (EDSS). Neurology 1983, 33, 1444–1452. [Google Scholar] [CrossRef] [PubMed]
- Kappos, L. Definitions for a Standardised, Quantified Neurological Examination and Assessment of Kurtzke’s Functional Systems and Expanded Disability Status Scale in Multiple Sclerosis; Version 03/09; University Hospital Basel: Basel, Switzerland, 2009; Available online: https://www.neurostatus.net/media/specimen/Definitions_0309_specimen.pdf (accessed on 15 November 2022).
- Scott, T.; Wang, P.; You, X.; Mann, M.; Sperling, B. Relationship between sustained disability progression and functional system scores in relapsing-remitting multiple sclerosis: Analysis of placebo data from four randomized clinical trials. Neuroepidemiology 2015, 44, 16–23. [Google Scholar] [CrossRef]
- Cocozza, S.; Pontillo, G.; Lanzillo, R.; Russo, C.; Petracca, M.; Di Stasi, M.; Paolella, C.; Vola, E.A.; Criscuolo, C.; Moccia, M.; et al. MRI features suggestive of gadolinium retention do not correlate with Expanded Disability Status Scale worsening in Multiple Sclerosis. Neuroradiology 2019, 61, 155–162. [Google Scholar] [CrossRef]
- Barreiro-González, A.; Sanz, M.T.; Carratalà-Boscà, S.; Pérez-Miralles, F.; Alcalá, C.; Carreres-Polo, J.; España-Gregori, E.; Casanova, B. Design and Validation of an Expanded Disability Status Scale Model in Multiple Sclerosis. Eur. Neurol. 2022, 85, 112–121. [Google Scholar] [CrossRef]
- Valizadeh, A.; Moassefi, M.; Barati, E.; Sahraian, M.A.; Aghajani, F.; Fattahi, M. Correlation between the clinical disability and T1 hypointense lesions’ volume in cerebral magnetic resonance imaging of multiple sclerosis patients: A systematic review and meta-analysis. CNS Neurosci. Ther. 2021, 27, 1268–1280. [Google Scholar] [CrossRef]
- Hardmeier, M.; Schindler, C.; Kuhle, J.; Fuhr, P. Validation of Quantitative Scores Derived From Motor Evoked Potentials in the Assessment of Primary Progressive Multiple Sclerosis: A Longitudinal Study. Front. Neurol. 2020, 11, 735. [Google Scholar] [CrossRef]
- Schlaeger, R.; Schindler, C.; Grize, L.; Dellas, S.; Radue, E.W.; Kappos, L.; Fuhr, P. Combined visual and motor evoked potentials predict multiple sclerosis disability after 20 years. Mult. Scler. 2014, 20, 1348–1354. [Google Scholar] [CrossRef] [PubMed]
- Chalah, M.A.; Palm, U.; Ayache, S.S. Editorial: Corticospinal Excitability in Patients With Multiple Sclerosis. Front. Neurol. 2021, 11, 635612. [Google Scholar] [CrossRef] [PubMed]
- Neva, J.; Lakhani, B.; Brown, K.; Wadden, K.; Mang, C.; Ledwell, N.; Borich, M.; Vavasour, I.; Laule, C.; Traboulsee, A.; et al. Multiple measures of corticospinal excitability are associated with clinical features of multiple sclerosis. Behav. Brain Res. 2016, 297, 187–195. [Google Scholar] [CrossRef] [PubMed]
- Bassi, M.S.; Buttari, F.; Gilio, L.; De Paolis, N.; Fresegna, D.; Centonze, D.; Iezzi, E. Inflammation and Corticospinal Functioning in Multiple Sclerosis: A TMS Perspective. Front. Neurol. 2020, 11, 566. [Google Scholar] [CrossRef]
- Mamoei, S.; Hvid, L.G.; Jensen, H.B.; Zijdewind, I.; Stenager, E.; Dalgas, U. Neurophysiological impairments in multiple sclerosis—Central and peripheral motor pathways. Acta Neurol. Scand. 2020, 142, 401–417. [Google Scholar] [CrossRef]
- Rossini, P.M.; Burke, D.; Chen, R.; Cohen, L.G.; Daskalakis, Z.; Di Iorio, R.; Di Lazzaro, V.; Ferreri, F.; Fitzgerald, P.B.; George, M.S.; et al. Non-invasive electrical and magnetic stimulation of the brain, spinal cord, roots and peripheral nerves: Basic principles and procedures for routine clinical and research application. An updated report from an I.F.C.N. Committee. Clin. Neurophysiol. 2015, 126, 1071–1107. [Google Scholar] [CrossRef] [PubMed]
- Farmer, S.F.; Harrison, L.M.; Ingram, D.A.; Stephens, J.A. Plasticity of central motor pathways in children with hemiplegic cerebral palsy. Neurology 1991, 41, 1505. [Google Scholar] [CrossRef]
- Carr, L.J.; Harrison, L.M.; Evans, A.L.; Stephens, J.A. Patterns of central motor reorganization in hemiplegic cerebral palsy. Brain 1993, 116, 1223–1247. [Google Scholar] [CrossRef]
- Maegaki, Y.; Maeoka, Y.; Ishii, S.; Shiota, M.; Takeuchi, A.; Yoshino, K.; Takeshita, K. Mechanisms of central motor reorganization in pediatric hemiplegic patients. Neuropediatrics 1997, 28, 168–174. [Google Scholar] [CrossRef]
- Staudt, M.; Grodd, W.; Gerloff, C.; Erb, M.; Stitz, J.; Krägeloh-Mann, I. Two types of ipsilateral reorganization in congenital hemiparesis: A TMS and fMRI study. Brain 2002, 125 Pt 10, 2222–2237. [Google Scholar] [CrossRef]
- Kowalski, J.L.; Nemanich, S.T.; Nawshin, T.; Chen, M.; Peyton, C.; Zorn, E.; Hickey, M.; Rao, R.; Georgieff, M.; Rudser, K.; et al. Motor Evoked Potentials as Potential Biomarkers of Early Atypical Corticospinal Tract Development in Infants with Perinatal Stroke. J. Clin. Med. 2019, 8, 1208. [Google Scholar] [CrossRef] [PubMed]
- Konagaya, Y.; Mano, Y.; Konagaya, M. Magnetic stimulation study in mirror movements. J. Neurol. 1990, 237, 107–109. [Google Scholar] [CrossRef] [PubMed]
- Nezu, A.; Kimura, S.; Takeshita, S.; Tanaka, M. Functional recovery in hemiplegic cerebral palsy: Ipsilateral electromyographic responses to focal transcranial magnetic stimulation. Brain Dev. 1999, 21, 162–165. [Google Scholar] [CrossRef] [PubMed]
- Rich, T.L.; Nemanich, S.; Chen, C.-Y.; Sutter, E.N.; Feyma, T.; Krach, L.; Gillick, B.T. Ipsilateral Corticospinal Tract Excitability Contributes to the Severity of Mirror Movements in Unilateral Cerebral Palsy: A Case Series. Clin. EEG Neurosci. 2020, 51, 185–190. [Google Scholar] [CrossRef]
- Nardone, R.; Langthaler, P.B.; Orioli, A.; Versace, V.; Scarano, G.I.; Brigo, F.; Saltuari, L.; Carnicelli, L.; Trinka, E.; Sebastianelli, L. Ipsilateral motor evoked potentials in a patient with unihemispheric cortical atrophy due to Rasmussen encephalitis. Neural Regen. Res. 2019, 14, 1025–1028. [Google Scholar] [CrossRef]
- Lo, Y.L.; Dan, Y.F.; Tan, Y.E.; Fook-Chong, S.; Tan, S.B.; Tan, C.T.; Raman, S. Intraoperative monitoring study of ipsilateral motor evoked potentials in scoliosis surgery. Eur. Spine J. 2006, 15 (Suppl. S5), 656–660. [Google Scholar] [CrossRef]
- Benecke, R.; Meyer, B.-U.; Freund, H.-J. Reorganisation of descending motor pathways in patients after hemispherectomy and severe hemispheric lesions demonstrated by magnetic brain stimulation. Exp. Brain Res. 1991, 83, 419–426. [Google Scholar] [CrossRef]
- Trunk, B.H.; Ziegler, L.; Gharabaghi, A. Ipsilateral corticospinal maps correspond to severe poststroke motor impairment. Brain Stimul. 2022, 15, 758–760. [Google Scholar] [CrossRef]
- Ziemann, U.; Ishii, K.; Borgheresi, A.; Yaseen, Z.; Battaglia, F.; Hallett, M.; Cincotta, M.; Wassermann, E.M. Dissociation of the pathways mediating ipsilateral and contralateral motor-evoked potentials in human hand and arm muscles. J. Physiol. 1999, 518, 895–906. [Google Scholar] [CrossRef]
- Jankowska, E.; Edgley, S.A. How can corticospinal tract neurons contribute to ipsilateral movements? A question with implications for recovery of motor functions. Neuroscientist 2006, 12, 67–79. [Google Scholar] [CrossRef]
- Brum, M.; Cabib, C.; Valls-Solé, J. Clinical value of the assessment of changes in MEP duration with voluntary contraction. Front. Neurosci. 2015, 9, 505. [Google Scholar] [CrossRef] [PubMed]
- Pantano, P. Contribution of corticospinal tract damage to cortical motor reorganization after a single clinical attack of multiple sclerosis. NeuroImage 2002, 17, 1837–1843. [Google Scholar] [CrossRef] [PubMed]
- Zeller, D.; Dang, S.-Y.; Stefan, K.; Biller, A.; Bartsch, A.; Saur, D.; Bendszus, M.; Rieckmann, P.; Toyka, K.V.; Classen, J. Functional role of ipsilateral motor areas in multiple sclerosis. J. Neurol. Neurosurg. Psychiatry 2010, 82, 578–583. [Google Scholar] [CrossRef] [PubMed][Green Version]
- Peterson, D.S.; Fling, B.W. How changes in brain activity and connectivity are associated with motor performance in people with MS. NeuroImage Clin. 2017, 17, 153–162. [Google Scholar] [CrossRef] [PubMed]
- Fernandez, V.; Valls-Sole, J.; Relova, J.; Raguer, N.; Miralles, F.; Dinca, L.; Taramundi, S.; Costa-Frossard, L.; Ferrándiz, M.; Ramió-Torrentà, L.; et al. Recommendations for the clinical use of motor evoked potentials in multiple sclerosis. Neurologia 2013, 28, 408–416. [Google Scholar] [CrossRef]
- Hannula, H.; Ilmoniemi, R.J. Basic Principles of navigated TMS. In Navigated Transcranial Magnetic Stimulation in Neurosurgery; Krieg, S.M., Ed.; Springer International Publishing AG: Helsinki, Finland, 2017; pp. 3–29. [Google Scholar]
- Yousry, T. Localization of the motor hand area to a knob on the precentral gyrus. A new landmark. Brain 1997, 120, 141–157. [Google Scholar] [CrossRef]
- Sollmann, N.; Goblirsch-Kolb, M.F.; Ille, S.; Butenschoen, V.M.; Boeckh-Behrens, T.; Meyer, B.; Ringel, F.; Krieg, S.M. Comparison between electric-field-navigated and line-navigated TMS for cortical motor mapping in patients with brain tumors. Acta Neurochir. 2016, 158, 2277–2289. [Google Scholar] [CrossRef]
- Danner, N.; Julkunen, P.; Könönen, M.; Säisänen, L.; Nurkkala, J.; Karhu, J. Navigated transcranial magnetic stimulation and computed electric field strength reduce stimulator-dependent differences in the motor threshold. J. Neurosci. Methods 2008, 174, 116–122. [Google Scholar] [CrossRef]
- Schmidt, S.; Bathe-Peters, R.; Fleischmann, R.; Rönnefarth, M.; Scholz, M.; Brandt, S.A. Nonphysiological factors in navigated TMS studies; Confounding covariates and valid intracortical estimates. Hum. Brain Mapp. 2015, 36, 40–49. [Google Scholar] [CrossRef]
- Siebner, H.R.; Funke, K.; Aberra, A.S.; Antal, A.; Bestmann, S.; Chen, R.; Classen, J.; Davare, M.; Di Lazzaro, V.; Fox, P.T.; et al. Transcranial magnetic stimulation of the brain: What is stimulated?—A consensus and critical position paper. Clin. Neurophysiol. 2022, 140, 59–97. [Google Scholar] [CrossRef]
- Nantes, J.C.; Zhong, J.; Holmes, S.A.; Whatley, B.; Narayanan, S.; Lapierre, Y.; Arnold, D.L.; Koski, L. Intracortical inhibition abnormality during the remission phase of multiple sclerosis is related to upper limb dexterity and lesions. Clin. Neurophysiol. 2016, 127, 1503–1511, Erratum in Clin. Neurophysiol. 2017, 128, 393. [Google Scholar] [CrossRef]
- Vidaković, M.R.; Katić, A.Ć.; Jerković, A.; Šoda, J.; Kosta, V.; Mužinić, N.R.; Mastelić, A.; Benzon, B.; Poljičanin, A.; Buljan, I.; et al. Abstracts from the IFESS 2021 conferences (Abstract—45 Neurophysiological impairment in multiple sclerosis patient confirmed by transcranial magnetic stimulation of the central nervous system but not with electrical stimulation of peripheral nervous system). Artif. Organs. 2022, 46, E33–E210. [Google Scholar] [CrossRef]
- Pisa, M.; Chieffo, R.; Giordano, A.; Gelibter, S.; Comola, M.; Comi, G.; Leocani, L. Upper limb motor evoked potentials as outcome measure in progressive multiple sclerosis. Clin. Neurophysiol. 2020, 131, 401–405. [Google Scholar] [CrossRef]
- Mamoei, S.; Jensen, H.B.; Pedersen, A.K.; Nygaard, M.K.E.; Eskildsen, S.F.; Dalgas, U.; Stenager, E. Clinical, Neurophysiological, and MRI Markers of Fampridine Responsiveness in Multiple Sclerosis—An Explorative Study. Front. Neurol. 2021, 12, 758710. [Google Scholar] [CrossRef]
- Yperman, J.; Popescu, V.; Van Wijmeersch, B.; Becker, T.; Peeters, L.M. Motor evoked potentials for multiple sclerosis, a multiyear follow-up dataset. Sci. Data 2022, 9, 207. [Google Scholar] [CrossRef]
- Rogić Vidaković, M.; Ćurković Katić, A.; Pavelin, S.; et al. Corticospinal excitability assessment with navigated TMS corresponds to MRI and the EDSS classifications in relapsing-remitting multiple sclerosis. Eur. J. Neurol. 2022. submitted (in review). [Google Scholar]
- Pisa, M.; Chieffo, R.; Congiu, M.; Costa, G.D.; Esposito, F.; Romeo, M.; Comola, M.; Comi, G.; Leocani, L. Intracortical motor conduction is associated with hand dexterity in progressive multiple sclerosis. Mult. Scler. 2021, 27, 1222–1229. [Google Scholar] [CrossRef]
- Mordillo-Mateos, L.; Soto-Leon, V.; Torres-Pareja, M.; Peinado-Palomino, D.; Mendoza-Laiz, N.; Alonso-Bonilla, C.; Dileone, M.; Rotondi, M.; Aguilar, J.; Oliviero, A. Fatigue in multiple sclerosis: General and perceived fatigue does not depend on corticospinal tract dysfunction. Front. Neurol. 2019, 10, 339. [Google Scholar] [CrossRef]
- Zipser, C.M.; Premoli, I.; Belardinelli, P.; Castellanos, N.; Rivolta, D.; Heidegger, T.; Müller-Dahlhaus, F.; Ziemann, U. Cortical excitability and interhemispheric connectivity in early relapsing–remitting multiple sclerosis studied with TMS-EEG. Front. Neurosci. 2018, 12, 393. [Google Scholar] [CrossRef]
- Cabib, C.; Llufriu, S.; Casanova-Molla, J.; Saiz, A.; Valls-Solé, J. Defective sensorimotor integration in preparation for reaction time tasks in patients with multiple sclerosis. J. Neurophysiol. 2015, 113, 1462–1469. [Google Scholar] [CrossRef] [PubMed]
- Bridoux, A.; Créange, A.; Sangare, A.; Ayache, S.; Hosseini, H.; Drouot, X.; Lefaucheur, J.-P. Impaired sleep-associated modulation of post-exercise corticomotor depression in multiple sclerosis. J. Neurol. Sci. 2015, 354, 91–96. [Google Scholar] [CrossRef] [PubMed]
- Di Sapio, A.; Bertolotto, A.; Melillo, F.; Sperli, F.; Malucchi, S.; Troni, W. A new neurophysiological approach to assess central motor conduction damage to proximal and distal muscles of lower limbs. Clin. Neurophysiol. 2014, 125, 133–141. [Google Scholar] [CrossRef] [PubMed]
- von Meyenburg, J.; Wilm, B.J.; Weck, A.; Petersen, J.; Gallus, E.; Mathys, J.; Schaetzle, E.; Schubert, M.; Boesiger, P.; von Meyenburg, K.; et al. Spinal cord diffusion-tensor imaging and motor-evoked potentials in multiple sclerosis patients: Microstructural and functional asymmetry. Radiology 2013, 267, 869–879. [Google Scholar] [CrossRef]
- Conte, A.; Lenzi, D.; Frasca, V.; Gilio, F.; Giacomelli, E.; Gabriele, M.; Bettolo, C.M.; Iacovelli, E.; Pantano, P.; Pozzilli, C.; et al. Intracortical excitability in patients with relapsing–remitting and secondary progressive multiple sclerosis. J. Neurol. 2009, 256, 933–938. [Google Scholar] [CrossRef]
- Firmin, L.; Müller, S.; Rösler, K.M. The latency distribution of motor evoked potentials in patients with multiple sclerosis. Clin. Neurophysiol. 2012, 123, 2414–2421. [Google Scholar] [CrossRef]
- Steens, A.; Heersema, D.; Maurits, N.; Renken, R.; Zijdewind, I. Mechanisms underlying muscle fatigue differ between multiple sclerosis patients and controls: A combined electrophysiological and neuroimaging study. Neuroimage 2011, 59, 3110–3118. [Google Scholar] [CrossRef]
- Morgante, F.; Dattola, V.; Crupi, D.; Russo, M.; Rizzo, V.; Ghilardi, M.F.; Terranova, C.; Girlanda, P.; Quartarone, A. Is central fatigue in multiple sclerosis a disorder of movement preparation? J. Neurol. 2011, 258, 263–272. [Google Scholar] [CrossRef]
- Thickbroom, G.W.; Sacco, P.; Faulkner, D.L.; Kermode, A.G.; Mastaglia, F.L. Enhanced corticomotor excitability with dynamic fatiguing exercise of the lower limb in multiple sclerosis. J. Neurol. 2008, 255, 1001–1005. [Google Scholar] [CrossRef] [PubMed][Green Version]
- Gagliardo, A.; Galli, F.; Grippo, A.; Amantini, A.; Martinelli, C.; Amato, M.P.; Borsini, W. Motor evoked potentials in multiple sclerosis patients without walking limitation: Amplitude vs. conduction time abnormalities. J. Neurol. 2007, 254, 220–227. [Google Scholar] [CrossRef]
- Thickbroom, G.W.; Sacco, P.; Kermode, A.G.; Archer, S.A.; Byrnes, M.L.; Guilfoyle, A.; Mastaglia, F.L. Central motor drive and perception of effort during fatigue in multiple sclerosis. J. Neurol. 2006, 253, 1048–1053. [Google Scholar] [CrossRef] [PubMed]
- Liepert, J.; Mingers, D.; Heesen, C.; Bäumer, T.; Weiller, C. Motor cortex excitability and fatigue in multiple sclerosis: A transcranial magnetic stimulation study. Mult. Scler. 2005, 11, 316–321. [Google Scholar] [CrossRef] [PubMed]
- Mainero, C.; Inghilleri, M.; Pantano, P.; Conte, A.; Lenzi, D.; Frasca, V.; Bozzao, L.; Pozzilli, C. Enhanced brain motor activity in patients with MS after a single dose of 3,4-diaminopyridine. Neurology 2004, 62, 2044–2050. [Google Scholar] [CrossRef] [PubMed]
- Schubert, M.; Wohlfarth, K.; Rollnik, J.D.; Dengler, R. Walking and fatigue in multiple sclerosis: The role of the corticospinal system. Muscle Nerve 1998, 21, 1068–1070. [Google Scholar] [CrossRef]
- Sheean, G.L.; Murray, N.M.; Rothwell, J.; Miller, D.H.; Thompson, A. An electrophysiological study of the mechanism of fatigue in multiple sclerosis. Brain 1997, 120 Pt 2, 299–315. [Google Scholar] [CrossRef]
- Haddad, A.F.; Young, J.S.; Berger, M.S.; Tarapore, P.E. Preoperative Applications of Navigated Transcranial Magnetic Stimulation. Front. Neurol. 2021, 11, 628903. [Google Scholar] [CrossRef]
- Soda, J.; Vidakovic, M.R.; Lorincz, J.; Jerkovic, A.; Vujovic, I. A Novel Latency Estimation Algorithm of Motor Evoked Potential Signals. IEEE Access 2020, 8, 193356–193374. [Google Scholar] [CrossRef]
- Giridharan, S.R.; Gupta, D.; Pal, A.; Mishra, A.M.; Hill, N.J.; Carmel, J.B. Motometrics: A toolbox for annotation and efficient analysis of motor evoked potentials. Front. Neuroinform. 2019, 13, 8. [Google Scholar] [CrossRef]
- Harquel, S.; Beynel, L.; Guyader, N.; Marendaz, C.; David, O.; Chauvin, A. CortExTool: A Toolbox for Processing Motor Cortical Excitability Measurements by Transcranial Magnetic Stimulation. 2016. Available online: https://hal.archives-ouvertes.fr/hal-01390016 (accessed on 15 November 2022).
- Harquel, S. Robotized Transcranial Magnetic Stimulation: From Automatized Protocols towards New Approaches in Functional Neu Roimaging. Ph.D. Dissertation, Grenoble Institut des Neurosciences, Laboratoire de Psychologie et NeuroCognition, Neurosciences, Université Greno ble-Alpes, Grenoble, France, 2017. Available online: https://tel.archives-ouvertes.fr/tel-01504993 (accessed on 15 November 2022).
- MEPHunter, a Free Software for Signal Visualization and Analysis; NeuroMat: Paulo, Brazil, 2014.
- Bigoni, C.; Cadic-Melchior, A.; Vassiliadis, P.; Morishita, T.; Hummel, F.C. An automatized method to determine latencies of motor-evoked potentials under physiological and pathophysiological conditions. J. Neural Eng. 2022, 19, 024002. [Google Scholar] [CrossRef]
- Saari, J.; Kallioniemi, E.; Tarvainen, M.; Julkunen, P. Oscillatory TMS-EEG-Responses as a Measure of the Cortical Excitability Threshold. IEEE Trans. Neural Syst. Rehabil. Eng. 2018, 26, 383–391. [Google Scholar] [CrossRef]
- Pearce, A.J.; Clark, R.; Kidgell, D. A Comparison of two methods in acquiring stimulus–response curves with transcranial magnetic stimulation. Brain Stimul. 2013, 6, 306–309. [Google Scholar] [CrossRef]
- Houdayer, E.; Degardin, A.; Cassim, F.; Bocquillon, P.; Derambure, P.; Devanne, H. The effects of low- and high-frequency repetitive TMS on the input/output properties of the human corticospinal pathway. Exp. Brain Res. 2008, 187, 207–217. [Google Scholar] [CrossRef] [PubMed]
- Niehaus, L.; Meyer, B.-U.; Weyh, T. Influence of pulse configuration and direction of coil current on excitatory effects of magnetic motor cortex and nerve stimulation. Clin. Neurophysiol. 2000, 111, 75–80. [Google Scholar] [CrossRef] [PubMed]
- Devanne, H.; Lavoie, B.A.; Capaday, C. Input-output properties and gain changes in the human corticospinal pathway. Exp. Brain Res. 1997, 114, 329–338. [Google Scholar] [CrossRef] [PubMed]
- Goetz, S.M.; Luber, B.; Lisanby, S.H.; Peterchev, A. A Novel Model Incorporating Two Variability Sources for Describing Motor Evoked Potentials. Brain Stimul. 2014, 7, 541–552. [Google Scholar] [CrossRef]
- Goetz, S.M.; Alavi, S.M.M.; Deng, Z.-D.; Peterchev, A.V. Statistical Model of Motor-Evoked Potentials. IEEE Trans. Neural Syst. Rehabil. Eng. 2019, 27, 1539–1545. [Google Scholar] [CrossRef] [PubMed]
- Pasqualetti, P.; Ferreri, F. W14.4 Amplitude values of motor evoked potentials: Statistical properties and neurophysiological implications. Clin. Neurophysiol. 2011, 122 (Suppl. S1), S44–S45. [Google Scholar] [CrossRef]
- Fadiga, L.; Fogassi, L.; Pavesi, G.; Rizzolatti, G. Motor facilitation during action observation: A magnetic stimulation study. J. Neurophysiol. 1995, 73, 2608–2611. [Google Scholar] [CrossRef]
- Kiers, L.; Cros, D.; Chiappa, K.H.; Fang, J. Variability of motor potentials evoked by transcranial magnetic stimulation. Electroencephalogr. Clin. Neurophysiol. 1993, 89, 415–423. [Google Scholar] [CrossRef]
- Amassian, V.E.; Cracco, R.Q.; Maccabee, P.J. Focal stimulation of human cerebral cortex with the magnetic coil: A comparison with electrical stimulation. Electroencephalogr. Clin. Neurophysiol. 1989, 74, 401–416. [Google Scholar] [CrossRef]
- Nieminen, E.A.; Nieminen, J.O.; Stenroos, M.; Novikov, P.; Nazarova, M.; Vaalto, S.; Nikulin, V.; Ilmoniemi, R.J. Accuracy and precision of navigated transcranial magnetic stimulation. J. Neural Eng. 2022, 19, 066037, accepted. [Google Scholar] [CrossRef] [PubMed]
- Spetzger, U.; Hubbe, U.; Struffert, T.; Reinges, M.H.T.; Krings, T.; Krombach, G.A.; Zentner, J.; Gilsbach, J.M.; Stiehl, H.S. Error analysis in cranial neuronavigation. Minim Invasive Neurosurg. 2002, 45, 6–10. [Google Scholar] [CrossRef] [PubMed]
- Widmann, G.; Schullian, P.; Ortler, M.; Bale, R. Frameless stereotactic targeting devices: Technical features, targeting errors and clinical results. Int. J. Med. Robot. 2011, 8, 1–16. [Google Scholar] [CrossRef] [PubMed]
- Saturnino, G.B.; Thielscher, A.; Madsen, K.H.; Knösche, T.R.; Weise, K. A principled approach to conductivity uncertainty analysis in electric field calculations. Neuroimage 2018, 188, 821–834. [Google Scholar] [CrossRef]






| Resting Motor Threshold (RMT) (Referent Values) * (%) | RMT Left Hemisphere (Right Side Extremities) (%) | RMT Right Hemisphere (Left Side Extremities) (%) | MEP Latency (ms) (Referent Values) * | Extremities Right Side | Extremities Left Side | |||
|---|---|---|---|---|---|---|---|---|
| Muscles | MEP Latency (ms) | MEP Amplitude (µV) | MEP Latency (ms) | MEP Amplitude (µV) | ||||
| APB | ≤/41 | 36 | 37 | 21 ± 0.7 | 31.75 | 160.65 | 30 | 99.73 |
| ADM | ≤56 | 42 | 37 | 20 ± 0.7 | 30.79 | 69.97 | 30 | 104.50 |
| TA | 60–80 | 79 | 80 | 28 ± 1.2 | 47.08 | 17.87 | - | - |
| AH | 55–75 | 79 | 80 | 40 ± 1.5 | 60 | 82.07 | 58.16 | 284.57 |
| Resting Motor Threshold (RMT) (Referent Values) * (%) | RMT left Hemisphere (Right Side Extremities) (%) | RMT Right Hemisphere (Left Side Extremities) (%) | MEP Latency (ms) (Referent Values) * | Extremities Right Side | Extremities Left Side | |||
|---|---|---|---|---|---|---|---|---|
| Muscles | MEP Latency (ms) | MEP Amplitude (µV) | MEP Latency (ms) | MEP Amplitude (µV) | ||||
| APB | ≤/41 | 51 | 44 | 21 ± 0.7 | 26.63 | 288.64 | 27 | 245.81 |
| ADM | ≤56 | 51 | 44 | 20 ± 0.7 | 25.83 | 112.08 | 25 | 93.87 |
| TA | 60–80 | 87 | 82 | 28 ± 1.2 | 40.00 | 105.31 | 36.40 | 85.90 |
| AH | 55–75 | 87 | 82 | 40 ± 1.5 | 51.98 | 242.43 | 46.45 | 142.63 |
Disclaimer/Publisher’s Note: The statements, opinions and data contained in all publications are solely those of the individual author(s) and contributor(s) and not of MDPI and/or the editor(s). MDPI and/or the editor(s) disclaim responsibility for any injury to people or property resulting from any ideas, methods, instructions or products referred to in the content. |
© 2023 by the authors. Licensee MDPI, Basel, Switzerland. This article is an open access article distributed under the terms and conditions of the Creative Commons Attribution (CC BY) license (https://creativecommons.org/licenses/by/4.0/).
Share and Cite
Šoda, J.; Pavelin, S.; Vujović, I.; Rogić Vidaković, M. Assessment of Motor Evoked Potentials in Multiple Sclerosis. Sensors 2023, 23, 497. https://doi.org/10.3390/s23010497
Šoda J, Pavelin S, Vujović I, Rogić Vidaković M. Assessment of Motor Evoked Potentials in Multiple Sclerosis. Sensors. 2023; 23(1):497. https://doi.org/10.3390/s23010497
Chicago/Turabian StyleŠoda, Joško, Sanda Pavelin, Igor Vujović, and Maja Rogić Vidaković. 2023. "Assessment of Motor Evoked Potentials in Multiple Sclerosis" Sensors 23, no. 1: 497. https://doi.org/10.3390/s23010497
APA StyleŠoda, J., Pavelin, S., Vujović, I., & Rogić Vidaković, M. (2023). Assessment of Motor Evoked Potentials in Multiple Sclerosis. Sensors, 23(1), 497. https://doi.org/10.3390/s23010497

