Design of Electronic Nose Detection System for Apple Quality Grading Based on Computational Fluid Dynamics Simulation and K-Nearest Neighbor Support Vector Machine
Abstract
:1. Introduction
- (1)
- An e-nose system was designed for apple quality grading, with the merits of convenient sample treatment, low cost, and a good recognition effect.
- (2)
- Two different nasal cavity structures of the e-nose were designed, and the optimal one was selected for apple grading on the basis of computational fluid dynamics (CFD).
- (3)
- The features of the 18-dimensional gas data were extracted from the data collected by the designed e-nose, and then the KNN-SVM classifier was proposed in this study to achieve accurate and non-destructive apple grading.
2. Materials and Methods
2.1. Materials
2.2. Design of the Device
2.2.1. Overall Design of the Device
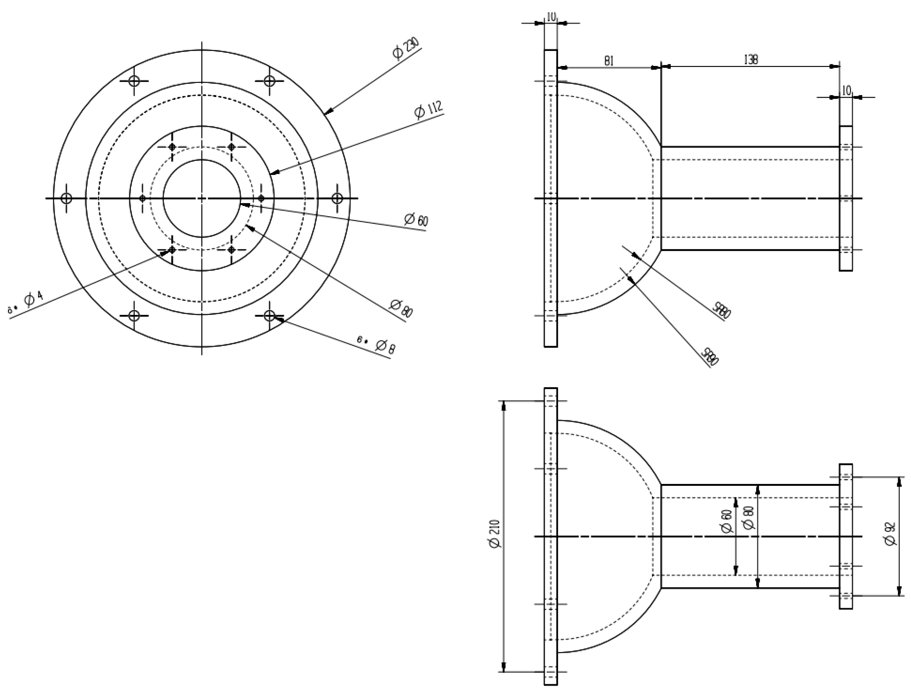
2.2.2. Nasal Cavity Structure
Gas Sensor Array
Steady Flow Plate
Air Inlet Dimensions
2.2.3. Experimental Verification by CFD Simulation
Construction of the 3D Electronic Nose Model
Governing Equations
Meshing
Setting Boundary Conditions
2.3. Data Analysis
2.3.1. Data Collection and Feature Extraction
2.3.2. Principal Component Analysis (PCA)
2.3.3. Linear Discriminant Analysis (LDA)
2.4. KNN-SVM Classifier
2.5. Classic Classifiers
3. Results and Discussion
3.1. Simulation Results of the Flow Fields in Two Nasal Cavity Structures
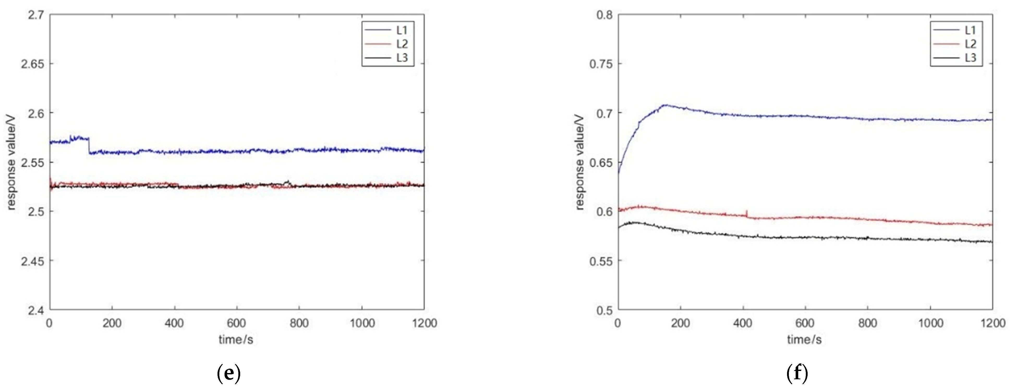
3.2. Results of Apple Quality Classification
3.2.1. Results of PCA and LDA
3.2.2. Rapid Classification of Apple
4. Conclusions
Author Contributions
Funding
Institutional Review Board Statement
Informed Consent Statement
Data Availability Statement
Acknowledgments
Conflicts of Interest
References
- Gao, F.; Fu, L.; Zhang, X.; Majeed, Y.; Zhang, Q. Multi-class Fruit-on-plant Detection for Apple in SNAP System Using Faster R-CNN. Comput. Electron. Agric. 2020, 176, 1699. [Google Scholar] [CrossRef]
- Zhang, J.; Li, M.; Pan, T.; Yao, L.; Chen, J. Purity Analysis of Multi-grain Rice Seeds with Non-destructive Visible and Near-infrared Spectroscopy. Comput. Electron. Agric. 2019, 164, 104882. [Google Scholar] [CrossRef]
- Feng, J.; Zeng, L.H.; He, L. Apple Fruit Recognition Algorithm Based on Multi-spectral Dynamic Image Analysis. Sensors 2019, 19, 949. [Google Scholar] [CrossRef] [PubMed] [Green Version]
- Zhang, D.; Xu, Y.; Huang, W.; Tian, X.; Xia, Y.; Xu, L.; Fan, S. Non-destructive Measurement of Soluble Solids Content in Apple Using Near Infrared Hyperspectral Imaging Coupled with Wavelength Selection Algorithm. Infrared Phys. Technol. 2019, 98, 297–304. [Google Scholar] [CrossRef]
- Li, J.; Luo, W.; Wang, Z.; Fan, S. Early Detection of Decay on Apples Using Hyperspectral Reflectance Imaging Combining Both Principal Component Analysis and Improved Watershed Segmentation Method. Postharvest Biol. Technol. 2019, 149, 235–246. [Google Scholar] [CrossRef]
- Pu, Y.Y.; Feng, Y.Z.; Sun, D.W. Recent Progress of Hyperspectral Imaging on Quality and Safety Inspection of Fruits and Vegetables: A Review. Compr. Rev. Food Sci. Food Saf. 2015, 14, 176–188. [Google Scholar] [CrossRef]
- Mildner-Szkudlarz, S.; Jelen, H.H. Detection of Olive Oil Adulteration with Rapeseed and Sunflower Oils Using Mos Electronic Nose and Smpe-Ms. J. Food Qual. 2010, 33, 21–41. [Google Scholar] [CrossRef]
- Zhou, J.J.; Feng, T.; Ye, R. Differentiation of Eight Commercial Mushrooms by Electronic Nose and Gas Chromatography-Mass Spectrometry. J. Sens. 2015, 2015, 374013. [Google Scholar] [CrossRef] [Green Version]
- Villatoro, C.; Altisent, R.; Echeverría, G.; Graell, J.; López, M.L.; Lara, I. Changes in Biosynthesis of Aroma Volatile Compounds during On-tree Maturation of ‘Pink Lady®’ Apples. Postharvest Biol. Technol. 2008, 47, 286–295. [Google Scholar] [CrossRef]
- Baietto, M.; Wilson, A.D. Electronic-nose applications for fruit identification, ripeness and quality grading. Sensors 2015, 15, 899–931. [Google Scholar] [CrossRef]
- Solis-Solis, H.M.; Calderon-Santoyoa, M.; Gutierrez-Martineza, P.; Schorr-Galindob, S.S.; Ragazzo-Sancheza, J.A. Discrimination of Eight Varieties of Apricot (Prunus Armeniaca) by Electronic Nose, LLE and SPME using GC-MS and Multivariate Analysis. Sens. Actuators B Chem. 2007, 125, 415–421. [Google Scholar] [CrossRef]
- Calu, M.; Pruteanu, E.; Alexe, P. Electronic Nose Discriminate Seven Types Apples, after Maturity Grade. Lucr. Stiintifice USAMVB 2010, 4, 389–393. [Google Scholar]
- Hui, G.H.; Wu, Y.L.; Ye, D.D.; Ding, W.W. Fuji Apple Storage Time Predictive Method Using Electronic Nose. Food Anal. Methods 2012, 6, 82–88. [Google Scholar]
- Sanaeifar, A.; Mohtasebi, S.S.; Ghasemi-Varnamkhasti, M.; Ahamadi, H.; Lozano, J. Development and Application of a New Low Cost Electronic Nose for Ripeness Monitoring of Banana Using Computational Techniques (PCA, LDA, SIMCA, and SVM). Czech J. Food Sci. 2014, 32, 538–548. [Google Scholar] [CrossRef] [Green Version]
- Fu, J.; Huang, C.; Zhang, T. A Portable Intelligent Electronic Nose System and Its Application in Grape Shelf Life Evaluation. Chin. J. Sens. Actuators 2017, 30, 782–788. [Google Scholar]
- Shao, L.H.; Wei, L.; Zhang, X.H.; Hui, G.H.; Zhao, Z.D. Fabrication of Electronic Nose System and Exploration on Its Applications in Mango Fruit (M. Indica cv. Datainong) Quality Rapid Determination. J. Food Meas. Charact. 2017, 11, 1969–1977. [Google Scholar]
- Jia, W.S.; Liang, G.; Tian, H.; Sun, J.; Wan, C.H. Electronic Nose-based Technique for Rapid Detection and Recognition of Moldy Apples. Sensors 2019, 19, 1526. [Google Scholar] [CrossRef] [Green Version]
- Sharma, A.; Paliwal, K. Linear Discriminant Analysis for the Small Sample Size Problem: An Overview. Int. J. Mach. Learn. Cybern. 2014, 6, 443–454. [Google Scholar] [CrossRef] [Green Version]
- Keyhani, K.; Scherer, P.W.; Mozell, M.M. A Numercial Model of Nasal Odorant Transport for the Analysis of Human Olfaction. J. Theor. Biol. 1997, 186, 279–301. [Google Scholar] [CrossRef]
- Wu, Z.; Zhang, H.; Sun, W.; Lu, N.; Fan, S. Development of a low-cost portable electronic nose for cigarette brands identification. Sensors 2020, 20, 4239. [Google Scholar] [CrossRef]
- Dohare, P. Performance optimisation of a sensing chamber using fluid dynamics simulation for electronic nose applications. Turk. J. Electr. Eng. Comput. Sci. 2020, 28, 3068–3078. [Google Scholar] [CrossRef]
- Annanouch, F.E.; Bouchet, G.; Perrier, P.; Morati, N.; Reynard-Carette, C.; Aguir, K.; Martini-Laithier, V.; Bendahan, M. Hydrodynamic evaluation of gas testing chamber: Simulation, experiment. Sens. Actuators B Chem. 2019, 290, 598–606. [Google Scholar] [CrossRef]
- Mehinagic, E.; Royer, G.; Symoneaux, R.; Jourjon, F.; Prost, C. Characterization of Odor-Active Volatiles in Apples: Influence of Cultivars and Maturity Stage. J. Agric. Food Chem. 2006, 54, 2678–2687. [Google Scholar] [CrossRef] [PubMed]
- Khoury, G.K.E.; Noorani, A.; Schlatter, P.; Brethouwer, G.; Johansson, A.V. Direct Numerical Simulation of Turbulent Pipe Flow at Moderately High Reynolds Numbers. Flow Turbul. Combust. 2013, 91, 475–495. [Google Scholar] [CrossRef]
- Dey, A. Semiconductor Metal Oxide Gas Sensors: A Review. Mater. Sci. Eng. B 2018, 229, 206–217. [Google Scholar] [CrossRef]
- Szczurek, A.; Maciejewska, M. “Artificial sniffing” based on induced temporary disturbance of gas sensor response. Sens. Actuators B Chem. 2013, 186, 109–116. [Google Scholar] [CrossRef]
- Trucano, O. Verification and validation in computational fluid dynamics. Prog. Aerosp. Sci. 2002, 38, 209–282. [Google Scholar]
- Krishnan, S.R.; Seelamantula, C.S. On the Selection of Optimum Savitzky-Golay Filters. IEEE Trans. Signal Process. 2013, 60, 380–391. [Google Scholar] [CrossRef]
- Abdi, H.; Williams, L.J. Principal Component Analysis. Wiley Interdiscip. Rev. Comput. Stat. 2010, 2, 433–459. [Google Scholar] [CrossRef]
- Righettoni, M.; Amann, A.; Pratsinis, S.E. Breath Analysis by Nanostructured Metal Oxides as Chemo-resistive Gas Sensors. Mater. Today 2015, 18, 163–171. [Google Scholar] [CrossRef]
- Zhang, S.C.; Li, X.L.; Zong, M.; Zhu, X.F.; Wang, R.L. Efficient KNN Classification with Different Numbers of Nearest Neighbors. IEEE Trans. Neural Netw. Learn. Syst. 2018, 29, 1774–1785. [Google Scholar] [CrossRef] [PubMed]
- Wu, Z.; Jiang, S.S.; Zhou, X.L.; Wang, Y.Y.; Zuo, Y.Y.; Wu, Z.W.; Liang, L.; Liu, Q. Application of Image Retrieval Based on Convolutional Neural Networks and Hu Invariant Moment Algorithm in Computer Telecommunications. Comput. Commun. 2020, 150, 729–738. [Google Scholar] [CrossRef]
- Nturambirwe, J.F.I.; Period, W.J.; Opara, U.L. Classification Learning of Latent Bruise Damage to Apples Using Shortwave Infrared Hyperspectral Imaging. Sensors 2021, 21, 4990. [Google Scholar] [CrossRef] [PubMed]
- Rifkin, R.; Klautau, A. In Defense of One-vs-All Classification. J. Mach. Learn. Res. 2004, 5, 101–141. [Google Scholar]
- Rasekh, M.; Karami, H.; Wilson, A.D.; Gancarz, M. Classification and identification of essential oils from herbs and fruits based on a mos electronic-nose technology. Chemosensors 2021, 9, 142. [Google Scholar] [CrossRef]
- Tatli, S.; Mirzaee-Ghaleh, E.; Rabbani, H.; Karami, H.; Wilson, A.D. Rapid detection of urea fertilizer effects on voc emissions from cucumber fruits using a mos e-nose sensor array. Agronomy 2021, 12, 35. [Google Scholar] [CrossRef]
- Yu, Z.; Haghighat, F.; Fung, B.C.M.; Yoshino, H. A Decision Tree Method for Building Energy Demand Modeling. Energy Build. 2010, 42, 1637–1646. [Google Scholar] [CrossRef] [Green Version]
- Fratello, M.; Tagliaferri, R. Decision Trees and Random Forests. Encycl. Bioinform. Comput. Biol. 2019, 1, 374–383. [Google Scholar]


















| Level | External Quality | Internal Quality |
|---|---|---|
| L1 | No stab wounds, broken skin, crushed wounds, disease wounds, insect wounds, rot, or shrinkage on the surface of apples; smooth and rosy surface. | No rot, shrinkage, or dryness inside the apples, which can be eaten normally. |
| L2 | Slight skin damage, stab wounds, or frostbite appear on the surface of the apple, and there are a few black spots. | No rot, shrinkage, or dryness inside apples. |
| L3 | The surface of the apple is obviously damaged, with pests and disease, and there is decay or shrinkage. | Rot, shrinkage, or dryness inside the apples, which cannot be eaten normally. |
| Sensor | Target Gas | Manufacturer |
|---|---|---|
| MQ-9 | CO, CH4 | Hanwei Electronics Co., Ltd., Zhengzhou, China |
| MQ-3 | alcohols | Hanwei Electronics Co., Ltd., Zhengzhou, China |
| MQ-6 | C3H8, C4H10 | Hanwei Electronics Co., Ltd., Zhengzhou, China |
| MQ-8 | H2 | Hanwei Electronics Co., Ltd., Zhengzhou, China |
| MQ-2 | liquefied gas | Hanwei Electronics Co., Ltd., Zhengzhou, China |
| MQ-135 | NH3, benzene vapors | Hanwei Electronics Co., Ltd., Zhengzhou, China |
| Parameters | Values |
|---|---|
| Simulated state | Steady state |
| model | Laminar |
| Air density (kg/m3) | 1.225 |
| Dynamic Viscosity (Pa·s) | 1.83 × 10−5 |
| Inlet | Velocity—inlet |
| Outlet | Pressure—outlet |
| Component | Feature | Variance Contribution Rate (%) | Cumulative Contribution Rate (%) | |
|---|---|---|---|---|
| PCA | PC1 | 1.048 | 69.52 | 69.52 |
| PC2 | 0.427 | 28.34 | 97.87 | |
| PC3 | 0.015 | 1.00 | 98.87 | |
| PC4 | 0.012 | 0.83 | 99.7 | |
| LDA | LD1 | 3.046 | 95.68 | 95.68 |
| LD2 | 0.137 | 4.28 | 99.96 |
| Feature Vector | Training Time (Unit: t/s) | Recognition Rate (%) | |||
|---|---|---|---|---|---|
| L1 | L2 | L3 | Average Recognition Rate | ||
| The original 18-dimensional feature vector | 3.653 | 93.35 | 92.45 | 94.19 | 93.33 |
| PCA 2D feature vector | 0.618 | 96.66 | 95.45 | 97.24 | 96.45 |
| LDA 2D feature vector | 0.614 | 98.50 | 96.66 | 98.18 | 97.78 |
| Method | Training Time (Unit: s) | Recognition Rate (%) |
|---|---|---|
| KNN | 0.307 | 93.30 |
| SVM | 0.858 | 83.00 |
| Random Forest | 0.86 | 93.00 |
| Decision Tree | 0.35 | 91.00 |
| The proposed algorithm of this study | 0.614 | 97.78 |
Publisher’s Note: MDPI stays neutral with regard to jurisdictional claims in published maps and institutional affiliations. |
© 2022 by the authors. Licensee MDPI, Basel, Switzerland. This article is an open access article distributed under the terms and conditions of the Creative Commons Attribution (CC BY) license (https://creativecommons.org/licenses/by/4.0/).
Share and Cite
Zou, X.; Wang, C.; Luo, M.; Ren, Q.; Liu, Y.; Zhang, S.; Bai, Y.; Meng, J.; Zhang, W.; Su, S.W. Design of Electronic Nose Detection System for Apple Quality Grading Based on Computational Fluid Dynamics Simulation and K-Nearest Neighbor Support Vector Machine. Sensors 2022, 22, 2997. https://doi.org/10.3390/s22082997
Zou X, Wang C, Luo M, Ren Q, Liu Y, Zhang S, Bai Y, Meng J, Zhang W, Su SW. Design of Electronic Nose Detection System for Apple Quality Grading Based on Computational Fluid Dynamics Simulation and K-Nearest Neighbor Support Vector Machine. Sensors. 2022; 22(8):2997. https://doi.org/10.3390/s22082997
Chicago/Turabian StyleZou, Xiuguo, Chenyang Wang, Manman Luo, Qiaomu Ren, Yingying Liu, Shikai Zhang, Yungang Bai, Jiawei Meng, Wentian Zhang, and Steven W. Su. 2022. "Design of Electronic Nose Detection System for Apple Quality Grading Based on Computational Fluid Dynamics Simulation and K-Nearest Neighbor Support Vector Machine" Sensors 22, no. 8: 2997. https://doi.org/10.3390/s22082997
APA StyleZou, X., Wang, C., Luo, M., Ren, Q., Liu, Y., Zhang, S., Bai, Y., Meng, J., Zhang, W., & Su, S. W. (2022). Design of Electronic Nose Detection System for Apple Quality Grading Based on Computational Fluid Dynamics Simulation and K-Nearest Neighbor Support Vector Machine. Sensors, 22(8), 2997. https://doi.org/10.3390/s22082997

