Data-Driven EEG Band Discovery with Decision Trees
Abstract
:1. Introduction
- Band discovery is completely self-supervised in the sense that only EEG data is used
- As the method only uses a power spectrum, it is agnostic as to how the data is generated, so it can handle both single- and multi-channel data in a variety of contexts.
2. Methods
2.1. Method Overview
2.2. Decision Trees
2.3. Band Discovery with Decision Trees
2.4. Quality Score for Band Boundaries
2.5. Software Implementation
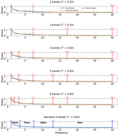
3. Results
3.1. Case Study 1: Artificial Data
3.2. Case Study 2: Experimental Data
4. Discussion
5. Conclusions
Author Contributions
Funding
Institutional Review Board Statement
Informed Consent Statement
Data Availability Statement
Conflicts of Interest
Abbreviations
| EEG | Electroencephalography |
| BIC | Bayesian Information Criterion |
| AIC | Akaike Information Criterion |
References
- Mulert, C.; Lemieux, L. EEG-fMRI: Physiological Basis, Technique, and Applications; Springer Science & Business Media: Cham, Switzerland, 2010; pp. 1–539. [Google Scholar] [CrossRef]
- Jackson, A.F.; Bolger, D.J. The neurophysiological bases of EEG and EEG measurement: A review for the rest of us. Psychophysiology 2014, 51, 1061–1071. [Google Scholar] [CrossRef] [PubMed]
- Cohen, M.X. Where Does EEG Come From and What Does It Mean? Trends Neurosci. 2017, 40, 208–218. [Google Scholar] [CrossRef] [PubMed]
- Welch, P.D. The Use of Fast Fourier Transform for the Estimation of Power Spectra: A Method Based on Time Averaging Over Short, Modified Periodograms. IEEE Trans. Audio Electroacoust. 1967, 15, 70–73. [Google Scholar] [CrossRef] [Green Version]
- Louis, E.K.S.; Frey, L.C. Electroencephalography (EEG): An Introductory Text and Atlas of Normal and Abnormal Findings in Adults, Children, and Infants; American Epilepsy Society: Chicago, IL, USA, 2016; pp. 1–95. [Google Scholar]
- Silva, F.L.D. EEG: Origin and Measurement. In EEG-fMRI: Physiological Basis, Technique, and Applications; Springer Science & Business Media: Cham, Switzerland, 2009; pp. 19–38. [Google Scholar] [CrossRef]
- Mills, C.; Fridman, I.; Soussou, W.; Waghray, D.; Olney, A.M.; D’Mello, S.K. Put your thinking cap on: Detecting cognitive load using EEG during learning. In LAK ’17: Proceedings of the Seventh International Learning Analytics & Knowledge Conference; Association for Computing Machinery: New York, NY, USA, 2017; pp. 80–89. [Google Scholar] [CrossRef] [Green Version]
- Friedman, N.; Fekete, T.; Gal, K.; Shriki, O. EEG-based prediction of cognitive load in intelligence tests. Front. Hum. Neurosci. 2019, 13, 191. [Google Scholar] [CrossRef] [PubMed]
- Kumar, N.; Kumar, J. Measurement of Cognitive Load in HCI Systems Using EEG Power Spectrum: An Experimental Study. Procedia Comput. Sci. 2016, 84, 70–78. [Google Scholar] [CrossRef] [Green Version]
- De Medeiros Kanda, P.A.; Anghinah, R.; Smidth, M.T.; Silva, J.M. The clinical use of quantitative EEG in cognitive disorders. Dement. Neuropsychol. 2009, 3, 195. [Google Scholar] [CrossRef] [PubMed] [Green Version]
- Cassani, R.; Estarellas, M.; San-Martin, R.; Fraga, F.J.; Falk, T.H. Systematic review on resting-state EEG for Alzheimer’s disease diagnosis and progression assessment. Dis. Mark. 2018, 2018, 5174815. [Google Scholar] [CrossRef] [PubMed] [Green Version]
- Newson, J.J.; Thiagarajan, T.C. EEG Frequency Bands in Psychiatric Disorders: A Review of Resting State Studies. Front. Hum. Neurosci. 2019, 12, 521. [Google Scholar] [CrossRef] [PubMed]
- Li, M.; Lu, B.L. Emotion classification based on gamma-band EEG. In Proceedings of the 31st Annual International Conference of the IEEE Engineering in Medicine and Biology Society: Engineering the Future of Biomedicine, EMBC 2009, Minneapolis, MN, USA, 3–6 September 2009; pp. 1323–1326. [Google Scholar] [CrossRef]
- Aljribi, K.F. A Comparative Analysis of Frequency Bands in EEG Based Emotion Recognition System. In ACM International Conference Proceeding Series; Association for Computing Machinery: New York, NY, USA, 2021. [Google Scholar] [CrossRef]
- Gannouni, S.; Aledaily, A.; Belwafi, K.; Aboalsamh, H. Emotion detection using electroencephalography signals and a zero-time windowing-based epoch estimation and relevant electrode identification. Sci. Rep. 2021, 11, 7071. [Google Scholar] [CrossRef]
- Cohen, M.X. A data-driven method to identify frequency boundaries in multichannel electrophysiology data. J. Neurosci. Methods 2021, 347, 108949. [Google Scholar] [CrossRef]
- Elgendi, M.; Vialatte, F.; Cichocki, A.; Latchoumane, C.; Jeong, J.; Dauwels, J. Optimization of EEG frequency bands for improved diagnosis of Alzheimer disease. In Proceedings of the 2011 Annual International Conference of the IEEE Engineering in Medicine and Biology Society, Boston, MA, USA, 30 August–3 September 2011; Volume 2011, pp. 6087–6091. [Google Scholar] [CrossRef] [Green Version]
- Lee, C.; Jung, J.; Kwon, G.; Kim, L. Individual optimization of EEG channel and frequency ranges by means of genetic algorithm. In Proceedings of the Annual International Conference of the IEEE Engineering in Medicine and Biology Society, EMBS, San Diego, CA, USA, 28 August–1 September 2012; pp. 5290–5293. [Google Scholar] [CrossRef]
- Magri, C.; Mazzoni, A.; Logothetis, N.K.; Panzeri, S. Optimal band separation of extracellular field potentials. J. Neurosci. Methods 2012, 210, 66–78. [Google Scholar] [CrossRef]
- Raza, H.; Cecotti, H.; Prasad, G. Optimising frequency band selection with forward-addition and backward-elimination algorithms in EEG-based brain-computer interfaces. In Proceedings of the 2015 International Joint Conference on Neural Networks (IJCNN), Killarney, Ireland, 12–17 July 2015. [Google Scholar] [CrossRef]
- Pedregosa, F.; Varoquaux, G.; Gramfort, A.; Michel, V.; Thirion, B.; Grisel, O.; Blondel, M.; Prettenhofer, P.; Weiss, R.; Dubourg, V.; et al. Scikit-learn: Machine Learning in Python. J. Mach. Learn. Res. 2011, 12, 2825–2830. [Google Scholar]
- MathWorks. Fitrtree. 2021. Available online: https://www.mathworks.com/help/stats/fitrtree.html (accessed on 6 March 2022).
- DataCamp. rpart: Recursive Partitioning and Regression Trees. 2021. Available online: https://www.rdocumentation.org/packages/rpart/versions/4.1.16/topics/rpart (accessed on 6 March 2022).
- DecisionTree.jl Documentation. 2021. Available online: https://docs.juliahub.com/DecisionTree/pEDeB/0.10.8/autodocs/ (accessed on 6 March 2022).
- Breiman, L.; Friedman, J.H.; Olshen, R.A.; Stone, C.J. Classification and Regression Trees; Routledge: New York, NY, USA, 2017; pp. 1–358. [Google Scholar] [CrossRef]
- Kotsiantis, S.B. Decision trees: A recent overview. Artif. Intell. Rev. 2011, 39, 261–283. [Google Scholar] [CrossRef]
- Salkind, N. Bayesian Information Criterion. In Encyclopedia of Measurement and Statistics; SAGE Publications: Thousand Oaks, CA, USA, 2013; pp. 1–3. [Google Scholar] [CrossRef] [Green Version]
- Akaike, H. A New Look at the Statistical Model Identification. IEEE Trans. Autom. Control 1974, 19, 716–723. [Google Scholar] [CrossRef]
- Zyma, I.; Tukaev, S.; Seleznov, I.; Kiyono, K.; Popov, A.; Chernykh, M.; Shpenkov, O. Electroencephalograms during Mental Arithmetic Task Performance. Data 2019, 4, 14. [Google Scholar] [CrossRef] [Green Version]
- Goldberger, A.L.; Amaral, L.A.N.; Glass, L.; Hausdorff, J.M.; Ivanov, P.C.; Mark, R.G.; Mietus, J.E.; Moody, G.B.; Peng, C.K.; Stanley, H.E. PhysioBank, PhysioToolkit, and PhysioNet. Circulation 2000, 101, e215–e220. [Google Scholar] [CrossRef] [PubMed] [Green Version]












| Name | Value |
|---|---|
| criterion | “squared_error” |
| splitter | “best” |
| max_depth | None |
| min_samples_split | 2 |
| min_samples_leaf | 1 |
| min_weight_fraction | 0.0 |
| max_features | None |
| random_state | None |
| max_leaf_nodes | Optimized with |
| min_impurity_decrease | 0.0 |
| ccp_alpha | 0.0 |
| References | Supervised | Self-Supervised | Single-Channel | Multi-Channel |
|---|---|---|---|---|
| Elgendi et al. (2011) [17] | X | X | X | |
| Lee et al. (2012) [18] | X | X | X | |
| Magri et al. (2012) [19] | X | X | X | |
| Raza et al. (2015) [20] | X | X | ||
| Cohen (2021) [16] | X | X | ||
| Proposed Method | X | X | X |
Publisher’s Note: MDPI stays neutral with regard to jurisdictional claims in published maps and institutional affiliations. |
© 2022 by the authors. Licensee MDPI, Basel, Switzerland. This article is an open access article distributed under the terms and conditions of the Creative Commons Attribution (CC BY) license (https://creativecommons.org/licenses/by/4.0/).
Share and Cite
Talebi, S.; Waczak, J.; Fernando, B.A.; Sridhar, A.; Lary, D.J. Data-Driven EEG Band Discovery with Decision Trees. Sensors 2022, 22, 3048. https://doi.org/10.3390/s22083048
Talebi S, Waczak J, Fernando BA, Sridhar A, Lary DJ. Data-Driven EEG Band Discovery with Decision Trees. Sensors. 2022; 22(8):3048. https://doi.org/10.3390/s22083048
Chicago/Turabian StyleTalebi, Shawhin, John Waczak, Bharana A. Fernando, Arjun Sridhar, and David J. Lary. 2022. "Data-Driven EEG Band Discovery with Decision Trees" Sensors 22, no. 8: 3048. https://doi.org/10.3390/s22083048
APA StyleTalebi, S., Waczak, J., Fernando, B. A., Sridhar, A., & Lary, D. J. (2022). Data-Driven EEG Band Discovery with Decision Trees. Sensors, 22(8), 3048. https://doi.org/10.3390/s22083048

