Design Guidelines for Sensors Based on Spiral Resonators
Abstract
:1. Introduction
2. Sensor Design and Theory
3. Maximizing the Sensing Range
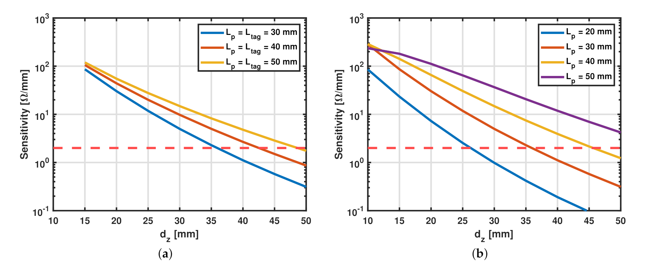
3.1. Scaling SR and Probe Dimensions
3.2. Optimizing Probe Dimensions
3.3. Robustness to Lateral Displacements
3.4. Analysis of the Effect of Other Design Parameters
4. Coupling between the SR and the Loop at Short Separation Distances
4.1. Near-Field Capacitive Coupling
4.2. Modeling of the Additional Capacitance
5. Experimental Validation
6. Conclusions
Author Contributions
Funding
Acknowledgments
Conflicts of Interest
References
- Chen, T.; Li, S.; Sun, H. Metamaterials Application in Sensing. Sensors 2012, 12, 2742–2765. [Google Scholar] [CrossRef] [PubMed]
 - Schueler, M.; Mandel, C.; Puentes, M.; Jakoby, R. Metamaterial inspired microwave sensors. IEEE Microw. Mag. 2012, 13, 57–68. [Google Scholar] [CrossRef]
 - Costa, F.; Genovesi, S.; Borgese, M.; Michel, A.; Dicandia, F.A.; Manara, G. A Review of RFID Sensors, the New Frontier of Internet of Things. Sensors 2021, 21, 3138. [Google Scholar] [CrossRef]
 - Martín, F.; Vélez, P.; Gil, M. Microwave Sensors Based on Resonant Elements. Sensors 2020, 20, 3375. [Google Scholar] [CrossRef] [PubMed]
 - Pendry, J.; Holden, A.; Robbins, D.; Stewart, W. Magnetism from conductors and enhanced nonlinear phenomena. IEEE Trans. Microw. Theory Tech. 1999, 47, 2075–2084. [Google Scholar] [CrossRef] [Green Version]
 - Ossa-Molina, O.; Duque-Giraldo, J.; Reyes-Vera, E. Strain Sensor Based on Rectangular Microstrip Antenna: Numerical Methodologies and Experimental Validation. IEEE Sens. J. 2021, 21, 22908–22917. [Google Scholar] [CrossRef]
 - Paredes, F.; Herrojo, C.; Martín, F. 3D-Printed Quasi-Absolute Electromagnetic Encoders for Chipless-RFID and Motion Control Applications. Electronics 2021, 10, 1154. [Google Scholar] [CrossRef]
 - Albishi, A.M.; Alshebeili, S.A.; Ramahi, O.M. Three-Dimensional Split-Ring Resonators-Based Sensors for Fluid Detection. IEEE Sens. J. 2021, 21, 9138–9147. [Google Scholar] [CrossRef]
 - Mata-Contreras, J.; Herrojo, C.; Martín, F. Application of Split Ring Resonator (SRR) Loaded Transmission Lines to the Design of Angular Displacement and Velocity Sensors for Space Applications. IEEE Trans. Microw. Theory Tech. 2017, 65, 4450–4460. [Google Scholar] [CrossRef] [Green Version]
 - Genovesi, S.; Costa, F.; Borgese, M.; Dicandia, F.A.; Manara, G. Chipless Radio Frequency Identification (RFID) Sensor for Angular Rotation Monitoring. Technologies 2018, 6, 61. [Google Scholar] [CrossRef] [Green Version]
 - Dalgac, S.; Akdogan, V.; Kiris, S.; Incesu, A.; Akgol, O.; Unal, E.; Basar, M.T.; Karaaslan, M. Investigation of methanol contaminated local spirit using metamaterial based transmission line sensor. Measurement 2021, 178, 109360. [Google Scholar] [CrossRef]
 - Al-Duhni, G.; Wongkasem, N. Metal Discovery by Highly Sensitive Microwave Multi-Band Metamaterial-Inspired Sensors. Prog. Electromagn. Res. B 2021, 93, 1–22. [Google Scholar] [CrossRef]
 - Carr, A.R.; Patel, Y.H.; Neff, C.R.; Charkhabi, S.; Kallmyer, N.E.; Angus, H.F.; Reuel, N.F. Sweat monitoring beneath garments using passive, wireless resonant sensors interfaced with laser-ablated microfluidics. NPJ Digit. Med. 2020, 3, 62. [Google Scholar] [CrossRef] [PubMed]
 - Liu, Y.; Wang, M.; Yu, M.; Xia, B.; Ye, T.T. Embroidered Inductive Strain Sensor for Wearable Applications. In Proceedings of the 2020 IEEE International Conference on Pervasive Computing and Communications Workshops (PerCom Workshops), Austin, TX, USA, 23–27 March 2020; pp. 1–6. [Google Scholar] [CrossRef]
 - Mahmood, M.F.; Mohammed, S.L.; Gharghan, S.K.; Zubaidi, S.L. Wireless Power Transfer based on Spiral–Spider Coils for a Wireless Heart Rate Sensor. In Proceedings of the 2020 13th International Conference on Developments in eSystems Engineering (DeSE), Liverpool, UK, 14–17 December 2020; pp. 183–188. [Google Scholar] [CrossRef]
 - Wang, H.; Li, W.; Feng, Z. A Compact and High-Performance Eddy-Current Sensor Based on Meander-Spiral Coil. IEEE Trans. Magn. 2015, 51, 4003806. [Google Scholar] [CrossRef]
 - Elgeziry, M.; Costa, F.; Genovesi, S. Distance sensing using spiral resonators. In Proceedings of the 2021 XXXIVth General Assembly and Scientific Symposium of the International Union of Radio Science (URSI GASS), Rome, Italy, 28 August–4 September 2021; pp. 1–4. [Google Scholar] [CrossRef]
 - Djuric, S.M. Performance Analysis of a Planar Displacement Sensor With Inductive Spiral Coils. IEEE Trans. Magn. 2014, 50, 4004104. [Google Scholar] [CrossRef]
 - Su, S.; Zhang, L.; Guo, Y.; Lu, F.; Tan, Q.; Xiong, J. Displacement Measurement Realized by Near-field Coupling between Multiple Coils. Sens. Mater. 2018, 30, 101–109. [Google Scholar]
 - Kumar, P.; Ali, T.; Pai, M.M.M. Electromagnetic Metamaterials: A New Paradigm of Antenna Design. IEEE Access 2021, 9, 18722–18751. [Google Scholar] [CrossRef]
 - Bilotti, F.; Toscano, A.; Vegni, L. Design of Spiral and Multiple Split-Ring Resonators for the Realization of Miniaturized Metamaterial Samples. IEEE Trans. Antennas Propag. 2007, 55, 2258–2267. [Google Scholar] [CrossRef]
 - Brizi, D.; Fontana, N.; Costa, F.; Monorchio, A. Accurate Extraction of Equivalent Circuit Parameters of Spiral Resonators for the Design of Metamaterials. IEEE Trans. Microw. Theory Tech. 2019, 67, 626–633. [Google Scholar] [CrossRef] [Green Version]
 - Jow, U.M.; Ghovanloo, M. Design and Optimization of Printed Spiral Coils for Efficient Transcutaneous Inductive Power Transmission. IEEE Trans. Biomed. Circuits Syst. 2007, 1, 193–202. [Google Scholar] [CrossRef]
 - Baena, J.; Bonache, J.; Martin, F.; Sillero, R.; Falcone, F.; Lopetegi, T.; Laso, M.; Garcia-Garcia, J.; Gil, I.; Portillo, M.; et al. Equivalent-circuit models for split-ring resonators and complementary split-ring resonators coupled to planar transmission lines. IEEE Trans. Microw. Theory Tech. 2005, 53, 1451–1461. [Google Scholar] [CrossRef]
 - Mohan, S.; del Mar Hershenson, M.; Boyd, S.; Lee, T. Simple accurate expressions for planar spiral inductances. IEEE J. Solid-State Circuits 1999, 34, 1419–1424. [Google Scholar] [CrossRef] [Green Version]
 - Cheng, Y.; Shu, Y. A New Analytical Calculation of the Mutual Inductance of the Coaxial Spiral Rectangular Coils. IEEE Trans. Magn. 2014, 50, 7026806. [Google Scholar] [CrossRef]
 - Elgeziry, M.; Costa, F.; Genovesi, S. Wireless Monitoring of Displacement Using Spiral Resonators. IEEE Sens. J. 2021, 21, 17838–17845. [Google Scholar] [CrossRef]
 - Schormans, M.; Valente, V.; Demosthenous, A. Practical Inductive Link Design for Biomedical Wireless Power Transfer: A Tutorial. IEEE Trans. Biomed. Circuits Syst. 2018, 12, 1112–1130. [Google Scholar] [CrossRef] [PubMed] [Green Version]
 - Ko, W.H.; Liang, S.P.; Fung, C.D.F. Design of radio-frequency powered coils for implant instruments. Med Biol. Eng. Comput. 1977, 15, 634–640. [Google Scholar] [CrossRef]
 - Moreton, G.; Meydan, T.; Williams, P. Using finite element modelling and experimental methods to investigate planar coil sensor topologies for inductive measurement of displacement. AIP Adv. 2018, 8, 047503. [Google Scholar] [CrossRef] [Green Version]
 - Horestani, A.K.; Fumeaux, C.; Al-Sarawi, S.F.; Abbott, D. Displacement Sensor Based on Diamond-Shaped Tapered Split Ring Resonator. IEEE Sens. J. 2013, 13, 1153–1160. [Google Scholar] [CrossRef]
 - Yuan, C.; Trick, T. A simple formula for the estimation of the capacitance of two-dimensional interconnects in VLSI circuits. IEEE Electron Device Lett. 1982, 3, 391–393. [Google Scholar] [CrossRef]
 - Majumdar, A.; Cunningham, J.E.; Krishnamoorthy, A.V. Alignment and Performance Considerations for Capacitive, Inductive, and Optical Proximity Communication. IEEE Trans. Adv. Packag. 2010, 33, 690–701. [Google Scholar] [CrossRef]
 














| Parameter | 15 mm | 20 mm | 25 mm | 30 mm | 35 mm | 40 mm | 50 mm | 
|---|---|---|---|---|---|---|---|
| 15 mm | 20 mm | 25 mm | 30 mm | 35 mm | 40 mm | 50 mm | |
|---|---|---|---|---|---|---|---|
| 0.2% | 0.4% | 0.7% | 0.9% | 0.6% | 0.5% | 0.5% | |
| 0.5% | 0.7% | 1.1% | 1.1% | 1.2% | 1.3% | 1.4% | 
Publisher’s Note: MDPI stays neutral with regard to jurisdictional claims in published maps and institutional affiliations.  | 
© 2022 by the authors. Licensee MDPI, Basel, Switzerland. This article is an open access article distributed under the terms and conditions of the Creative Commons Attribution (CC BY) license (https://creativecommons.org/licenses/by/4.0/).
Share and Cite
Elgeziry, M.; Costa, F.; Genovesi, S. Design Guidelines for Sensors Based on Spiral Resonators. Sensors 2022, 22, 2071. https://doi.org/10.3390/s22052071
Elgeziry M, Costa F, Genovesi S. Design Guidelines for Sensors Based on Spiral Resonators. Sensors. 2022; 22(5):2071. https://doi.org/10.3390/s22052071
Chicago/Turabian StyleElgeziry, Mahmoud, Filippo Costa, and Simone Genovesi. 2022. "Design Guidelines for Sensors Based on Spiral Resonators" Sensors 22, no. 5: 2071. https://doi.org/10.3390/s22052071
APA StyleElgeziry, M., Costa, F., & Genovesi, S. (2022). Design Guidelines for Sensors Based on Spiral Resonators. Sensors, 22(5), 2071. https://doi.org/10.3390/s22052071
        
                                                
