Experimental Validation of High Precision Web Handling for a Two-Actuator-Based Roll-to-Roll System
Abstract
:1. Introduction
2. System Structure
3. Dynamic Models
3.1. Web Dynamic Model
3.2. Dynamic Models of Major Components
4. Control Design
- (1)
- The motor drive (velocity control loop) and the upper-level controller (tension control loop) are activated.
- (2)
- The reference web speed and the tension are applied to the zero under the control algorithm (impose control).
- (3)
- The ramp signal of the reference tension is applied to the rewinder so that the web can be smoothly forced to enact the tension without the undesired film expansion.
- (4)
- The ramp signal of the reference speed is applied to each winder so that the angular velocity (computed by the web speed and the updated radius of the roller) is smoothly generated as the applied input.
- (5)
- The two-actuator-based R2R system can operate under the good control performance of the tension and web speed.
5. Experimental Setup
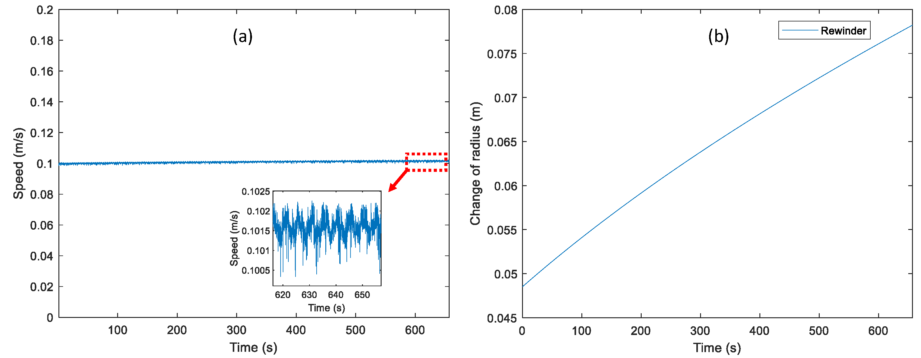
6. Experimental Results
7. Conclusions
Author Contributions
Funding
Institutional Review Board Statement
Informed Consent Statement
Data Availability Statement
Conflicts of Interest
Nomenclature
| Strain of the web | |
| A | Web cross-section area |
| Mass of the web | |
| Angular velocity of the rewinder | |
| Velocity of the unwinder | |
| Velocity of the idle roller | |
| T | Web tension |
| Inertia of the motor | |
| Inertia of the rewinder | |
| Inertia of the web | |
| Radius of the unwinder | |
| Radius of the idle roller | |
| Torque transmitted from the motor to rewinder | |
| Thickness of the web | |
| Density of the web | |
| E | Modulus of elasticity |
| Angular velocity of the unwinder | |
| Velocity of the web | |
| Velocity of the rewinder | |
| L | Web span length |
| b | Viscous friction coefficient |
| Inertia of the unwinder | |
| Inertia of the idle roller | |
| Core radius of each winder | |
| Radius of the rewinder | |
| Torque transmitted from the motor to unwinder | |
| W | Width of the web |
References
- Morse, J. Nanofabrication technologies for roll-to-roll processing. In Proceedings of the Workshop on Nanofabrication Technologies for Roll-to-Roll Processing, Boston, MA, USA, 27–28 September 2011. [Google Scholar]
- Zhang, K. Roll-to-Roll Processable Organic Thin Film Transistor Based Circuits and Their Sensory Application. Ph.D. Dissertation, University of Oxford, Oxford, UK, 2021. [Google Scholar]
- Hassinen, T.; Ruotsalainen, T.; Laakso, P.; Penttilä, R.; Sandberg, H.G. Roll-to-roll compatible organic thin film transistor manufacturing technique by printing, lamination, and laser ablation. Thin Solid Film 2014, 571, 212–217. [Google Scholar] [CrossRef]
- Jeong, B.J.; Jeong, J.K.; Song, Y.M.; Lee, H.D.; Choi, H.S.; Lee, G.W. Mobility Improvement of Amorphous Indium-gallium-zinc Oxide Thin Film Transistor by Roll-to-roll Compatible Plasma Treatment. J. Semicond. Technol. Sci. 2020, 20, 163–169. [Google Scholar] [CrossRef]
- Reinhold, I.; Thielen, M.; Voit, W.; Zapka, W.; Götzen, R.; Bohlmann, H. Electrical Through-Hole and Planar Interconnect Generation in Roll-to-Roll LED Lighting Manufacturing using Industrial Inkjet Printheads. MRS Online Proc. Libr. OPL 2011, 1340, 1113400306. [Google Scholar] [CrossRef]
- Sandström, A.; Dam, H.F.; Krebs, F.C.; Edman, L. Ambient fabrication of flexible and large-area organic light-emitting devices using slot-die coating. Nat. Commun. 2012, 3, 1002. [Google Scholar] [CrossRef] [PubMed] [Green Version]
- Bae, S.; Kim, H.; Lee, Y.; Xu, X.; Park, J.S.; Zheng, Y.; Balakrishnan, J.; Lei, T.; Kim, H.R.; Song, Y.I.; et al. Roll-to-roll production of 30-inch graphene films for transparent electrodes. Nat. Nanotechnol. 2010, 5, 574–578. [Google Scholar] [CrossRef] [Green Version]
- Phung, T.H.; Jeong, J.; Gafurov, A.N.; Kim, I.; Kim, S.Y.; Chung, H.J.; Kim, Y.; Kim, H.-J.; Kim, K.M.; Lee, T.-M. Hybrid fabrication of LED matrix display on multilayer flexible printed circuit board. Flex. Print. Electron. 2021, 6, 024001. [Google Scholar] [CrossRef]
- Park, J.; Shin, K.; Lee, C. Roll-to-roll coating technology and its applications: A review. Int. J. Precis. Eng. Manuf. 2016, 17, 537–550. [Google Scholar] [CrossRef]
- Lee, J.; Park, S.; Park, J.; Cho, Y.S.; Shin, K.H.; Lee, D. Analysis of adhesion strength of laminated copper layers in roll-to-roll lamination process. Int. J. Precis. Eng. Manuf. 2015, 16, 2013–2020. [Google Scholar] [CrossRef]
- Rashid, T.; Liang, H.L.; Taimur, M.; Chiodarelli, N.; Khawaja, H.A.; Edvardsen, K.; De Volder, M. Roll to roll coating of carbon nanotube films for electro thermal heating. Cold Reg. Sci. Technol. 2021, 182, 103210. [Google Scholar] [CrossRef]
- Dam, H.F.; Andersen, T.R.; Madsen, M.V.; Mortensen, T.K.; Pedersen, M.F.; Nielsen, U.; Krebs, F.C. Roll and roll-to-roll process scaling through development of a compact flexo unit for printing of back electrodes. Sol. Energy Mater. Sol. Cells 2015, 140, 187–192. [Google Scholar] [CrossRef]
- Lee, T.M.; Noh, J.H.; Kim, C.H.; Jo, J.; Kim, D.S. Development of a gravure offset printing system for the printing electrodes of flat panel display. Thin Solid Film. 2010, 518, 3355–3359. [Google Scholar] [CrossRef]
- Koc, H.; Knittel, D.; De Mathelin, M.; Abba, G. Modeling and robust control of winding systems for elastic webs. IEEE Trans. Control. Syst. Technol. 2002, 10, 197–208. [Google Scholar] [CrossRef]
- Pagilla, P.R.; Siraskar, N.B.; Dwivedula, R.V. Decentralized control of web processing lines. IEEE Trans. Control. Syst. Technol. 2006, 15, 106–117. [Google Scholar] [CrossRef]
- Branca, C. Modeling and Control of Web Transport in the Presence of Non-Ideal Rollers. Doctoral Dissertation, Oklahoma State University, Stillwater, OK, USA, 2013. [Google Scholar]
- Jeong, J.; Gafurov, A.N.; Park, P.; Kim, I.; Kim, H.C.; Kang, D.; Oh, D.; Lee, T.M. Tension modeling and precise tension control of roll-to-roll system for flexible electronics. Flex. Print. Electron. 2021, 6, 015005. [Google Scholar] [CrossRef]
- Gafurov, A.N.; Jeong, J.; Park, P.; Kim, I.; Phung, T.H.; Kim, H.C.; Kang, D.; Oh, D.; Lee, T.M. Registration error analysis and compensation of roll-to-roll screen printing system for flexible electronics. Flex. Print. Electron. 2021, 6, 024003. [Google Scholar] [CrossRef]
- Luo, H.; Li, K.; Kaynak, O.; Yin, S.; Huo, M.; Zhao, H. A robust data-driven fault detection approach for rolling mills with unknown roll eccentricity. IEEE Trans. Control. Syst. Technol. 2019, 28, 2641–2648. [Google Scholar] [CrossRef]
- Dwivedula, R.V. Modeling the Effects of Belt Compliance, Backlash, and Slip on Web Tension and New Methods for Decentralized Control of Web Processing Lines. Doctoral Dissertation, Oklahoma State University, Stillwater, OK, USA, 2006. [Google Scholar]
- De Wit, C.C.; Praly, L. Adaptive eccentricity compensation. IEEE Trans. Control. Syst. Technol. 2000, 8, 757–766. [Google Scholar] [CrossRef] [Green Version]
- Bodson, M. Rejection of periodic disturbances of unknown and time-varying frequency. Int. J. Adapt. Control. Signal Process. 2005, 19, 67–88. [Google Scholar] [CrossRef]
- Seki, K.; Kikuchi, T.; Iwasaki, M. Tension Controller Design Considering Periodic Disturbance Suppression in Roll-to-Roll Web Handling Systems. IEEJ J. Ind. Appl. 2020, 9, 36–42. [Google Scholar] [CrossRef]
- He, K.; Wang, K.; Zhang, D.; Liu, S.; Li, J.; Wen, Q. Modeling and analysis of web tension between two adjacent printing rollers in shaft-less drive gravure printing systems. In Proceedings of the 2017 IEEE 2nd Advanced Information Technology, Electronic and Automation Control Conference (IAEAC), Chongqing, China, 25–26 March 2017; pp. 1761–1766. [Google Scholar]
- Song, S.H.; Sul, S.K. A new tension controller for continuous strip processing line. IEEE Trans. Ind. Appl. 2000, 36, 633–639. [Google Scholar] [CrossRef]
- Ziegler, J.G.; Nichols, N.B. Optimum settings for automatic controllers. Trans. ASME 1942, 64, 220–222. [Google Scholar] [CrossRef]













| Control Performance at 0.2 m/s | Values | Control Performance at 0.3 m/s | Values |
|---|---|---|---|
| Tension tracking error | ±1.32% | Tension tracking error | ±1.58% |
| Control output (50 s) | 2.55 V to 2.7 V | Control output (50 s) | 4 V to 4.4 V |
| Average web speed (first 2 s) | 0.200 | Average web speed (first 2 s) | 0.300 |
| Average web speed (last 2 s) | 0.203 | Average web speed (last 2 s) | 0.304 |
| Web speed error | 1.5% | Web speed error | 1.33% |
| Radius at initial | 48 mm | Radius at initial | 48 mm |
| Estimated radius at last | 79.19 mm | Estimated radius at last | 78.42 mm |
| Measured radius at last | 78.38 mm | Measured radius at last | 79.33 mm |
| Radius estimation error | 1.03% | Radius estimation error | 1.15% |
Publisher’s Note: MDPI stays neutral with regard to jurisdictional claims in published maps and institutional affiliations. |
© 2022 by the authors. Licensee MDPI, Basel, Switzerland. This article is an open access article distributed under the terms and conditions of the Creative Commons Attribution (CC BY) license (https://creativecommons.org/licenses/by/4.0/).
Share and Cite
Kim, J.; Kim, K.; Kim, H.; Park, P.; Lee, S.; Lee, T.; Kang, D. Experimental Validation of High Precision Web Handling for a Two-Actuator-Based Roll-to-Roll System. Sensors 2022, 22, 2917. https://doi.org/10.3390/s22082917
Kim J, Kim K, Kim H, Park P, Lee S, Lee T, Kang D. Experimental Validation of High Precision Web Handling for a Two-Actuator-Based Roll-to-Roll System. Sensors. 2022; 22(8):2917. https://doi.org/10.3390/s22082917
Chicago/Turabian StyleKim, Jaeyoung, Kyungrok Kim, Hyunchang Kim, Pyoungwon Park, Seonghyun Lee, Taikmin Lee, and Dongwoo Kang. 2022. "Experimental Validation of High Precision Web Handling for a Two-Actuator-Based Roll-to-Roll System" Sensors 22, no. 8: 2917. https://doi.org/10.3390/s22082917
APA StyleKim, J., Kim, K., Kim, H., Park, P., Lee, S., Lee, T., & Kang, D. (2022). Experimental Validation of High Precision Web Handling for a Two-Actuator-Based Roll-to-Roll System. Sensors, 22(8), 2917. https://doi.org/10.3390/s22082917
