Ideal Combinations of Acceleration-Based Intensity Metrics and Sensor Positions to Monitor Exercise Intensity under Different Types of Sports
Abstract
:1. Introduction
2. Materials and Methods
2.1. Participants
2.2. Measurement
2.3. Procedures
2.3.1. Familiarization Trial
2.3.2. Experimental Procedure
2.3.3. Running Session
2.3.4. Basketball Session
2.3.5. Badminton Session
2.4. Data Analysis
2.5. Statistical Analysis
3. Results
3.1. %HRR Intensity
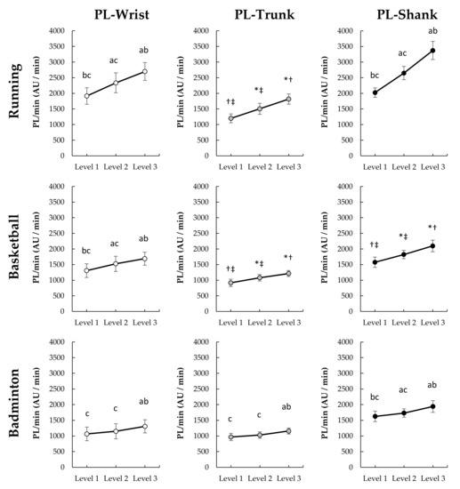
3.2. Accelerometer Intensity
3.3. Intensity Correlation by Sport and Sensor Location
4. Discussion
5. Conclusions
Supplementary Materials
Author Contributions
Funding
Institutional Review Board Statement
Informed Consent Statement
Data Availability Statement
Conflicts of Interest
References
- Thompson, W.R. Worldwide survey of fitness trends for 2019. ACSMs Health Fit. J. 2018, 22, 10–17. [Google Scholar] [CrossRef]
- Thompson, W.R. Worldwide survey of fitness trends for 2020. ACSMs Health Fit. J. 2019, 23, 10–18. [Google Scholar] [CrossRef]
- Thompson, W.R. Worldwide survey of fitness trends for 2021. ACSM Health Fit. J. 2021, 25, 10–19. [Google Scholar] [CrossRef]
- Chen, S.; Lach, J.; Lo, B.; Yang, G.-Z. Toward pervasive gait analysis with wearable sensors: A systematic review. IEEE J. Biomed. Health Inform. 2016, 20, 1521–1537. [Google Scholar] [CrossRef]
- Halson, S.L. Monitoring training load to understand fatigue in athletes. Sports Med. 2014, 44, 139–147. [Google Scholar] [CrossRef] [Green Version]
- Welk, G.J.; Blair, S.N.; Wood, K.; Jones, S.; Thompson, R.W. A comparative evaluation of three accelerometry-based physical activity monitors. Med. Sci. Sports Exerc. 2000, 32, S489–S497. [Google Scholar] [CrossRef]
- Da Cunha, F.A.; Farinatti, P.d.T.V.; Midgley, A.W. Methodological and practical application issues in exercise prescription using the heart rate reserve and oxygen uptake reserve methods. J. Sci. Med. Sport 2011, 14, 46–57. [Google Scholar] [CrossRef]
- Liu, T.-H.; Chen, W.-H.; Shih, Y.; Lin, Y.-C.; Yu, C.; Shiang, T.-Y. Better position for the wearable sensor to monitor badminton sport training loads. Sports Biomech. in press. [CrossRef]
- Heishman, A.D.; Daub, B.D.; Miller, R.M.; Freitas, E.D.; Bemben, M.G. Monitoring external training loads and neuromuscular performance for division I basketball players over the preseason. J. Sports Sci. Med. 2020, 19, 204. [Google Scholar]
- Berkelmans, D.M.; Dalbo, V.J.; Fox, J.L.; Stanton, R.; Kean, C.O.; Giamarelos, K.E.; Teramoto, M.; Scanlan, A.T. Influence of different methods to determine maximum heart rate on training load outcomes in basketball players. J. Strength Cond Res. 2018, 32, 3177–3185. [Google Scholar] [CrossRef]
- Aschendorf, P.F.; Zinner, C.; Delextrat, A.; Engelmeyer, E.; Mester, J. Effects of basketball-specific high-intensity interval training on aerobic performance and physical capacities in youth female basketball players. Phys. Sportsmed. 2019, 47, 65–70. [Google Scholar] [CrossRef] [PubMed]
- Boyd, L.J.; Ball, K.; Aughey, R.J. The reliability of MinimaxX accelerometers for measuring physical activity in Australian football. Int. J. Sports Physiol. Perform. 2011, 6, 311–321. [Google Scholar] [CrossRef] [PubMed]
- Gastin, P.B.; McLean, O.; Spittle, M.; Breed, R.V. Quantification of tackling demands in professional Australian football using integrated wearable athlete tracking technology. J. Sci. Med. Sport 2013, 16, 589–593. [Google Scholar] [CrossRef] [PubMed]
- Bredt, S.d.G.T.; Chagas, M.H.; Peixoto, G.H.; Menzel, H.J.; de Andrade, A.G.P. Understanding player load: Meanings and limitations. J. Hum. Kinet 2020, 71, 5. [Google Scholar] [CrossRef] [PubMed] [Green Version]
- Montgomery, P.G.; Pyne, D.B.; Minahan, C.L. The physical and physiological demands of basketball training and competition. Int. J. Sports Physiol. Perform. 2010, 5, 75–86. [Google Scholar] [CrossRef] [PubMed] [Green Version]
- Quarrie, K.L.; Raftery, M.; Blackie, J.; Cook, C.J.; Fuller, C.W.; Gabbett, T.J.; Gray, A.J.; Gill, N.; Hennessy, L.; Kemp, S. Managing player load in professional rugby union: A review of current knowledge and practices. Br. J. Sports Med. 2017, 51, 421–427. [Google Scholar] [CrossRef]
- Dalen, T.; Jørgen, I.; Gertjan, E.; Havard, H.G.; Ulrik, W. Player load, acceleration, and deceleration during forty-five competitive matches of elite soccer. J. Strength Cond Res. 2016, 30, 351–359. [Google Scholar] [CrossRef]
- Barrett, S.; Midgley, A.; Lovell, R. PlayerLoad™: Reliability, convergent validity, and influence of unit position during treadmill running. Int. J. Sports Physiol. Perform. 2014, 9, 945–952. [Google Scholar] [CrossRef]
- Vähä-Ypyä, H.; Vasankari, T.; Husu, P.; Suni, J.; Sievänen, H. A universal, accurate intensity-based classification of different physical activities using raw data of accelerometer. Clin. Physiol. Funct. Imaging 2015, 35, 64–70. [Google Scholar] [CrossRef]
- Vähä-Ypyä, H.; Vasankari, T.; Husu, P.; Mänttäri, A.; Vuorimaa, T.; Suni, J.; Sievänen, H. Validation of cut-points for evaluating the intensity of physical activity with accelerometry-based mean amplitude deviation (MAD). PLoS ONE 2015, 10, e0134813. [Google Scholar] [CrossRef] [Green Version]
- Bakrania, K.; Yates, T.; Rowlands, A.V.; Esliger, D.W.; Bunnewell, S.; Sanders, J.; Davies, M.; Khunti, K.; Edwardson, C.L. Intensity thresholds on raw acceleration data: Euclidean norm minus one (ENMO) and mean amplitude deviation (MAD) approaches. PLoS ONE 2016, 11, e0164045. [Google Scholar] [CrossRef] [PubMed] [Green Version]
- Matthews, C.E.; Hagströmer, M.; Pober, D.M.; Bowles, H.R. Best practices for using physical activity monitors in population-based research. Med. Sci. Sports Exerc. 2012, 44, S68. [Google Scholar] [CrossRef] [PubMed] [Green Version]
- Aittasalo, M.; Vähä-Ypyä, H.; Vasankari, T.; Husu, P.; Jussila, A.-M.; Sievänen, H. Mean amplitude deviation calculated from raw acceleration data: A novel method for classifying the intensity of adolescents’ physical activity irrespective of accelerometer brand. BMC Sports Sci. Med. Rehabil. 2015, 7, 18. [Google Scholar] [CrossRef] [PubMed] [Green Version]
- Kuntze, G.; Mansfield, N.; Sellers, W. A biomechanical analysis of common lunge tasks in badminton. J. Sports Sci. 2010, 28, 183–191. [Google Scholar] [CrossRef] [Green Version]
- Klusemann, M.J.; Pyne, D.B.; Hopkins, W.G.; Drinkwater, E.J. Activity profiles and demands of seasonal and tournament basketball competition. Int. J. Sports Physiol. Perform. 2013, 8, 623–629. [Google Scholar] [CrossRef] [PubMed]
- Chen, W.-H.; Lee, Y.-S.; Yang, C.-J.; Chang, S.-Y.; Shih, Y.; Sui, J.-D.; Chang, T.-S.; Shiang, T.-Y. Determining motions with an IMU during level walking and slope and stair walking. J. Sports Sci. 2020, 38, 62–69. [Google Scholar] [CrossRef]
- Edwardson, C.L.; Gorely, T. Epoch length and its effect on physical activity intensity. Med. Sci. Sports Exerc. 2010, 42, 928–934. [Google Scholar] [CrossRef]
- Mcclain, J.J.; Abraham, T.L.; Brusseau, T.A.J.; Tudor-Locke, C. Epoch length and accelerometer outputs in children: Comparison to direct observation. Med. Sci. Sports Exerc. 2008, 40, 2080–2087. [Google Scholar] [CrossRef] [Green Version]
- Roy, S.; Mccrory, J. Validation of maximal heart rate prediction equations based on sex and physical activity status. Int. J. Exerc. Sci. 2015, 8, 318. [Google Scholar]
- Schober, P.; Boer, C.; Schwarte, L.A. Correlation coefficients: Appropriate use and interpretation. Anesth. Analg. 2018, 126, 1763–1768. [Google Scholar] [CrossRef]
- Weiss, K.J.; Allen, S.V.; McGuigan, M.R.; Whatman, C.S. The relationship between training load and injury in men’s professional basketball. Int. J. Sports Physiol. Perform. 2017, 12, 1238–1242. [Google Scholar] [CrossRef] [PubMed]







| Publisher’s Note: MDPI stays neutral with regard to jurisdictional claims in published maps and institutional affiliations. | 
© 2022 by the authors. Licensee MDPI, Basel, Switzerland. This article is an open access article distributed under the terms and conditions of the Creative Commons Attribution (CC BY) license (https://creativecommons.org/licenses/by/4.0/).
Share and Cite
Chen, W.-H.; Chiang, C.-W.; Fiolo, N.J.; Fuchs, P.X.; Shiang, T.-Y. Ideal Combinations of Acceleration-Based Intensity Metrics and Sensor Positions to Monitor Exercise Intensity under Different Types of Sports. Sensors 2022, 22, 2583. https://doi.org/10.3390/s22072583
Chen W-H, Chiang C-W, Fiolo NJ, Fuchs PX, Shiang T-Y. Ideal Combinations of Acceleration-Based Intensity Metrics and Sensor Positions to Monitor Exercise Intensity under Different Types of Sports. Sensors. 2022; 22(7):2583. https://doi.org/10.3390/s22072583
Chicago/Turabian StyleChen, Wei-Han, Chun-Wei Chiang, Nicholas J. Fiolo, Philip X. Fuchs, and Tzyy-Yuang Shiang. 2022. "Ideal Combinations of Acceleration-Based Intensity Metrics and Sensor Positions to Monitor Exercise Intensity under Different Types of Sports" Sensors 22, no. 7: 2583. https://doi.org/10.3390/s22072583
APA StyleChen, W.-H., Chiang, C.-W., Fiolo, N. J., Fuchs, P. X., & Shiang, T.-Y. (2022). Ideal Combinations of Acceleration-Based Intensity Metrics and Sensor Positions to Monitor Exercise Intensity under Different Types of Sports. Sensors, 22(7), 2583. https://doi.org/10.3390/s22072583
 
         
                                                



