QUantitative and Automatic Atmospheric Correction (QUAAC): Application and Validation
Abstract
:1. Introduction
2. Materials and Methods
2.1. Digital Elevation Model
2.2. GF-2 Satellite Data
2.3. Aerosol Products from Himawari-8 Satellite
2.4. QUAAC Algorithm
2.5. QUAAC Validation
2.5.1. Measured Surface Reflectance (MSR) Data
2.5.2. Statistical Index
3. Results and Discussion
3.1. Image Quality Evaluation
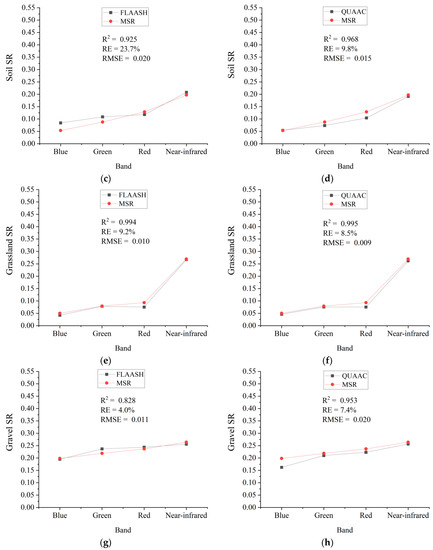
3.2. Validation of Spectral Reflectance on Different Surface Types
3.3. Validation on Different Spectral Bands
4. Conclusions
Author Contributions
Funding
Institutional Review Board Statement
Informed Consent Statement
Data Availability Statement
Acknowledgments
Conflicts of Interest
References
- Schaepman-Strub, G.; Schaepman, M.E.; Painter, T.H.; Dangel, S.; Martonchik, J.V. Reflectance Quantities in Optical Remote Sensing—Definitions and Case Studies. Remote Sens. Environ. 2006, 103, 27–42. [Google Scholar] [CrossRef]
- Bernardo, N.; Watanabe, F.; Rodrigues, T.; Alcantara, E. Atmospheric Correction Issues for Retrieving Total Suspended Matter Concentrations in Inland Waters Using OLI/Landsat-8 Image. Adv. Space Res. 2017, 59, 2335–2348. [Google Scholar] [CrossRef] [Green Version]
- Pérez, A.M.; Illera, P.; Casanova, J.L. Analysis of Different Models for Atmospheric Correction of Meteosat Infrared Images. A New Approach. Atmos. Res. 1993, 30, 1–12. [Google Scholar] [CrossRef]
- Nazeer, M.; Ilori, C.O.; Bilal, M.; Nichol, J.E.; Wu, W.; Qiu, Z.; Gayene, B.K. Evaluation of Atmospheric Correction Methods for Low to High Resolutions Satellite Remote Sensing Data. Atmos. Res. 2021, 249, 105308. [Google Scholar] [CrossRef]
- Chavez Jr, P.S. An Improved Dark-Object Subtraction Technique for Atmospheric Scattering Correction of Multispectral Data. Remote Sens. Environ. 1988, 24, 459–479. [Google Scholar] [CrossRef]
- Smith, G.M.; Milton, E.J. The Use of the Empirical Line Method to Calibrate Remotely Sensed Data to Reflectance. Null 1999, 20, 2653–2662. [Google Scholar] [CrossRef]
- Kotchenova, S.Y.; Vermote, E.F.; Matarrese, R.; Klemm, F.J. Validation of a Vector Version of the 6S Radiative Transfer Code for Atmospheric Correction of Satellite Data. Part I: Path Radiance. Appl. Opt. 2006, 45, 6762–6774. [Google Scholar] [CrossRef] [Green Version]
- Berk, A.; Anderson, G.P.; Acharya, P.K.; Bernstein, L.S.; Muratov, L.; Lee, J.; Fox, M.; Adler-Golden, S.M.; Chetwynd, J.H.; Hoke, M.L.; et al. MODTRAN 5: A Reformulated Atmospheric Band Model with Auxiliary Species and Practical Multiple Scattering Options: Update. In Proceedings of the Algorithms and Technologies for Multispectral, Hyperspectral, and Ultraspectral Imagery XI, Orlando, FL, USA, 28 March–1 April 2005; International Society for Optics and Photonics: Bellingham, WA, USA, 2005; Volume 5806, pp. 662–667. [Google Scholar]
- Nazeer, M.; Nichol, J.E.; Yung, Y.K. Evaluation of Atmospheric Correction Models and Landsat Surface Reflectance Product in an Urban Coastal Environment. Int. J. Remote Sens. 2014, 35, 6271–6291. [Google Scholar] [CrossRef]
- Mahiny, A.S.; Turner, B.J. A Comparison of Four Common Atmospheric Correction Methods. Photogramm. Eng. Remote Sens. 2007, 73, 361–368. [Google Scholar] [CrossRef]
- Bassani, C.; Manzo, C.; Braga, F.; Bresciani, M.; Giardino, C.; Alberotanza, L. The Impact of the Microphysical Properties of Aerosol on the Atmospheric Correction of Hyperspectral Data in Coastal Waters. Atmos. Meas. Tech. 2015, 8, 1593–1604. [Google Scholar] [CrossRef]
- Wang, Y.; Xue, Y.; Guang, J.; Mei, L.; Hou, T.; Li, Y.; Xu, H. Simultaneously Retrieval of Aerosol Optical Depth and Surface Albedo with FY-2 Geostationary Data. In Proceedings of the 2011 IEEE International Geoscience and Remote Sensing Symposium, Vancouver, BC, Canada, 24–29 July 2011; pp. 2912–2914. [Google Scholar]
- Jha, S.S.; Manohar Kumar, C.; Nidamanuri, R.R. Flexible Atmospheric Compensation Technique (FACT): A 6S Based Atmospheric Correction Scheme for Remote Sensing Data. Geocarto Int. 2021, 36, 28–46. [Google Scholar] [CrossRef]
- Yu, K.; Liu, S.; Zhao, Y. CPBAC: A Quick Atmospheric Correction Method Using the Topographic Information. Remote Sens. Environ. 2016, 186, 262–274. [Google Scholar] [CrossRef]
- Katkovsky, L.V.; Martinov, A.O.; Siliuk, V.A.; Ivanov, D.A.; Kokhanovsky, A.A. Fast Atmospheric Correction Method for Hyperspectral Data. Remote Sens. 2018, 10, 1698. [Google Scholar] [CrossRef] [Green Version]
- Cao, H.; Han, L.; Zhang, T.; Li, L. An Atmospheric Correction Algorithm For GF-2 Image Based On Radiative Transfer Model. In Proceedings of the IOP Conference Series: Materials Science and Engineering, Guangzhou, China, 18 December 2020; IOP Publishing: Bristol, UK, 2020; Volume 780, p. 032040. [Google Scholar]
- Ju, J.; Roy, D.P.; Vermote, E.; Masek, J.; Kovalskyy, V. Continental-Scale Validation of MODIS-Based and LEDAPS Landsat ETM+ Atmospheric Correction Methods. Remote Sens. Environ. 2012, 122, 175–184. [Google Scholar] [CrossRef] [Green Version]
- Basith, A.; Nuha, M.U.; Prastyani, R.; Winarso, G. Aerosol Optical Depth (AOD) Retrieval for Atmospheric Correction in Landsat-8 Imagery Using Second Simulation of a Satellite Signal in the Solar Spectrum-Vector (6SV). Commun. Sci. Technol. 2019, 4, 68–73. [Google Scholar] [CrossRef] [Green Version]
- Li, S.; Wang, W.; Hashimoto, H.; Xiong, J.; Vandal, T.; Yao, J.; Qian, L.; Ichii, K.; Lyapustin, A.; Wang, Y.; et al. First Provisional Land Surface Reflectance Product from Geostationary Satellite Himawari-8 AHI. Remote Sens. 2019, 11, 2990. [Google Scholar] [CrossRef] [Green Version]
- Yang, J.; Zhang, Z.; Wei, C.; Lu, F.; Guo, Q. Introducing the New Generation of Chinese Geostationary Weather Satellites, Fengyun-4. Bull. Am. Meteorol. Soc. 2017, 98, 1637–1658. [Google Scholar] [CrossRef]
- Wang, W.; Wang, Y.; Lyapustin, A.; Hashimoto, H.; Park, T.; Michaelis, A.; Nemani, R. A Novel Atmospheric Correction Algorithm to Exploit the Diurnal Variability in Hypertemporal Geostationary Observations. Remote Sens. 2022, 14, 964. [Google Scholar] [CrossRef]
- Sun, J.; Xu, F.; Cervone, G.; Gervais, M.; Wauthier, C.; Salvador, M. Automatic Atmospheric Correction for Shortwave Hyperspectral Remote Sensing Data Using a Time-Dependent Deep Neural Network. ISPRS J. Photogramm. Remote Sens. 2021, 174, 117–131. [Google Scholar] [CrossRef]
- Mukherjee, S.; Joshi, P.K.; Mukherjee, S.; Ghosh, A.; Garg, R.D.; Mukhopadhyay, A. Evaluation of Vertical Accuracy of Open Source Digital Elevation Model (DEM). Int. J. Appl. Earth Obs. Geoinf. 2013, 21, 205–217. [Google Scholar] [CrossRef]
- Dong, Y.; Zhao, J.; Floricioiu, D.; Krieger, L. Automatic Calving Front Extraction from Digital Elevation Model-Derived Data. Remote Sens. Environ. 2022, 270, 112854. [Google Scholar] [CrossRef]
- Zhao, L.; Zhou, W.; Peng, Y.; Hu, Y.; Ma, T.; Xie, Y.; Wang, L.; Liu, J.; Liu, Z. A New AG-AGB Estimation Model Based on MODIS and SRTM Data in Qinghai Province, China. Ecol. Indic. 2021, 133, 108378. [Google Scholar] [CrossRef]
- Li, X.; Lin, H.; Long, J.; Xu, X. Mapping the Growing Stem Volume of the Coniferous Plantations in North China Using Multispectral Data from Integrated GF-2 and Sentinel-2 Images and an Optimized Feature Variable Selection Method. Remote Sens. 2021, 13, 2740. [Google Scholar] [CrossRef]
- Wang, Z.; Liu, S.; Dai, J. Registration Strategy for GF-2 Satellite Multispectral and Panchromatic Images. Spacecr. Recovery Remote Sens. 2015, 36, 48–53. [Google Scholar]
- Li, Y.; Wang, C.; Wright, A.; Liu, H.; Zhang, H.; Zong, Y. Combination of GF-2 High Spatial Resolution Imagery and Land Surface Factors for Predicting Soil Salinity of Muddy Coasts. CATENA 2021, 202, 105304. [Google Scholar] [CrossRef]
- Chen, X.; Xing, J.; Liu, L.; Li, Z.; Mei, X.; Fu, Q.; Xie, Y.; Ge, B.; Li, K.; Xu, H. In-Flight Calibration of GF-1/WFV Visible Channels Using Rayleigh Scattering. Remote Sens. 2017, 9, 513. [Google Scholar] [CrossRef] [Green Version]
- Bessho, K.; Date, K.; Hayashi, M.; Ikeda, A.; Imai, T.; Inoue, H.; Kumagai, Y.; Miyakawa, T.; Murata, H.; Ohno, T.; et al. An Introduction to Himawari-8/9—Japan’s New-Generation Geostationary Meteorological Satellites. J. Meteorol. Soc. Jan. Ser. II 2016, 94, 151–183. [Google Scholar] [CrossRef] [Green Version]
- Takeuchi, Y. An Introduction of Advanced Technology for Tropical Cyclone Observation, Analysis and Forecast in JMA. Trop. Cyclone Res. Rev. 2018, 7, 153–163. [Google Scholar]
- Lagrosas, N.; Xiafukaiti, A.; Kuze, H.; Shiina, T. Assessment of Nighttime Cloud Cover Products from MODIS and Himawari-8 Data with Ground-Based Camera Observations. Remote Sens. 2022, 14, 960. [Google Scholar] [CrossRef]
- Tan, J.; Yang, Q.; Hu, J.; Huang, Q.; Chen, S. Tropical Cyclone Intensity Estimation Using Himawari-8 Satellite Cloud Products and Deep Learning. Remote Sens. 2022, 14, 812. [Google Scholar] [CrossRef]
- Chen, X.; Zhao, L.; Zheng, F.; Li, J.; Li, L.; Ding, H.; Zhang, K.; Liu, S.; Li, D.; de Leeuw, G. Neural Network AEROsol Retrieval for Geostationary Satellite (NNAeroG) Based on Temporal, Spatial and Spectral Measurements. Remote Sens. 2022, 14, 980. [Google Scholar] [CrossRef]
- She, L.; Zhang, H.K.; Li, Z.; de Leeuw, G.; Huang, B. Himawari-8 Aerosol Optical Depth (AOD) Retrieval Using a Deep Neural Network Trained Using AERONET Observations. Remote Sens. 2020, 12, 4125. [Google Scholar] [CrossRef]
- Zhao, S.; Ni, C.; Cao, J.; Li, Z.; Chen, X.; Ma, Y.; Yang, L.; Hou, W.; Qie, L.; Ge, B.; et al. A Parallel Method of Atmospheric Correction for Multispectral High Spatial Resolution Remote Sensing Images. In Proceedings of the MIPPR 2017: Remote Sensing Image Processing, Geographic Information Systems, and Other Applications, Xiangyang, China, 29–29 October 2017; International Society for Optics and Photonics: Bellingham, WA, USA, 2017; Volume 10611, p. 1061109. [Google Scholar]
- Origo, N.; Gorroño, J.; Ryder, J.; Nightingale, J.; Bialek, A. Fiducial Reference Measurements for Validation of Sentinel-2 and Proba-V Surface Reflectance Products. Remote Sens. Environ. 2020, 241, 111690. [Google Scholar] [CrossRef]
- Jianan, Z. Comparative Study on Remote Sensing Image Fusion Algorithms for GF-1 Satellite Images. Geospat. Inf. 2016, 14, 47–49. [Google Scholar]
- Moravec, D.; Komárek, J.; López-Cuervo Medina, S.; Molina, I. Effect of Atmospheric Corrections on NDVI: Intercomparability of Landsat 8, Sentinel-2, and UAV Sensors. Remote Sens. 2021, 13, 3550. [Google Scholar] [CrossRef]
- Zhou, W.; Wang, F.; Wang, X.; Tang, F.; Li, J. Evaluation of Multi-Source High-Resolution Remote Sensing Image Fusion in Aquaculture Areas. Appl. Sci. 2022, 12, 1170. [Google Scholar] [CrossRef]
- Bui, Q.-T.; Jamet, C.; Vantrepotte, V.; Mériaux, X.; Cauvin, A.; Mograne, M.A. Evaluation of Sentinel-2/MSI Atmospheric Correction Algorithms over Two Contrasted French Coastal Waters. Remote Sens. 2022, 14, 1099. [Google Scholar] [CrossRef]
- Yang, K.; Chen, Y.; Yang, Y.; Shen, W. A New Fast Atmospheric Correction Method for Landsat 8 Images. In Proceedings of the AOPC 2021: Optical Spectroscopy and Imaging, Beijing, China, 23–25 June 2021; Volume 12064, pp. 112–117. [Google Scholar]










| Load | Band | Band Range | Spatial Resolution |
|---|---|---|---|
| Panchromatic and Multispectral Camera | 1 | 0.45 µm–0.90 µm | 1 m |
| 2 | 0.45 µm–0.52 µm | 4 m | |
| 3 | 0.52 µm–0.59 µm | ||
| 4 | 0.63 µm–0.69 µm | ||
| 5 | 0.77 µm–0.89 µm |
| AOT_Uncertainty (t) | Confidence Level |
|---|---|
| Very good | |
| Good | |
| NO_Conf |
| Location | Longitude and Latitude | Data | AOD | DEM Value (km) |
|---|---|---|---|---|
| Dongting Lake | E113.5, N29.2 | 11 November 2020 | 0.042 | 0.140 |
| E112.2, N29.2 | 15 January 2021 | 0.700 | 0.028 | |
| E113.0, N29.4 | 23 April 2021 | 0.233 | 0.028 | |
| Qiyang | E112.0, N26.5 | 3 September 2021 | 0.052 | 0.296 |
| E111.8, N26.7 | 6 July 2021 | 0.175 | 0.226 | |
| Guyuan | E116.0, N41.7 | 10 August 2020 | 0.050 | 1.488 |
| Guangzhou | E113.2, N23.5 | 29 January 2021 | 0.142 | 0.141 |
| Xilinhot | E115.5, N45.2 | 27 June 2020 | 0.019 | 1.277 |
| E115.1, N44.6 | 6 August 2020 | 0.098 | 1.176 | |
| E116.8, N43.1 | 16 November 2020 | 0.0326 | 1.303 |
| Location | TOA Radiance Image EI | QUAAC EI | FLAASH EI | TOA Radiance Image AG | QUAAC AG | FLAASH AG |
|---|---|---|---|---|---|---|
| Dongting Lake | 0.109 | 1.642 | 2.220 | 10.55 | 133.14 | 88.85 |
| 0.141 | 1.631 | 1.790 | 4.45 | 46.13 | 28.63 | |
| 0.003 | 1.563 | 1.270 | 4.63 | 122.86 | 45.74 | |
| Qiyang | 0.294 | 1.530 | 1.730 | 12.36 | 128.77 | 79.69 |
| 0.532 | 1.349 | 1.902 | 11.86 | 117.06 | 76.94 | |
| Guyuan | 0.175 | 1.282 | 1.530 | 9.24 | 92.49 | 55.79 |
| Guangzhou | 0.621 | 2.393 | 2.650 | 13.50 | 180.62 | 111.70 |
| Xilinhot | 0.913 | 1.352 | 1.730 | 5.42 | 42.94 | 27.78 |
| 0.106 | 2.656 | 2.790 | 8.27 | 182.83 | 93.65 | |
| 0.153 | 1.937 | 2.270 | 7.25 | 70.29 | 43.01 |
| Blue | Green | Red | Near-Infrared | |||||
|---|---|---|---|---|---|---|---|---|
| FLA-MSR | QUA-MSR | FLA-MSR | QUA-MSR | FLA-MSR | QUA-MSR | FLA-MSR | QUA-MSR | |
| MAE | 0.022 | 0.016 | 0.026 | 0.020 | 0.028 | 0.024 | 0.031 | 0.027 |
| RMSE | 0.029 | 0.021 | 0.032 | 0.025 | 0.034 | 0.030 | 0.040 | 0.038 |
| R | 0.784 | 0.893 | 0.739 | 0.819 | 0.825 | 0.0890 | 0.960 | 0.967 |
| 0.614 | 0.797 | 0.545 | 0.671 | 0.681 | 0.792 | 0.921 | 0.935 | |
Publisher’s Note: MDPI stays neutral with regard to jurisdictional claims in published maps and institutional affiliations. |
© 2022 by the authors. Licensee MDPI, Basel, Switzerland. This article is an open access article distributed under the terms and conditions of the Creative Commons Attribution (CC BY) license (https://creativecommons.org/licenses/by/4.0/).
Share and Cite
Liu, S.; Zhang, Y.; Zhao, L.; Chen, X.; Zhou, R.; Zheng, F.; Li, Z.; Li, J.; Yang, H.; Li, H.; et al. QUantitative and Automatic Atmospheric Correction (QUAAC): Application and Validation. Sensors 2022, 22, 3280. https://doi.org/10.3390/s22093280
Liu S, Zhang Y, Zhao L, Chen X, Zhou R, Zheng F, Li Z, Li J, Yang H, Li H, et al. QUantitative and Automatic Atmospheric Correction (QUAAC): Application and Validation. Sensors. 2022; 22(9):3280. https://doi.org/10.3390/s22093280
Chicago/Turabian StyleLiu, Shumin, Yunli Zhang, Limin Zhao, Xingfeng Chen, Ruoxuan Zhou, Fengjie Zheng, Zhiliang Li, Jiaguo Li, Hang Yang, Huafu Li, and et al. 2022. "QUantitative and Automatic Atmospheric Correction (QUAAC): Application and Validation" Sensors 22, no. 9: 3280. https://doi.org/10.3390/s22093280
APA StyleLiu, S., Zhang, Y., Zhao, L., Chen, X., Zhou, R., Zheng, F., Li, Z., Li, J., Yang, H., Li, H., Yang, J., Gao, H., & Gu, X. (2022). QUantitative and Automatic Atmospheric Correction (QUAAC): Application and Validation. Sensors, 22(9), 3280. https://doi.org/10.3390/s22093280

