Analysis of Intensities Using Inertial Motion Devices in Female Soccer: Do You Train like You Compete?
Abstract
1. Introduction
2. Materials and Methods
2.1. Study Design
2.2. Population and Sample
2.3. Variables and Instruments
2.4. Procedure
2.4.1. Authorizations
2.4.2. Protocols
- Prior to each training session, the coach or physical trainer provided the researchers with the session for the categorization of the training tasks using SIATE observation sheet [19].
- Assistance of the researchers at the stadium 30–40 min and 1 h before the start of training sessions and official matches, respectively.
- Once the inertial devices were turned on and calibrated, each female player put on her inertial device (numbered), together with the HR monitor. Then, the recording began. The inertial devices were placed in anatomical harnesses during training sessions and official matches.
- At the end of training sessions and official matches, the female players were responsible for turning off the inertial devices. In this way, the researchers only had to intervene to collect them in their briefcase.
2.4.3. Data Extraction (WIMU ProTM Inertial Device)
2.5. Statistical Analysis
3. Results
3.1. Characterization of Training Sessions and Official Matches (Study Part 1)
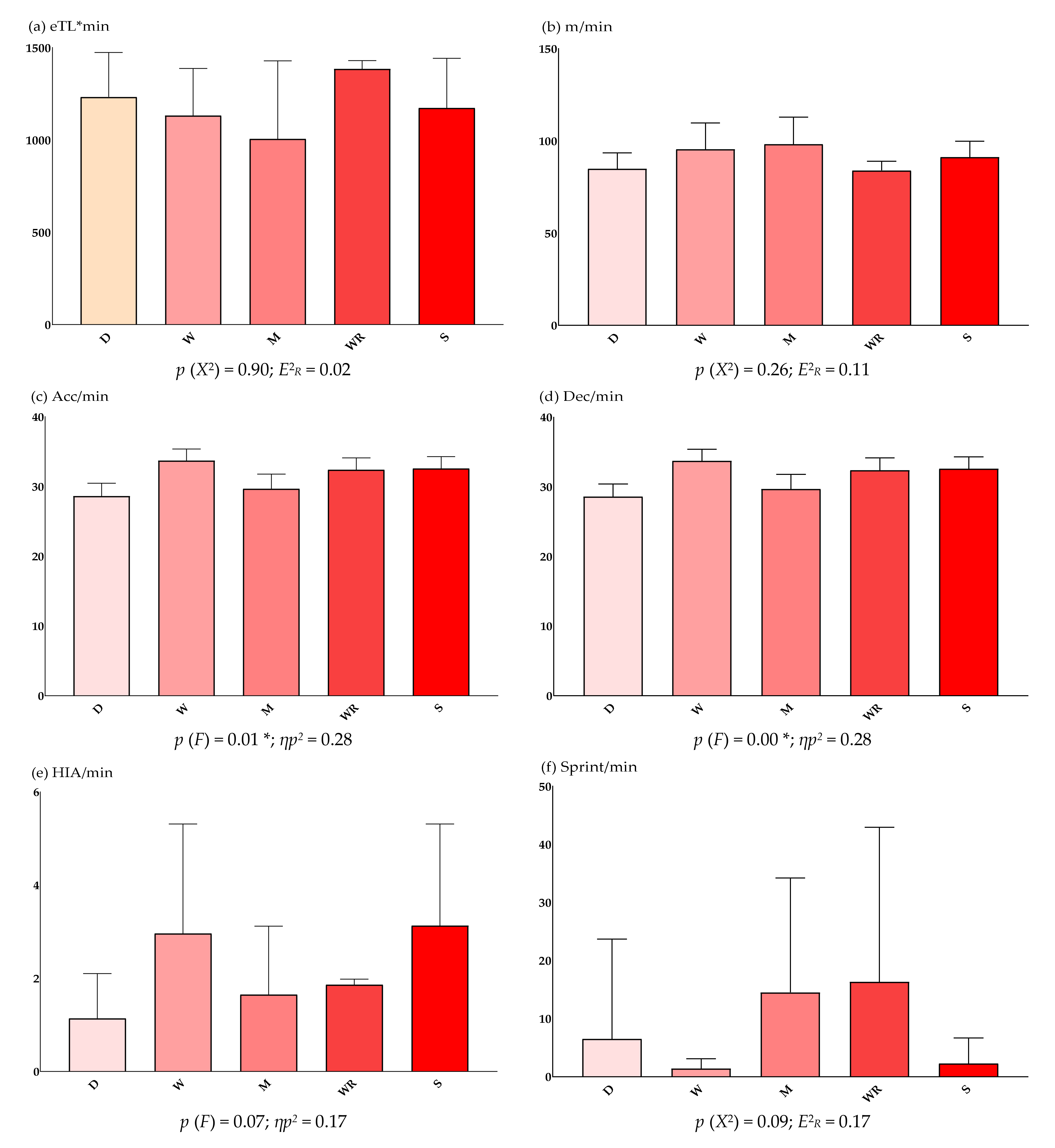
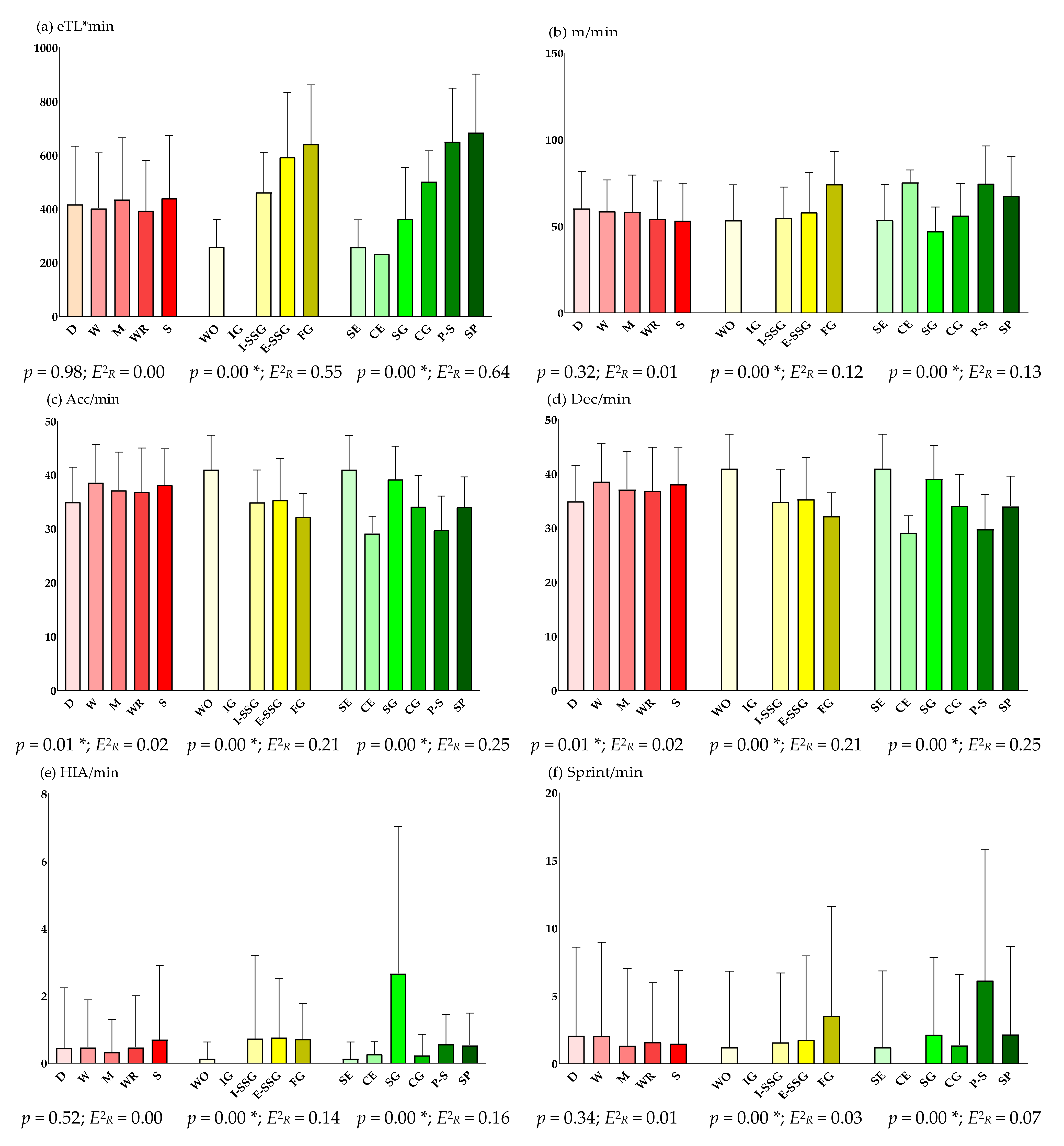
3.2. Differences of the Intensities according to Specific Position, Game Situation and Task Type (Study Part 2)
3.3. Differences of the Intensities according to the Type of Session (Study Part 2)
4. Discussion
4.1. Characterization of Training Sessions and Official Matches (Study Part 1)
4.2. Differences of the Intensities according to Specific Position, Game Situation and Task Type (Study Part 2)
4.3. Differences of the Intensities according to the Type of Session (Study Part 2)
4.4. Limitations and Practical Applications
5. Conclusions
Author Contributions
Funding
Institutional Review Board Statement
Informed Consent Statement
Data Availability Statement
Acknowledgments
Conflicts of Interest
References
- Federation Internationale de Football Association. Women’s Football Survey. Available online: https://www.icsspe.org/system/files/FIFA%20-%20Womens%20Football%20Survey.pdf (accessed on 23 March 2022).
- Torrebadella-Flix, X. Fútbol en femenino. Notas para la construcción de una historia social del deporte femenino en España, 1900–1936. Investig. Fem. 2016, 7, 313–334. [Google Scholar] [CrossRef]
- Pérez, S.; Rodríguez, A.; Sánchez, A.; De Mena, J.; Fuentes, J.; Castaño, R.; Martín, N. Efecto de los juegos reducidos sobre jugadoras de fútbol/Effect of Small-Sided Games on Football Players. Rev. Inter. Med. Cienc. Act. Fís. Deporte 2019, 19, 371–386. [Google Scholar]
- Hill-Haas, S.V.; Dawson, B.; Impellizzeri, F.M.; Coutts, A.J. Physiology of Small-Sided Games Training in Football: A Systematic Review. Sports Med. 2011, 41, 199–220. [Google Scholar] [CrossRef]
- Nevado-Garrosa, F.; Suárez-Arrones, L. Comparación de las demandas físicas de tareas de fútbol reducido y la competición en jugadoras de fútbol sub 13. Cult. Cienc. Deporte 2015, 10, 235–243. [Google Scholar] [CrossRef]
- Casamichana, D.; San Román, J.; Calleja, J.; Castellano, J. Los Juegos Reducidos En El Netrenamiento Del Fútbol; Futbol de Libro: Sevilla, Spain, 2015. [Google Scholar]
- Oliveira, R.; Brito, J.P.; Moreno-Villanueva, A.; Nalha, M.; Rico-González, M.; Clemente, F.M. Reference Values for External and Internal Training Intensity Monitoring in Young Male Soccer Players: A Systematic Review. Healthcare 2021, 9, 1567. [Google Scholar] [CrossRef] [PubMed]
- Nobari, H.; Brito, J.P.; Pérez-Gómez, J.; Oliveira, R. Variability of External Intensity Comparisons between Official and Friendly Soccer Matches in Professional Male Players. Healthcare 2021, 9, 1708. [Google Scholar] [CrossRef] [PubMed]
- Staunton, C.A.; Abt, G.; Weaving, D.; Wundersitz, D.W.T. Misuse of The Term ’Load’ in Sport and Exercise Science. J. Sci. Med. Sport 2021. [Google Scholar] [CrossRef] [PubMed]
- Miguel, M.; Oliveira, R.; Loureiro, N.; García-Rubio, J.; Ibáñez, S.J. Load Measures in Training/Match Monitoring in Soccer: A Systematic Review. Int. J. Environ. Res. Public Health 2021, 18, 2721. [Google Scholar] [CrossRef] [PubMed]
- Gómez-Carmona, C.D.; Gamonales, J.M.; Feu, S.; Ibáñez, S.J. Estudio de la carga interna y externa a través de diferentes instrumentos. Un estudio de casos en fútbol formativo. Sportis Sci. J. 2019, 5, 444–468. [Google Scholar] [CrossRef]
- Gómez-Carmona, C.D.; Bastida-Castillo, A.; Ibáñez, S.J.; Pino-Ortega, J. Accelerometry as a method for external workload monitoring in invasion team sports. A systematic review. PLoS ONE 2020, 15, e0236643. [Google Scholar] [CrossRef]
- Reche-Soto, P.; Cardona, D.; Díaz, A.; Gómez-Carmona, C.D.; Pino-Ortega, J. ACELT y PLAYER LOAD: Dos Variables para la Cuantificación de la Carga Neuromuscular/ACELT and PLAYER LOAD: Two Variables to Quanty Neuromuscular Load. Rev. Inter. Med. Cienc. Act. Fís. Deporte 2020, 20, 167–183. [Google Scholar]
- Silva, P.; Dos Santos, E.; Grishin, M.; Rocha, J.M. Validity of Heart Rate-Based Indices to Measure Training Load and Intensity in Elite Football Players. J. Strength Cond. Res. 2018, 32, 2340–2347. [Google Scholar] [CrossRef] [PubMed]
- Molina-Carmona, I.; Gómez-Carmona, C.D.; Bastida-Castillo, A.; Pino-Ortega, J. Validez del dispositivo inercial WIMU PROTM para el registro de la frecuencia cardíaca en un test de campo. Sport TK Rev. Euroam. Cienc. Deporte 2018, 7, 81–86. [Google Scholar] [CrossRef]
- Gómez-Carmona, C.D.; Gamonales, J.M.; Pino-Ortega, J.; Ibáñez, S.J. Comparative Analysis of Load Profile between Small-Sided Games and Official Matches in Youth Soccer Players. Sports 2018, 6, 173. [Google Scholar] [CrossRef] [PubMed]
- Reina, M.; Mancha, D.; Feu, S.; Ibáñez, S.J. ¿Se entrena cómo se compite? Análisis de la carga en baloncesto femenino. Rev. Psicol. Deporte 2017, 26, 9–13. [Google Scholar]
- Urbano, F.J.; Mancha-Triguero, D.; Gómez-Carmona, C.; Gamonales, J.M. Influencia del perfil del entrenador en el diseño de tareas en fútbol-base: Estudio de casos. Retos. Nuevas Tend. Educ. Fís. Deporte Recreat. 2020, 38, 204–212. [Google Scholar]
- Ibáñez, S.J.; Feu, S.; Cañadas, M. Sistema Integral Para El Análisis De Las Tareas De Entrenamiento, SIATE; en deportes de invasión. E–Balonamo Com 2016, 12, 3–30. [Google Scholar]
- García-Ceberino, J.M.; Feu, S.; Ibáñez, S.J. Comparative Study of Two Intervention Programmes for Teaching Soccer to School-Age Students. Sports 2019, 7, 74. [Google Scholar] [CrossRef]
- Gamonales, J.M.; Gómez-Carmona, C.D.; Córdoba-Caro, L.G.; Ibáñez, S.J. Influencia del perfil de entrenador en el diseño de las tareas en el fútbol. Estudio de caso. J. Sport Health Res. 2019, 11, 69–82. [Google Scholar]
- Gamero, M.G.; García-Ceberino, J.M.; Feu, S.; Antúnez, A. Estudio de las variables pedagógicas en tareas de enseñanza del fútbol en función de la parte de sesión. Sport TK Rev. Euroam. Cienc. Deporte 2019, 8, 39–46. [Google Scholar] [CrossRef]
- García-Ceberino, J.M.; Gamero, M.G.; Ibáñez, S.J.; Feu, S. Are Subjective Intensities Indicators of Player Load and Heart Rate in Physical Education? Healthcare 2022, 10, 428. [Google Scholar] [CrossRef] [PubMed]
- Borg, G. Borgʹs Perceived Exertion and Pain Scales; Human Kinetics: Champaign, IL, USA, 1998. [Google Scholar]
- McLaren, S.J.; Macpherson, T.W.; Coutts, A.J.; Hurst, C.; Spears, I.R.; Weston, M. The Relationships Between Internal and External Measures of Training Load and Intensity in Team Sports: A Meta-Analysis. Sports Med. 2018, 48, 641–658. [Google Scholar] [CrossRef] [PubMed]
- Strauss, A.; Sparks, M.; Pienaar, C. The Use of GPS Analysis to Quantify the Internal and External Match Demands of Semi-Elite Level Female Soccer Players during a Tournament. J. Sports Sci. Med. 2019, 18, 73–81. [Google Scholar] [PubMed]
- Martín-Martínez, I.; Reigal-Garrillo, R.; Chirosa-Ríos, L.; Hernández-Mendo, A.; Chirosa-Ríos, I.; Martín-Tamayo, I.; Guisado-Barrilao, R. Efectos de un programa de juegos reducidos en la percepción subjetiva del esfuerzo en una muestra de chicas adolescentes. Cuad. Psicol. Deporte 2015, 15, 89–98. [Google Scholar] [CrossRef][Green Version]
- Ato, M.; López, J.J.; Benavente, A. Un sistema de clasificación de los diseños de investigación en psicología. An. Psicol. 2013, 29, 1039–1059. [Google Scholar] [CrossRef]
- García-Ceberino, J.M.; Feu, S.; Gamero, M.G.; Ibáñez, S.J. Pedagogical Variables and Motor Commitment in the Planning of Invasion Sports in Primary Education. Sustainability 2021, 13, 4529. [Google Scholar] [CrossRef]
- García-Ceberino, J.M.; Gamero, M.G.; Gómez-Carmona, C.D.; Antúnez, A.; Feu, S. Incidence of organizational parameters in the quantification of the external training load of the tasks designed for teaching of the school basketball. Rev. Psicol. Deporte 2019, 28, 35–41. [Google Scholar]
- Bastida-Castillo, A.; Gómez-Carmona, C.D.; De la cruz Sánchez, E.; Pino-Ortega, J. Accuracy, intra-and inter-unit reliability, and comparison between GPS and UWB-based position-tracking systems used for time-motion analyses in soccer. Eur. J. Sport Sci. 2018, 18, 450–457. [Google Scholar] [CrossRef]
- Bastida-Castillo, A.; Gómez-Carmona, C.D.; de la Cruz Sánchez, E.; Pino-Ortega, J. Comparing accuracy between global positioning systems and ultra-wideband-based position tracking systems used for tactical analyses in soccer. Eur. J. Sport Sci. 2019, 19, 1157–1165. [Google Scholar] [CrossRef]
- Field, A. Discovering Statistics Using SPSS Statistics, 4th ed.; Sage Publications Ltd: London, UK, 2013. [Google Scholar]
- Crewson, P. Applied Statistics Handbook; Version 1.2; AcaStat Software: Leesburg, VA, USA, 2006. [Google Scholar]
- Tomczak, M.; Tomczak, E. The need to report effect size estimates revisited. An overview of some recommended measures of effect size. Trends Sport Sci. 2014, 1, 19–25. [Google Scholar]
- Bettega, O.B.; Scaglia, A.J.; Nasciemento, J.V.; Ibáñez, S.J.; Galatti, L.R. Principios de juego y estrategias de entrenamiento de entrenadores de jóvenes en fútbol elite. E-Balonamo Com. 2021, 17, 45–58. [Google Scholar]
- Ibáñez, S.J. La planificación y el control del entrenamiento técnico-táctico en baloncesto. In Fisiología, Entrenamiento y Medicina Del Baloncesto; Terrados, N., Calleja, J., Eds.; Paidotribo: Barcelona, Spain, 2008; pp. 299–313. [Google Scholar]
- Owen, A.L.; Wong, D.P.; Paul, D.; Dellal, A. Physical and Technical Comparisons between Various-Sided Games within Professional Soccer. Int. J. Sports Med 2014, 35, 286–292. [Google Scholar] [CrossRef] [PubMed]
- Sannicandro, I. Small-side games and size pitch in elite female soccer players: A short narrative review. J. Hum. Sport Exerc. 2021, 16, S361–S369. [Google Scholar]
- García-Ceberino, J.M.; Gamero, M.G.; Feu, S.; Ibáñez, S.J. El medio de enseñanza como determinante de la carga externa de las tareas empleadas para la enseñanza del fútbol escolar. ESHPA Educ. Sport Health Phys. Act. 2019, 3, 412–427. [Google Scholar]
- Ruiz-Esteban, C.; Olmedilla, A.; Méndez, I.; Tobal, J.J. Female Soccer Players’ Psychological Profile: Differences between Professional and Amateur Players. Int. J. Environ. Res. Public Health 2020, 17, 4357. [Google Scholar] [CrossRef] [PubMed]
- Ohlsson, A.; Berg, L.; Ljungberg, H.; Söderman, K.; Stålnacke, B. Heart Rate Distribution during Training and a Domestic League Game in Swedish Elite Female Soccer Players. Ann. Sports Med. Res. 2015, 2, 1025. [Google Scholar]
- Mara, J.K.; Thompson, K.G.; Pumpa, K.L. Physical and Physiological Characteristics of Various-Sided Games in Elite Women’s Soccer. Inter. J. Sports Physiol. Perform. 2016, 11, 953–958. [Google Scholar] [CrossRef] [PubMed]
- Akubat, I.; Barrett, S.; Abt, G. Integrating the Internal and External Training Loads in Soccer. Inter. J. Sports Physiol. Perform. 2014, 9, 457–462. [Google Scholar] [CrossRef]
- García-Ceberino, J.M.; Feu, S.; Antúnez, A.; Ibáñez, S. Organization of Students and Total Task Time: External and Internal Load Recorded during Motor Activity. Appl. Sci. 2021, 11, 10940. [Google Scholar] [CrossRef]
- López-Fernández, J.; Sánchez-Sánchez, J.; Gallardo, L.; García-Unanue, J. Metabolic Power of Female Footballers in Various Small-Sided Games with Different Pitch Surfaces and Sizes. Sports 2017, 5, 24. [Google Scholar] [CrossRef] [PubMed]
- López-Fernández, J.; Sánchez-Sánchez, J.; Rodríguez-Canamero, S.; Ubago-Guisado, E.; Colino, E.; Gallardo, L. Physiological responses, fatigue and perception of female soccer players in small-sided games with different pitch size and sport surfaces. Biol. Sport 2018, 35, 291–299. [Google Scholar] [CrossRef] [PubMed]
- Jastrzebski, Z.; Radziminski, L.; Stepien, P. Comparison of time-motion analysis and physiological responses during small-sided games in male and female soccer players. Balt. J. Health Phys. Act. 2016, 8, 42–50. [Google Scholar] [CrossRef]





| Age and Anthropometry | All | Defender | Wingback | Midfielder | Winger | Striker |
|---|---|---|---|---|---|---|
| M ± SD | ||||||
| Age (years) | 26.25 ± 3.89 | 23.94 ± 1.00 | 25.29 ± 1.29 | 24.20 ± 4.16 | 24.14 ± 3.01 | 31.34 ± 1.57 |
| Body mass (kg) | 60.72 ± 7.30 | 70.53 ± 6.33 | 57.70 ± 3.45 | 61.04 ± 8.06 | 55.86 ± 3.01 | 58.62 ± 4.52 |
| Stature (m) | 1.66 ± 0.07 | 1.74 ± 0.04 | 1.57 ± 0.04 | 1.65 ± 0.03 | 1.62 ± 0.01 | 1.69 ± 0.05 |
| BMI (kg/m2) | 22.11 ± 1.98 | 23.21 ± 1.54 | 23.33 ± 0.39 | 22.40 ± 2.84 | 21.15 ± 1.01 | 20.49 ± 1.10 |
| Variable | Category | Instrument | Consideration |
|---|---|---|---|
| Pedagogical variables | Game Situation (GS) | SIATE observation sheet [19] | Content analysis of training tasks (categorical variables, less TTT variable) Three coders (researchers), experienced in the field of Sport Pedagogy and in the use of this instrument, performed the categorization of the tasks. Inter-coder reliability (Multirater Kfree) is proven [29,30] |
| Presence of Goalkeeper (POG) | |||
| Game Phase (GP) | |||
| Type of Content (CONT-G) | |||
| Training Means (TM) | |||
| Level of Opposition (LO) | |||
| Organizational variables | Total Task Time (TTT): min | ||
| Type of Participation (TP) | |||
| Subjective eTL variables | Degree of Opposition (DO) | ||
| Density of the Task (DT) | |||
| % Simultaneous Performers (PSP) | |||
| Competitive Load (CL) | |||
| Game Space (GS) | |||
| Cognitive Implication (CI) | |||
| eTL*min | (eTL = DO + DT + PSP + CL + GS + CI)*min | ||
| Objective eTL (kinematic variables) | Distance (m/min) | WIMU ProTM (Wireless Inertial Unit Movement) (RealTrack System, Almería, Spain) | Inertial motion device and HR monitor synchronized with it via Ant+ technology [15] (scale variables) These variables were only measured at the time of motor commitment (useful time) |
| Accelerations/min (Acc/min) | |||
| Decelerations/min (Dec/min) | |||
| HIA/min | |||
| Sprints/min | |||
| Objective eTL (neuromuscular variable) | PL/min | ||
| Objective iTL variables | HRavg | ||
| Relative HR% | |||
| Variable/Category (SIATE Observation Sheet) | Training Session | Official Match | Association | |||||||
|---|---|---|---|---|---|---|---|---|---|---|
| n | % | ASR | n | % | ASR | X2 (p) | f (p) | Vc | ||
| GS | With Opposition | 265 | 40.00 | 5.6 † | 0 | 0.00 | −5.6 † | 210.88 (0.00 *) | 162.15 (0.00 *) | 0.54 |
| Individual Game | - | - | - | - | - | - | ||||
| Inequality SSG | 201 | 30.40 | 4.6 † | 0 | 0.00 | −4.6 † | ||||
| Equality SSG | 103 | 15.60 | 3.0 † | 0 | 0.00 | −3.0 † | ||||
| Full Game | 93 | 14.00 | −14.5 † | 49 | 100.00 | 14.5 † | ||||
| POG 1 | With Goalkeeper | 253 | 38.20 | −8.4 † | 49 | 100.00 | 8.4 † | 71.27 (0.00 *) | - | 0.30 |
| Without Goalkeeper | 409 | 61.80 | 8.4 † | 0 | 0.00 | −8.4 † | ||||
| GP | Attack | 78 | 11.80 | 2.5 † | 0 | 0.00 | −2.5 † | 117.45 (0.00 *) | 109.08 (0.00 *) | 0.41 |
| Defence | 77 | 11.60 | 2.5 † | 0 | 0.00 | −2.5 † | ||||
| Mixed | 171 | 25.80 | −10.8 † | 49 | 100.00 | 10.8 † | ||||
| Warm-Up | 212 | 32.00 | 4.7 † | 0 | 0.00 | −4.7 † | ||||
| Physical Fitness | 124 | 18.70 | 3.3 † | 0 | 0.00 | −3.3 † | ||||
| CONT-G | AGTTB | 96 | 14.50 | 2.9 † | 0 | 0.00 | −2.9 † | 711.00 (0.00 *) | 326.32 (0.00 *) | 1.00 |
| DGTTB | 61 | 9.20 | 2.2 † | 0 | 0.00 | −2.2 † | ||||
| AGTTM | 35 | 5.30 | 1.7 | 0 | 0.00 | −1.7 | ||||
| ATTTB | 66 | 10.00 | 2.3 † | 0 | 0.00 | −2.3 † | ||||
| DTTTB | 16 | 2.40 | 1.1 | 0 | 0.00 | −1.1 | ||||
| ATTTM | 12 | 1.80 | 1.0 | 0 | 0.00 | −1.0 | ||||
| Warm-Up | 212 | 32.00 | 4.7 † | 0 | 0.00 | −4.7 † | ||||
| Physical Fitness | 124 | 18.70 | 3.3 † | 0 | 0.00 | −3.3 † | ||||
| Training Match | 40 | 6.00 | 1.8 | 0 | 0.00 | −1.8 | ||||
| Official Match | 0 | 0.00 | −26.7 † | 49 | 100.00 | 26.7 † | ||||
| TM 2 | Simple Exercise | 264 | 40.00 | 5.6 † | 0 | 0.00 | −5.6 † | 709.00 (0.00 *) | 333.21 (0.00 *) | 1.00 |
| Complex Exercise | 12 | 1.80 | 1.0 | 0 | 0.00 | −1.0 | ||||
| Simple Game | 66 | 10.00 | 2.3 † | 0 | 0.00 | −2.3 † | ||||
| Complex Game | 170 | 25.80 | 4.1 † | 0 | 0.00 | −4.1 † | ||||
| Adapted Sport | 33 | 5.00 | 1.6 | 0 | 0.00 | −1.6 | ||||
| Sport | 115 | 17.40 | 3.2 † | 0 | 0.00 | −3.2 † | ||||
| Competition | 0 | 0.00 | −26.6 † | 49 | 100.00 | 26.6 † | ||||
| LO | Without Opposition | 255 | 38.50 | 5.4 † | 0 | 0.00 | −5.4 † | 33.59 (0.00 *) | 44.30 (0.00 *) | 0.22 |
| Static Obstacles | 22 | 3.30 | 1.3 | 0 | 0.00 | −1.3 | ||||
| With Opposition | 385 | 58.20 | −5.8 † | 49 | 100.00 | 5.8 † | ||||
| TTT 1 | ≤10 min | 41 | 6.20 | 1.8 | 0 | 0.00 | −1.8 | 3.22 (0.07) | - | 0.07 |
| >10 min | 621 | 93.80 | −1.8 | 49 | 100.00 | 1.8 | ||||
| TP | Simultaneous | 503 | 76.00 | −3.9 † | 49 | 100.00 | 3.9 † | 15.16 (0.00 *) | 19.23 (0.00 *) | 0.15 |
| Alternative | 104 | 15.70 | 3.0 † | 0 | 0.00 | −3.0 † | ||||
| Consecutive | 55 | 8.30 | 2.1 † | 0 | 0.00 | −2.1 † | ||||
| Variable/Category (SIATE Observation Sheet) | Training Session | Official Match | Association | |||||||
|---|---|---|---|---|---|---|---|---|---|---|
| n | % | ASR | n | % | ASR | X2 (p) | f (p) | Vc | ||
| DO | With Opposition | 265 | 40.00 | 5.6 † | 0 | 0.00 | −5.6 † | 100.10 (0.00 *) | 97.93 (0.00 *) | 0.37 |
| >3 or +Players | 77 | 11.60 | 2.5 † | 0 | 0.00 | −2.5 † | ||||
| >2 Players | 45 | 6.80 | 1.9 | 0 | 0.00 | −1.9 | ||||
| >1 Player | 79 | 11.90 | 2.6 † | 0 | 0.00 | −2.6 † | ||||
| Numerical Equality | 196 | 29.60 | −10.0 † | 49 | 100.00 | 10.0 † | ||||
| DT | Walking | - | - | - | - | - | - | 121.41 (0.00 *) | 115.42 (0.00 *) | 0.41 |
| Gentle Pace | 169 | 25.50 | 4.1 † | 0 | 0.00 | −4.1 † | ||||
| Intensity With Rest | 298 | 45.00 | 6.2 † | 0 | 0.00 | −6.2 † | ||||
| Intensity Without Rest | 29 | 4.40 | 1.5 | 0 | 0.00 | −1.5 | ||||
| High Intensity Without Rest | 166 | 25.10 | −11.0 † | 49 | 100.00 | 11.0 † | ||||
| PSP | <20% | 12 | 1.80 | 1.0 | 0 | 0.00 | −1.0 | 15.16 (0.00 *) | 16.31 (0.00 *) | 0.15 |
| 21–40% | 43 | 6.50 | 1.8 | 0 | 0.00 | −1.8 | ||||
| 41–60% | 90 | 13.60 | 2.8 † | 0 | 0.00 | −2.8 † | ||||
| 61–80% | 14 | 2.10 | 1.0 | 0 | 0.00 | −1.0 | ||||
| >81% | 503 | 76.00 | −3.9 † | 49 | 100.00 | 3.9 † | ||||
| CL | Without Competition | 240 | 36.30 | 5.2 † | 0 | 0.00 | −5.2 † | 149.63 (0.00 *) | 129.03 (0.00 *) | 0.46 |
| Activity in Technical Moves | 37 | 5.60 | 1.7 | 0 | 0.00 | −1.7 | ||||
| Opposition Not Counted | 67 | 10.10 | 2.3 † | 0 | 0.00 | −2.3 † | ||||
| Opposition Counted | 182 | 27.50 | 4.3 † | 0 | 0.00 | −4.3 † | ||||
| Matches of all Kinds | 136 | 20.50 | −12.2 † | 49 | 100.00 | 12.2 † | ||||
| GS | Static Activity | 23 | 3.50 | 1.3 | 0 | 0.00 | −1.3 | 22.06 (0.00 *) | 24.43 (0.00 *) | 0.18 |
| Small Spaces | 68 | 10.30 | 2.4 † | 0 | 0.00 | −2.4 † | ||||
| Medium Spaces | 85 | 12.80 | 2.7 † | 0 | 0.00 | −2.7 † | ||||
| Large Spaces | 34 | 5.10 | 1.6 | 0 | 0.00 | −1.6 | ||||
| Repetition of Spaces | 452 | 68.30 | −4.7 † | 49 | 100.00 | 4.7 † | ||||
| CI | Individual Intervention | 255 | 38.50 | 5.4 † | 0 | 0.00 | −5.4 † | 67.30 (0.00 *) | 72.90 (0.00 *) | 0.31 |
| Intervention of 2 Players | 65 | 9.80 | 2.3 † | 0 | 0.00 | −2.3 † | ||||
| Intervention of 3 Players | 57 | 8.60 | 2.1 † | 0 | 0.00 | −2.1 † | ||||
| Intervention of 4 Players | 22 | 3.30 | 1.3 | 0 | 0.00 | −1.3 | ||||
| Intervention of 5 or +Players | 263 | 39.70 | −8.2 † | 49 | 100.00 | 8.2 † | ||||
| Intensity | Specific Position | Game Situation | Training Task Type | |
|---|---|---|---|---|
| Training Session | Official Match | Training Session Only | ||
| eTL*min | - | - | I-SSG*NO/E-SSG*NO/FG*NO/E-SSG*I-SSG/FG*I-SSG | SG*SE/CG*SE/P-S*SE/SP*ES/CG*CE/P-S*CE/SP*CE/CG*SG/P-S*SG/SP*SG/SP*CG |
| m/min | - | - | FG*I-SSG/FG*NO/FG*E-SSG | SP*SG/P-S*SG/CE*SG/SP*SE/P-S*SE/CE*SE/SP*CG/P-S*CG/CE*CG |
| Acc/min | S*D/W*D | S*D/W*D | I-SSG*FG/E-SSG*FG/NO*FG/NO*I-SSG /NO*E-SSG | SG*CE/SE*CE/SG*P-S/SE*P-S/SG*SP/SE*SP/SG*CG/SE*CG |
| Dec/min | S*D/W*D | S*D/W*D | I-SSG*FG/E-SSG*FG/NO*FG/NO*I-SSG /NO*E-SSG | SG*CE/SE*CE/SG*P-S/SE*P-S/SG*SP/SE*SP/SG*CG/SE*CG |
| HIA/min | - | - | I-SSG*NO/E-SSG*NO/FG*NO/FG*I-SSG | CG*SE/SP*SE/SG*SE/P-S*SE/SP*CE/SG*CG/P-S*CG |
| Sprints/min | - | - | FG*NO | P-S*CE/P-S*SE/P-S*CG/P-S*SG/P-S*SP |
| PL/min | W*D/W*S | - | FG*E-SSG/FG*NO/FG*I-SSG | SE*SG/CG*SG/SP*SG/P-S*SG/CE*SG/P-S*SE/P-S*CG |
| HRavg | D*M/D*S/D*W | D*WR | E-SSG*NO/I-SSG*NO/FG*NO/FG*E-SSG/FG*I-SSG | CG*SE/SP*SE/P-S*SE/CG*SG/SP*SG/P-S*SG |
| Relative HR% | D*M/D*S/D*W | - | I-SSG*NO/FG*NO/FG*E-SSG/FG*I-SSG | CG*SG/SP*SG/P-S*SG/CG*SE/SP*SE/P-S*SE |
| Intensity | Training Session | Official Match | Inter-Group Differences | |||
|---|---|---|---|---|---|---|
| M ± SD | U | p | r | |||
| Subjective eTL 1 | eTL*min | 419.77 ± 218.41 | 1160.44 ± 298.79 | 1693.00 | 0.00 * | 0.39 |
| Objective eTL | m/min | 57.26 ± 20.95 | 91.28 ± 11.64 | 2334.50 | 0.00 * | 0.37 |
| Acc/min | 37.11 ± 7.09 | 31.15 ± 2.60 | 8112.50 | 0.00 * | 0.22 | |
| Dec/min | 37.09 ± 7.09 | 31.14 ± 2.61 | 8134.50 | 0.00 * | 0.22 | |
| HIA/min | 0.48 ± 1.64 | 2.20 ± 1.84 | 3477.00 | 0.00 * | 0.41 | |
| Sprints/min | 1.71 ± 5.96 | 7.11 ± 14.87 | 11057.00 | 0.00 * | 0.23 | |
| PL/min | 2.33 ± 13.94 | 1.28 ± 0.24 | 5392.50 | 0.00 * | 0.29 | |
| Objective iTL | HRavg | 126.47 ± 24.95 | 152.51 ± 18.30 | 3037.50 | 0.00 * | 0.28 |
| Relative HR% | 65.97 ± 14.36 | 80.58 ± 10.03 | 2869.00 | 0.00 * | 0.29 | |
Publisher’s Note: MDPI stays neutral with regard to jurisdictional claims in published maps and institutional affiliations. |
© 2022 by the authors. Licensee MDPI, Basel, Switzerland. This article is an open access article distributed under the terms and conditions of the Creative Commons Attribution (CC BY) license (https://creativecommons.org/licenses/by/4.0/).
Share and Cite
García-Ceberino, J.M.; Bravo, A.; de la Cruz-Sánchez, E.; Feu, S. Analysis of Intensities Using Inertial Motion Devices in Female Soccer: Do You Train like You Compete? Sensors 2022, 22, 2870. https://doi.org/10.3390/s22082870
García-Ceberino JM, Bravo A, de la Cruz-Sánchez E, Feu S. Analysis of Intensities Using Inertial Motion Devices in Female Soccer: Do You Train like You Compete? Sensors. 2022; 22(8):2870. https://doi.org/10.3390/s22082870
Chicago/Turabian StyleGarcía-Ceberino, Juan M., Ana Bravo, Ernesto de la Cruz-Sánchez, and Sebastián Feu. 2022. "Analysis of Intensities Using Inertial Motion Devices in Female Soccer: Do You Train like You Compete?" Sensors 22, no. 8: 2870. https://doi.org/10.3390/s22082870
APA StyleGarcía-Ceberino, J. M., Bravo, A., de la Cruz-Sánchez, E., & Feu, S. (2022). Analysis of Intensities Using Inertial Motion Devices in Female Soccer: Do You Train like You Compete? Sensors, 22(8), 2870. https://doi.org/10.3390/s22082870

