Research on Root Strain Response Characteristics of Inner Ring of Planetary Gear Transmission System with Crack Fault
Abstract
:1. Introduction
2. Construction of Planetary Transmission System Model
2.1. The Parameters of the Planetary Transmission Gearbox
2.2. Construction of System Dynamics Model
2.3. Solution of Time-Varying Meshing Stiffness
2.4. Calculation of Gear Fault Stiffness
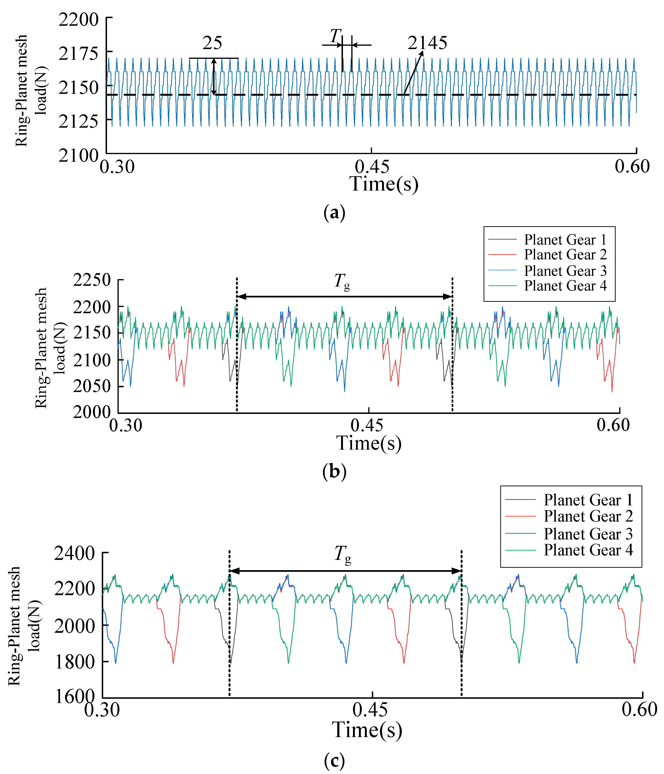
3. Dynamic Load Analysis of Crack Fault
4. Solution of Response of Finite Element Model of Inner Ring
5. Experimental Verification
6. Strain Analysis
6.1. Analysis of Failure Strain Results of Sun Gear Tooth
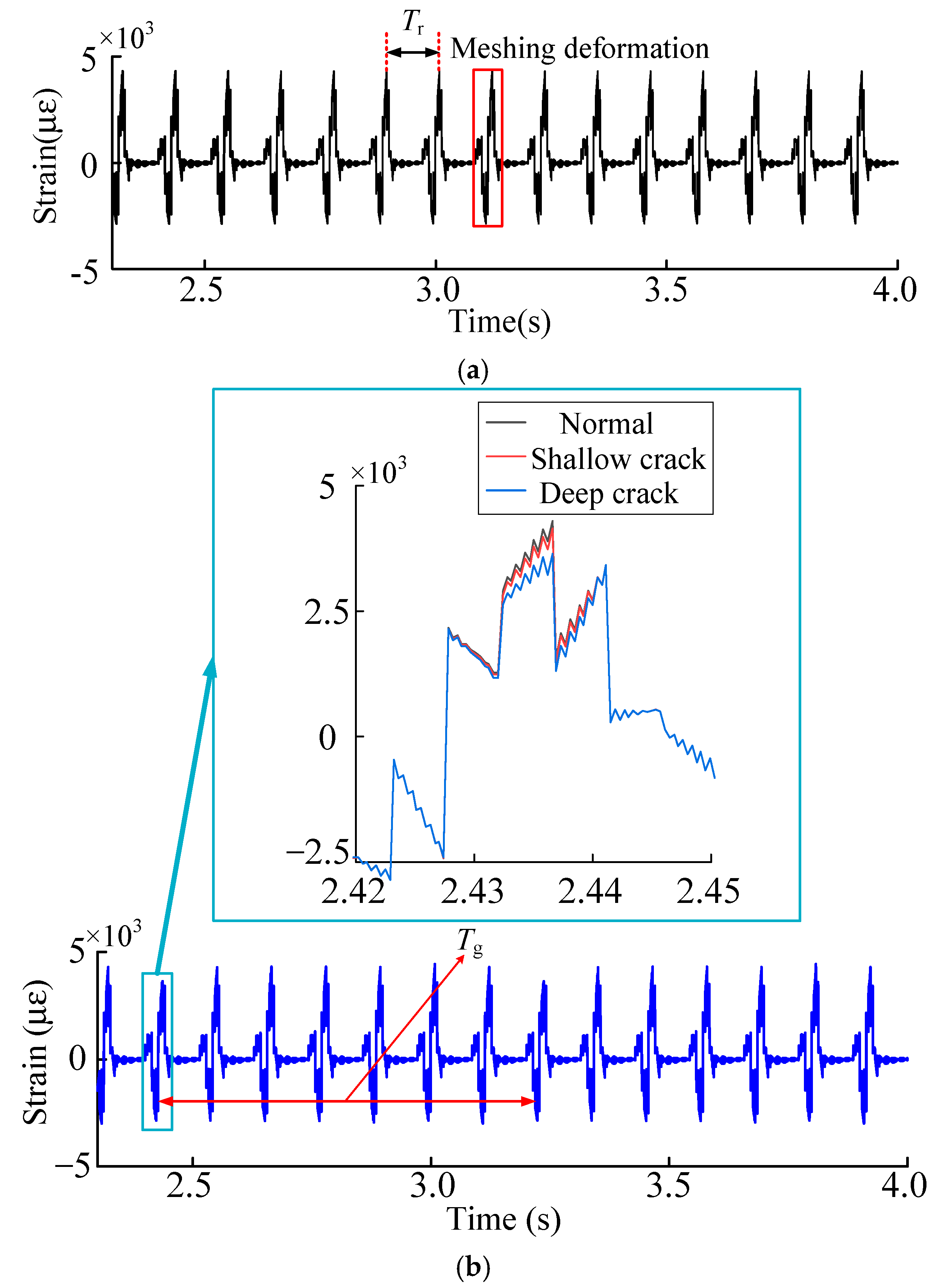
6.2. Fault Strain Analysis of Inner Ring Teeth Crack
6.3. Crack Damage Discrimination
7. Conclusions
- (1)
- When the sun wheel tooth cracks occur, the fault signal of tooth root strain will occur only if the tooth has meshed with the fault tooth. In contrast, when the tooth root cracks occur in the inner ring tooth, the strain at the tooth root position will fluctuate due to the influence of the crack, regardless of whether there is a planetary wheel meshing with the cracked tooth.
- (2)
- The strain signals under the sun wheel and inner ring crack fault can be distinguished by the fast spectrum kurtosis method (FSK).
- (3)
- According to the strain signal characteristics of the sun wheel’s crack fault and the inner ring’s crack fault, the damage degree of the crack fault of the sun wheel can be identified by the Lempel–Ziv algorithm. The damage degree of the crack fault of the inner ring can be identified by the root mean square index.
Author Contributions
Funding
Institutional Review Board Statement
Informed Consent Statement
Conflicts of Interest
References
- McNames, J. Fourier series analysis of epicyclic gearbox vibration. J. Vib. Acoust. 2001, 124, 150–152. [Google Scholar] [CrossRef]
- Cammalleri, M.; Castellano, A. Analysis of hybrid vehicle transmissions with any number of modes and planetary gearing: Kinematics, power flows, mechanical power losses. Mech. Mach. Theory 2021, 162, 104350. [Google Scholar] [CrossRef]
- Chaari, F.; Fakhfakh, T.; Haddar, M. Analytical investigation on the effect of gear teeth faults on the dynamic response of a planetary gear set. Noise Vib. Worldw. 2009, 37, 9–15. [Google Scholar] [CrossRef]
- Chaari, F.; Fakhfakh, T.; Hbaieb, R.; Louati, J.; Haddar, M. Inflfluence of manufacturing errors on the dynamic behavior of planetary gears. Int. J. Adv. Manuf. Technol. 2006, 27, 738–746. [Google Scholar] [CrossRef]
- Park, S.; Lee, J.; Moon, U.; Kim, D. Failure analysis of a planetary gear carrier of 1200HP transmission. Eng. Fail. Anal. 2010, 17, 521–529. [Google Scholar] [CrossRef]
- Yuksel, C.; Kahraman, A. Dynamic tooth loads of planetary gear sets having tooth profile wear. Mech. Mach. Theory 2004, 39, 695–715. [Google Scholar] [CrossRef]
- Han, H.Z.; Zhao, Z.F.; Tian, H.X. Fault feature analysis of planetary gear set influenced by cracked gear tooth and pass effect of the planet gears. Eng. Fail. Anal. 2021, 2021, 105162. [Google Scholar] [CrossRef]
- Yang, L.T.; Wang, L.M.; Yu, W.N.; Shao, Y.M. Investigation of tooth crack opening state on time varying meshing stiffness and dynamic response of spur gear pair. Eng. Fail. Anal. 2021, 121, 105181. [Google Scholar] [CrossRef]
- Li, Z.; Ma, H.; Feng, M.; Zhu, Y.; Wen, B. Meshing characteristics of spur gear pair under different crack types. Eng. Fail. Anal. 2017, 80, 123–140. [Google Scholar] [CrossRef]
- Barszcz, T.; Randall, R.B. Application of spectral kurtosis for detection of a tooth crack in the planetary gear of a wind turbine. Mech. Syst. Signal Process. 2009, 23, 1352–1365. [Google Scholar] [CrossRef]
- Vicuña, C.M. Theoretical frequency analysis of vibrations from planetary gearboxes. Forsch Ing. 2012, 76, 15–31. [Google Scholar]
- Feng, Z.P.; Zuo, M.J. Vibration signal models for fault diagnosis of planetary gearboxes. J. Vib. Acoust. 2012, 331, 4919–4939. [Google Scholar] [CrossRef]
- Feng, Z.P.; Zuo, M.J. Fault diagnosis of planetary gearboxes via torsional vibration signal analysis. Mech. Syst. Signal Process. 2013, 36, 401–421. [Google Scholar] [CrossRef]
- Wu, X.; Meagher, J.; Sommer, A. A differential planetary gear model with backlash and teeth damage. Shock Vib. 2011, 5, 203–215. [Google Scholar]
- Liang, X.; Zuo, M.J.; Pandey, M. Analytically evaluating the influence of crack on the mesh stiffness of a planetary gear set. Mech. Mach. Theory 2014, 76, 20–38. [Google Scholar] [CrossRef]
- Lei, Y.G.; Lu, X.; Liu, Z.Y. Vibration Signal Simulation and Fault Diagnosis of Planetary Gearboxes Based on Transmission Mechanism Analysis. J. Mech. Eng. 2016, 52, 111–122. [Google Scholar] [CrossRef]
- Xiao, Z.M.; Huan, L.R.; Cao, J.X. Influence of crack fault on the dynamical characteristics of a planetary gear transmission system. J. Vib. Shock 2020, 39, 188–194. [Google Scholar]
- Tatar, A.; Schwingshackl, C.W.; Friswell, M.I. Modal sensitivity of three-dimensional planetary geared rotor systems to planet gear parameters. Appl. Math. Model. 2023, 113, 309–332. [Google Scholar] [CrossRef]
- Sanchez-Espiga, J.; Fernandez-del-Rincon, A.; Iglesias, M.; Viadero, F. Planetary gear transmissions load sharing measurement from tooth root strains: Numerical evaluation of mesh phasing influence. Mech. Mach. Theory 2021, 163, 104370. [Google Scholar] [CrossRef]
- Antoni, J. The spectral kurtosis: A useful tool for characterising non-stationary signals. Mech. Syst. Signal Process. 2006, 20, 282–307. [Google Scholar] [CrossRef]
- Dwyer, R. Detection of non-Gaussian signals by frequency domain kurtosis estimation. In Proceedings of the IEEE International Conference on Acoustics, Speech, and Signal Processing (ICASSP’83), Boston, MA, USA, 14–16 April 1983; Volume 8, pp. 607–610. [Google Scholar]
- Antoni, J. Fast computation of the kurtogram for the detection of transient faults. Mech. Syst. Signal Process. 2007, 21, 108–124. [Google Scholar] [CrossRef]






























| Name | Sun | Planet | Ring |
|---|---|---|---|
| Tooth number | 28 | 36 | 100 |
| Tooth width/mm | 10 | 10 | 10 |
| Modulus/mm | 1 | 1 | 1 |
| Pressure angle/° | 20 | 20 | 20 |
| Mass/kg | 0.0356 | 0.0544 | 0.432 |
| Moment of inertia/(kg·m2) | 0.00047 | 0.00121 | 0.143 |
Disclaimer/Publisher’s Note: The statements, opinions and data contained in all publications are solely those of the individual author(s) and contributor(s) and not of MDPI and/or the editor(s). MDPI and/or the editor(s) disclaim responsibility for any injury to people or property resulting from any ideas, methods, instructions or products referred to in the content. |
© 2022 by the authors. Licensee MDPI, Basel, Switzerland. This article is an open access article distributed under the terms and conditions of the Creative Commons Attribution (CC BY) license (https://creativecommons.org/licenses/by/4.0/).
Share and Cite
Chen, L.; Zhang, X.; Wang, L. Research on Root Strain Response Characteristics of Inner Ring of Planetary Gear Transmission System with Crack Fault. Sensors 2023, 23, 253. https://doi.org/10.3390/s23010253
Chen L, Zhang X, Wang L. Research on Root Strain Response Characteristics of Inner Ring of Planetary Gear Transmission System with Crack Fault. Sensors. 2023; 23(1):253. https://doi.org/10.3390/s23010253
Chicago/Turabian StyleChen, Lan, Xiangfeng Zhang, and Lizhong Wang. 2023. "Research on Root Strain Response Characteristics of Inner Ring of Planetary Gear Transmission System with Crack Fault" Sensors 23, no. 1: 253. https://doi.org/10.3390/s23010253
APA StyleChen, L., Zhang, X., & Wang, L. (2023). Research on Root Strain Response Characteristics of Inner Ring of Planetary Gear Transmission System with Crack Fault. Sensors, 23(1), 253. https://doi.org/10.3390/s23010253
