A Multipopulation Dynamic Adaptive Coevolutionary Strategy for Large-Scale Complex Optimization Problems
Abstract
:1. Introduction
2. Description of Large-Scale Complex Optimization Problems
3. Coevolutionary Particle Swarm Optimization Algorithm Based on DAEN
- Dynamic adaptive evolutionary network model based on topological connection strength. It is well-known that a network can be regarded as the combination of vertex set and edge set. Thus, we have used the edge to represent the connection between particles, which can describe the cooperative search relationship between particles, and analyze its adaptive cooperative evolution law. Following this idea, the particles were divided into model particles and ordinary particles according to the threshold value of particle type, where the model particles have strong local optimization ability, and ordinary particles have strong global exploration ability. On this basis, the topological connection relationship between different particles was established, and the cooperation and optimization ability of particles were comprehensively evaluated by the distance vector and connection strength between particles, where the evolution rules of topological connection among particles were formulated to form a self-adaptive evolutionary network model that adapts to the environmental changes of large-scale complex optimization problems.
- Algorithm execution model. During the algorithm execution, the topology connection relationship among particles was adaptively adjusted according to the complex search environment, and the current optimal location and global optimal location storage area was set. Thus, the new global optimal position obtained was sent to other processes in the form of broadcast of the asynchronous iteration process, which was calculated as the current generation global optimal value. Consequently, the process communication could be reduced, and the optimization efficiency of the algorithm was improved while conforming to the biological mechanism of particle swarm optimization.
3.1. Standard Particle Swarm Algorithm
3.2. DAEN Model
3.3. Undirected Weighted DAEN Evolution Rules
- Initialize the topology: initialize particle swarm, set the fitness value threshold, calculate each particle’s fitness value, judge whether the particles’ fitness value reaches the threshold value, and define the particles that reach the threshold value as model particles and those that do not as ordinary particles. That is, the topology is initialized as a ring topology, and the connections between the model particles are fully connected in order to build an initial fully-connected topology.
- Reduced-connection rule: in order to make the algorithm jump out of local optimization and seek global optimal solution, the reduced connection operation is performed according to the edge’s reduced connection rule every time the algorithm evolves. The fully connected topology’s initial search speed is faster, but it is easy to fall into local optimization. In this paper, two kinds of reduced-connection rules are designed.Rule 1: If , Then ;Rule 2: If , Then ;
- Reduced-connection termination rule: according to the connection relationship r between particles and the distance vector, two kinds of reduced-connection termination rules are designed:Rule 3: If , End;When the change of the distance vector’s module for the particle is less than the designed threshold value, the reduced connection is stopped:Rule 4: If , End;
- Added-connection rule: according to the number of edges of the model particle pi, i.e., the size of and the local aggregation coefficient, the added-connection rules are designed to improve different particles’ adaptability and balance the particles’ global and local searching capability. Two kinds of added connection rules are designed.When DAEN is a ring topology, and when , the model particle with the farthest distance from is selected in order to establish the connection:Rule 5: If and , ThenWhen , the local aggregation coefficient μ of all model particles is calculated, and the model particle with the smallest μ is selected in order to establish a connection with the model particles farthest away from the population:Rule 6: If and , Then .
3.4. Algorithm Execution Steps
| Algorithm 1: DAEMPSO. |
|
4. Analysis of Simulation Results
4.1. Test Function and Experimental Environment
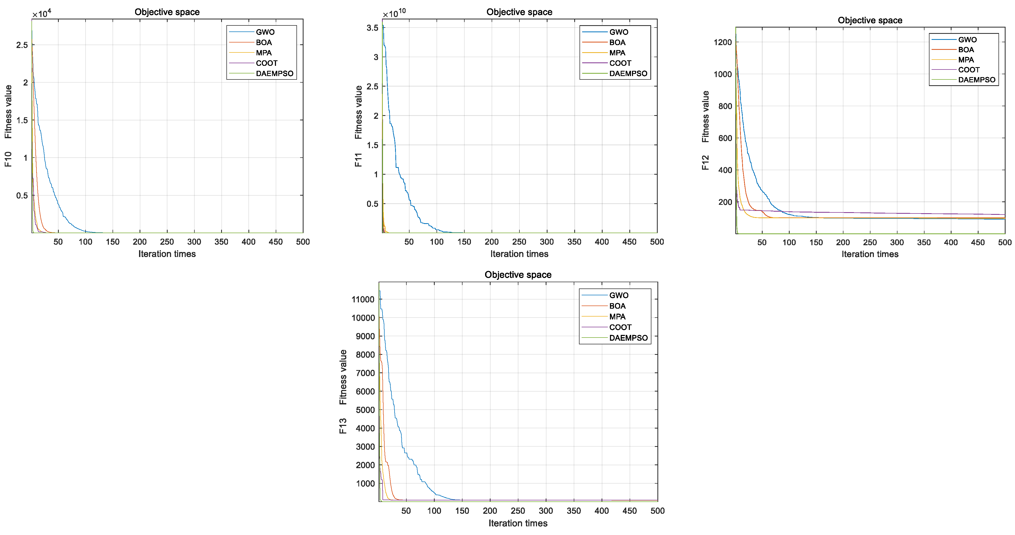
4.2. Simulations
4.3. Statistical Analysis of DAEMPSO
4.4. Result Analysis
- Division of superior and inferior populations with regard to the average location of particles can encourage the exploratory behavior of DAEMPSO in the initial iterations.
- Node connection strength has a dynamic randomized time-varying nature to guarantee the adaptive adjustment of DAEMPSO exploration and exploitation patterns.
- Different topological evolution patterns according to the connection strength of particle nodes enhance the exploitative behaviors of DAEMPSO when performing a local search.
- The progressive topological coevolution scheme can be used to drive the model particles to find the optimal position step by step, so as to improve the quality of the solution and enhance the iterative ability of the algorithm.
- A series of adaptive adjustment strategies, based on H and C for the DAEN model can inspire particles to select the best topological link relationship. Such ability also has a constructive impact on the exploitation potential of the algorithm.
5. Conclusions
- Parameter adjustment: the new algorithm does not discuss the parameter adjustment to increase the adaptive mechanism of parameters and reduce the complexity of the algorithm.
- Practical application: the algorithm proposed in this paper has good results on the test platform, but the results in practical application have not been verified, so the effectiveness of the algorithm in practical optimization problems such as large-scale production line collaborative operation needs to be verified.
Author Contributions
Funding
Institutional Review Board Statement
Informed Consent Statement
Data Availability Statement
Conflicts of Interest
References
- Aghajani, G.; Ghadimi, N. Multi-objective energy management in a micro-grid. Energy Rep. 2018, 4, 218–225. [Google Scholar] [CrossRef]
- Liu, Y.; Wang, W.; Ghadimi, N. Electricity load forecasting by an improved forecast engine for building level consumers. Energy 2017, 139, 18–30. [Google Scholar] [CrossRef]
- Hamian, M.; Darvishan, A.; Hosseinzadeh, M.; Lariche, M.J.; Ghadimi, N.; Nouri, A. A framework to expedite joint energy-reserve payment cost minimization using a custom-designed method based on Mixed Integer Genetic Algorithm. Eng. Appl. Artif. Intell. 2018, 72, 203–212. [Google Scholar] [CrossRef]
- Leng, H.; Li, X.; Zhu, J.; Tang, H.; Zhang, Z.; Ghadimi, N. A new wind power prediction method based on ridgelet transforms, hybrid feature selection and closed-loop forecasting. Adv. Eng. Inform. 2018, 36, 20–30. [Google Scholar] [CrossRef]
- Zhang, Y.F.; Chiang, H.D. A Novel Consensus-Based Particle Swarm Optimization-Assisted Trust-Tech Methodology for Large-Scale Global Optimization. IEEE Trans. Cybern. 2017, 47, 2717–2729. [Google Scholar] [CrossRef]
- Truong, K.H.; Nallagownden, P.; Elamvazuthi, I.; Vo, D.N. A Quasi-Oppositional-Chaotic Symbiotic Organisms Search algorithm for global optimization problems. Appl. Soft Comput. 2019, 77, 567–583. [Google Scholar] [CrossRef]
- Yang, Q.; Chen, W.N.; Da Deng, J.; Li, Y.; Gu, T.; Zhang, J. A Level-based Learning Swarm Optimizer for Large Scale Optimization. IEEE Trans. Evol. Comput. 2018, 22, 578–594. [Google Scholar] [CrossRef]
- Han, Z.; Zhu, Y.; Lin, S. A dynamic co-evolution compact genetic algorithm for E/T problem. IFAC Pap. 2015, 48, 1439–1443. [Google Scholar] [CrossRef]
- Aminbakhsh, S.; Sonmez, R. Discrete Particle Swarm Optimization Method for the Large-Scale Discrete Time-Cost Trade-Off Problem. Expert Syst. Appl. 2016, 51, 177–185. [Google Scholar] [CrossRef]
- Liang, J.; Liu, R.; Yu, K.J.; Qu, B.Y. Dynamic Multi-Swarm Particle Swarm Optimization with Cooperative Coevolution for Large Scale Global Optimization. Ruan Jian Xue Bao/J. Softw. 2018, 29, 2595–2605. Available online: http://www.jos.org.cn/1000-9825/5398.htm (accessed on 20 May 2021). (In Chinese).
- Yao, C.Y.; Wang, B.; Chen, D.N.; Zhang, R.X. Hybrid particle interactive particle swarm optimization algorithm. J. Mech. Eng. 2015, 51, 198–207. [Google Scholar] [CrossRef]
- Harrison, K.R.; Ombuki-Berman, B.M.; Engelbrecht, A.P. A parameter-free particle swarm optimization algorithm using performance classifiers. Inf. Sci. 2019, 503, 381–400. [Google Scholar] [CrossRef]
- Sabar, N.R.; Abawajy, J.; Yearwood, J. Heterogeneous cooperative co-evolution memetic differential evolution algorithm for big data optimization problems. IEEE Trans. Evol. Comput. 2017, 21, 315–327. [Google Scholar] [CrossRef]
- Wang, C.; Liu, Y.; Zhao, Y.; Chen, Y. A hybrid topology scale-free Gaussian-dynamic particle swarm optimization algorithm applied to real power loss minimization. Eng. Appl. Artif. Intell. 2014, 32, 63–75. [Google Scholar] [CrossRef]
- Liu, K.; Bellet, A. Escaping the curse of dimensionality in similarity learning: Efficient Frank-Wolfe algorithm and generalization bounds. Neurocomputing 2019, 333, 185–199. [Google Scholar] [CrossRef] [Green Version]
- Kennedy, J.; Eberhart, R. Particle swarm optimization. In Proceedings of the ICNN’95—International Conference on Neural Networks, Perth, Australia, 26 November–1 December 1995. [Google Scholar]
- Shu, W.; Chuang, Y.H. The perceived benefits of six-degree-separation social networks. Internet Res. 2011, 21, 26–45. [Google Scholar] [CrossRef]
- Porter, M.A. Small-world network. Scholarpedia 2012, 7, 1739. [Google Scholar] [CrossRef]
- Yao, X.; Liu, Y.; Lin, G. Evolutionary programming made faster. IEEE Trans. Evol. Comput. 1999, 3, 82–102. [Google Scholar]
- Digalakis, J.G.; Margaritis, K.G. On benchmarking functions for genetic algorithms. Int. J. Comput. Math. 2001, 77, 481–506. [Google Scholar] [CrossRef]
- Molga, M.; Smutnicki, C. Test Functions for Optimization NEEDS. 2005. Available online: http://www.robertmarks.org/Classes/ENGR5358/Papers/functions.pdf (accessed on 20 June 2021).
- Yang, X.-S. Firefly algorithm, stochastic test functions and design optimisation. Int. J. Bio-Inspired Comput. 2010, 2, 78–84. [Google Scholar] [CrossRef]
- Mirjalili, S.; Mirjalili, S.M.; Lewis, A. Grey Wolf Optimizer. Adv. Eng. Softw. 2014, 49, 46–61. [Google Scholar] [CrossRef] [Green Version]
- Arora, S.; Singh, S. Butterfly optimization algorithm: A novel approach for global optimization. Soft Comput. 2019, 23, 715–734. [Google Scholar] [CrossRef]
- Faramarzi, A.; Heidarinejad, M.; Mirjalili, S.; Gandomi, A.H. Marine Predators Algorithm: A Nature-inspired Metaheuristic. Expert Syst. Appl. 2020, 152, 113377. [Google Scholar] [CrossRef]
- Naruei, I.; Keynia, F. A new optimization method based on COOT bird natural life model. Expert Syst. Appl. 2021, 183, 115352. [Google Scholar] [CrossRef]












| Function Name | Function | Dimensions | Search Space | Theory Optimum | |
|---|---|---|---|---|---|
| F1 | SPHERE FUNCTION | 1000 | [−100, 100] | 0 | |
| F2 | ROTATED HYPER- ELLIPSOID FUNCTION | 1000 | [−100, 100] | 0 | |
| F3 | SCHWEFEL’ S PROBLEM | 1000 | [−100, 100] | 0 | |
| F4 | ROSENBROCK FUNCTION | 1000 | [−30, 30] | 0 | |
| F5 | STEP FUNCTION | 1000 | [−100, 100] | 0 | |
| F6 | QUARTIC FUNCTION | 1000 | [−1.28, 1.28] | 0 |
| Function Name | Function | Dimensions | Search Space | Theory Optimum | |
|---|---|---|---|---|---|
| F7 | SCHWEFEL FUNCTION | 1000 | [−500, 500] | 0 | |
| F8 | RASTRIGIN FUNCTION | 1000 | [−5.12, 5.12] | 0 | |
| F9 | ACKLEY FUNCTION | 1000 | [−32, 32] | 0 | |
| F10 | GRIEWANK FUNCTION | 1000 | [−600, 600] | 0 | |
| F11 | GENERALIZED PENALIZED FUNCTION 1 | 1000 | [−50, 50] | 0 | |
| F12 | GENERALIZED PENALIZED FUNCTION 2 | 1000 | [−5, 5] | 0 | |
| F13 | LEVY FUNCTION | 1000 | [−10, 10] | 0 |
| F1 | F2 | F3 | F4 | F5 | F6 | ||
|---|---|---|---|---|---|---|---|
| GWO | Obtained best solution | 2.68 × 10−9 | 4.42 × 104 | 7.13 × 10−4 | 1.22 × 10−6 | 1.87 × 10−7 | 3.66 × 10−8 |
| Average | 1.33 × 10−5 | 1.02 × 105 | 6.25 × 10 | 4.97 × 102 | 7.82 × 10 | 1.12 × 10−2 | |
| Standard deviation | 1.21 × 10−5 | 8.34 × 104 | 2.54 × 10 | 9.85 × 10 | 3.65 × 10 | 1.01 × 10−2 | |
| Success rate | 100% | 0 | 68% | 52% | 76% | 96% | |
| BOA | Obtained best solution | 4.83 × 10−15 | 8.46 × 10−17 | 1.15 × 10−18 | 6.18 × 10−6 | 2.47 × 10−11 | 1.07 × 10−12 |
| Average | 1.28 × 10−11 | 1.27 × 10−11 | 6.26 × 10−9 | 4.98 × 102 | 1.22 × 102 | 6.48 × 10−4 | |
| Standard deviation | 3.04 × 10−11 | 2.33 × 10−11 | 5.32 × 10−9 | 1.88 × 102 | 7.48 × 10 | 4.78 × 10−4 | |
| Success rate | 100% | 100% | 100% | 48% | 44% | 92% | |
| MPA | Obtained best solution | 1.01 × 10−19 | 1.41 × 10−7 | 5.51 × 10−8 | 5.25 × 10−6 | 1.70 × 10−7 | 5.33 × 10−10 |
| Average | 5.64 × 10−16 | 2.42 × 103 | 2.41 × 10−5 | 4.96 × 102 | 5.91 × 10 | 1.13 × 10−3 | |
| Standard deviation | 4.23 × 10−16 | 5.35 × 102 | 4.29 × 10−5 | 3.12 × 10 | 8.99 | 3.89 × 10−4 | |
| Success rate | 100% | 36% | 100% | 82% | 88% | 96% | |
| COOT | Obtained best solution | 5.82 × 10−46 | 2.10 × 10−54 | 8.47 × 10−22 | 5.97 × 10−9 | 1.86 × 10−8 | 5.94 × 10−7 |
| Average | 4.33 × 10−44 | 1.45 × 10−42 | 3.42 × 10−18 | 4.98 × 102 | 7.42 × 10 | 1.86 × 10−3 | |
| Standard deviation | 3.89 × 10−44 | 2.19 × 10−42 | 3.13 × 10−18 | 8.48 × 10 | 2.67 × 10 | 6.64 × 10−3 | |
| Success rate | 100% | 100% | 100% | 88% | 92% | 96% | |
| DAEMPSO | Obtained best solution | 1.11 × 10−95 | 6.67 × 10−73 | 2.00 × 10−45 | 7.73 × 10−10 | 7.90 × 10−9 | 6.66 × 10−14 |
| Average | 6.51 × 10−87 | 4.79 × 10−66 | 5.35 × 10−41 | 2.75 × 10−2 | 1.91 × 10−1 | 5.58 × 10−5 | |
| Standard deviation | 4.45 × 10−87 | 6.33 × 10−66 | 7.33 × 10−41 | 5.34 × 10−2 | 1.56 × 10−1 | 5.33 × 10−5 | |
| Success rate | 100% | 100% | 100% | 88% | 92% | 96% |
| F7 | F8 | F9 | F10 | F11 | F12 | F13 | ||
|---|---|---|---|---|---|---|---|---|
| GWO | Obtained best solution | 8.38 × 104 | 1.77 × 10−8 | 6.22 × 10−9 | 9.25 × 10−12 | 2.81 × 10−10 | 9.17 × 10−7 | 8.19 × 10−8 |
| Average | 1.41 × 105 | 3.31 × 10 | 1.55 × 10−4 | 1.13 × 10−6 | 6.29 × 10−1 | 4.23 × 10 | 3.79 × 10 | |
| Standard deviation | 5.99 × 104 | 2.59 × 10 | 3.34 × 10−4 | 5.34 × 10−7 | 2.45 × 10−1 | 9.38 | 1.42 × 10 | |
| Success rate | 0 | 84% | 92% | 100% | 92% | 76% | 80% | |
| BOA | Obtained best solution | 9.96 × 104 | 1.82 × 10−18 | 5.12 × 10−13 | 7.02 × 10−18 | 1.16 × 10−12 | 9.89 × 10−11 | 9.12 × 10−8 |
| Average | 1.90 × 105 | 9.09 × 10−13 | 5.47 × 10−9 | 1.46 × 10−11 | 1.14 | 4.99 × 10 | 4.58 × 10 | |
| Standard deviation | 6.34 × 104 | 7.16 × 10−13 | 3.67 × 10−9 | 6.55 × 10−11 | 1.06 | 1.94 × 10 | 1.05 × 10 | |
| Success rate | 0 | 100% | 100% | 100% | 84% | 88% | 88% | |
| MPA | Obtained best solution | 7.45 × 104 | 1.82 × 10−16 | 2.53 × 10−15 | 7.34 × 10−20 | 8.48 × 10−9 | 9.68 × 10−12 | 7.63 × 10−12 |
| Average | 1.17 × 105 | 9.09 × 10−13 | 1.53 × 10−9 | 1.11 × 10−16 | 2.18 × 10−1 | 4.56 × 10 | 3.20 × 10 | |
| Standard deviation | 6.44 × 104 | 3.48 × 10−13 | 1.70 × 10−9 | 7.09 × 10−16 | 3.85 × 10−1 | 1.76 × 10 | 9.16 | |
| Success rate | 0 | 100% | 100% | 100% | 92% | 88% | 92% | |
| COOT | Obtained best solution | 1.15 × 105 | 3.82 × 10−14 | 9.32 × 10−19 | 1.69 × 10−14 | 3.54 × 10−10 | 1.19 × 10−12 | 8.78 × 10−11 |
| Average | 1.35 × 105 | 1.45 × 10−11 | 8.88 × 10−16 | 7.21 × 10−11 | 2.17 × 10−1 | 5.50 × 10 | 3.96 × 10 | |
| Standard deviation | 4.93 × 104 | 2.76 × 10−11 | 4.27 × 10−16 | 2.71 × 10−11 | 9.80 × 10−2 | 3.24 × 10 | 3.32 × 10 | |
| Success rate | 0 | 100% | 100% | 100% | 96% | 88% | 92% | |
| DAEMPSO | Obtained best solution | 6.69 × 10−13 | 1.82 × 10−17 | 4.85 × 10−23 | 2.62 × 10−19 | 5.86 × 10−14 | 4.31 × 10−16 | 5.12 × 10−7 |
| Average | 2.31 × 10 | 9.09 × 10−13 | 8.88 × 10−16 | 7.77 × 10−16 | 1.75 × 10−4 | 6.21 × 10−7 | 3.84 × 10−4 | |
| Standard deviation | 1.03 × 10 | 1.85 × 10−13 | 6.58 × 10−16 | 4.72 × 10−16 | 5.70 × 10−4 | 1.38 × 10−7 | 7.81 × 10−4 | |
| Success rate | 36% | 100% | 100% | 100% | 96% | 100% | 96% |
| F1 | F2 | F3 | F4 | F5 | F6 | ||
|---|---|---|---|---|---|---|---|
| GWO | Obtained best solution | 6.18 × 10−9 | 1.02 × 105 | 7.13 × 10−7 | 5.11 × 10−12 | 7.25 × 10−8 | 8.20 × 10−8 |
| Average | 8.36 × 10−5 | 2.70 × 105 | 6.70 × 10 | 7.97 × 102 | 1.44 × 102 | 2.49 × 10−2 | |
| Standard deviation | 1.36 × 10−5 | 3.59 × 103 | 8.24 | 1.35 × 10 | 2.97 × 10 | 1.12 × 10−2 | |
| Success rate | 100% | 0 | 60% | 52% | 64% | 92% | |
| BOA | Obtained best solution | 3.90 × 10−15 | 6.21 × 10−17 | 5.06 × 10−15 | 1.68 × 10−12 | 4.27 × 10−11 | 7.81 × 10−9 |
| Average | 1.28 × 10−11 | 1.28 × 10−11 | 5.68 × 10−9 | 7.98 × 102 | 1.97 × 102 | 6.88 × 10−4 | |
| Standard deviation | 1.21 × 10−11 | 6.02 × 10−11 | 5.35 × 10−9 | 1.62 × 102 | 8.89 × 10 | 8.23 × 10−4 | |
| Success rate | 100% | 100% | 100% | 68% | 80% | 96% | |
| MPA | Obtained best solution | 6.04 × 10−18 | 4.11 × 10−6 | 1.55 × 10−14 | 5.99 × 10−12 | 2.10 × 10−11 | 1.52 × 10−8 |
| Average | 5.01 × 10−15 | 5.08 × 103 | 4.02 × 10−5 | 7.95 × 102 | 1.24 × 102 | 1.40 × 10−3 | |
| Standard deviation | 9.73 × 10−15 | 4.62 × 103 | 6.76 × 10−5 | 5.73 × 102 | 9.73 × 10 | 9.79 × 10−3 | |
| Success rate | 100% | 60% | 88% | 64% | 56% | 92% | |
| COOT | Obtained best solution | 2.58 × 10−56 | 2.10 × 10−64 | 4.78 × 10−22 | 7.59 × 10−12 | 6.81 × 10−8 | 4.59 × 10−14 |
| Average | 5.92 × 10−51 | 1.27 × 10−53 | 1.85 × 10−17 | 6.36 × 103 | 1.46 × 102 | 2.91 × 10−3 | |
| Standard deviation | 4.40 × 10−50 | 6.48 × 10−51 | 9.56 × 10−17 | 2.74 × 103 | 1.07 × 102 | 6.30 × 10−3 | |
| Success rate | 100% | 100% | 100% | 48% | 68% | 96% | |
| DAEMPSO | Obtained best solution | 1.88 × 10−97 | 3.55 × 10−67 | 2.63 × 10−45 | 5.13 × 10−11 | 9.70 × 10−13 | 3.66 × 10−9 |
| Average | 4.37 × 10−90 | 2.41 × 10−61 | 1.44 × 10−36 | 1.05 × 10−1 | 1.11 × 10−4 | 4.11 × 10−5 | |
| Standard deviation | 8.94 × 10−88 | 8.15 × 10−60 | 3.90 × 10−36 | 9.52 × 10−2 | 2.63 × 10−5 | 2.23 × 10−5 | |
| Success rate | 100% | 100% | 100% | 72% | 96% | 96% |
| F7 | F8 | F9 | F10 | F11 | F12 | F13 | ||
|---|---|---|---|---|---|---|---|---|
| GWO | Obtained best solution | 1.92 × 105 | 1.13 × 10−8 | 8.81 × 10−9 | 2.95 × 10−12 | 6.81 × 10−8 | 1.79 × 10−7 | 9.18 × 10−8 |
| Average | 2.45 × 105 | 7.15 × 10 | 1.30 × 10−3 | 4.23 × 10−2 | 7.02 × 10−1 | 7.17 × 10 | 6.41 × 10 | |
| Standard deviation | 7.09 × 104 | 4.58 × 10 | 6.19 × 10−4 | 9.58 × 10−3 | 5.19 × 10−1 | 3.55 × 10 | 2.99 × 10 | |
| Success rate | 0 | 80% | 96% | 96% | 92% | 88% | 84% | |
| BOA | Obtained best solution | 2.06 × 105 | 2.18 × 10−16 | 2.15 × 10−19 | 7.52 × 10−16 | 6.11 × 10−8 | 4.55 × 10−11 | 9.55 × 10−11 |
| Average | 3.15 × 105 | 9.09 × 10−13 | 2.22 × 10−14 | 1.47 × 10−11 | 1.14 | 7.99 × 10 | 7.31 × 10 | |
| Standard deviation | 2.01 × 105 | 4.48 × 10−13 | 5.20 × 10−14 | 3.83 × 10−11 | 8.05 × 10−1 | 5.62 × 10 | 6.74 × 10 | |
| Success rate | 0 | 100% | 100% | 100% | 92% | 76% | 84% | |
| MPA | Obtained best solution | 1.65 × 105 | 3.52 × 10−15 | 1.50 × 10−15 | 4.69 × 10−22 | 2.48 × 10−9 | 6.89 × 10−9 | 8.18 × 10−8 |
| Average | 2.09 × 105 | 1.82 × 10−12 | 1.81 × 10−9 | 1.12 × 10−16 | 3.60 × 10−1 | 7.68 × 10 | 6.01 × 10 | |
| Standard deviation | 1.95 × 105 | 6.33 × 10−13 | 5.05 × 10−9 | 9.27 × 10−17 | 2.23 × 10−1 | 3.78 × 10 | 4.13 × 10 | |
| Success rate | 0 | 100% | 100% | 100% | 92% | 80% | 84% | |
| COOT | Obtained best solution | 1.98 × 105 | 3.51 × 10−17 | 5.48 × 10−18 | 4.12 × 10−19 | 8.15 × 10−9 | 2.26 × 10−12 | 8.25 × 10−11 |
| Average | 2.54 × 105 | 9.09 × 10−13 | 2.22 × 10−14 | 5.66 × 10−15 | 5.66 × 10−1 | 7.98 × 10 | 6.74 × 10 | |
| Standard deviation | 9.25 × 104 | 7.88 × 10−13 | 5.91 × 10−14 | 3.75 × 10−15 | 4.89 × 10−1 | 5.09 × 10 | 4.90 × 10 | |
| Success rate | 0 | 100% | 100% | 100% | 92% | 84% | 88% | |
| DAEMPSO | Obtained best solution | 6.94 × 10−8 | 7.50 × 10−17 | 5.51 × 10−21 | 7.25 × 10−18 | 3.65 × 10−13 | 2.35 × 10−12 | 3.28 × 10−9 |
| Average | 3.48 | 9.09 × 10−13 | 8.88 × 10−16 | 3.33 × 10−16 | 2.99 × 10−7 | 6.42 × 10−6 | 4.50 × 10−2 | |
| Standard deviation | 2.84 | 9.24 × 10−13 | 7.41 × 10−16 | 9.13 × 10−16 | 1.35 × 10−7 | 4.36 × 10−6 | 2.03 × 10−2 | |
| Success rate | 44% | 100% | 100% | 92% | 100% | 100% | 96% |
| F1 | F2 | F3 | F4 | F5 | F6 | ||
|---|---|---|---|---|---|---|---|
| GWO | Obtained best solution | 2.75 × 10−6 | 5.93 × 104 | 3.55 × 10−2 | 2.61 × 10−2 | 3.43 × 10−3 | 8.25 × 10−6 |
| Average | 6.68 × 10−4 | 1.02 × 105 | 7.13 | 5.97 × 102 | 1.87 × 102 | 3.03 × 10−2 | |
| Standard deviation | 5.39 × 10−4 | 9.48 × 104 | 5.87 | 2.54 × 102 | 1.15 × 102 | 5.02 × 10−2 | |
| Success rate | 100% | 0% | 88% | 36% | 44% | 88% | |
| BOA | Obtained best solution | 7.15 × 10−13 | 4.45 × 10−12 | 8.12 × 10−11 | 5.51 × 10−5 | 1.15 × 10−4 | 4.65 × 10−6 |
| Average | 1.29 × 10−11 | 1.26 × 10−11 | 6.05 × 10−9 | 6.18 × 102 | 2.47 × 102 | 1.83 × 10−1 | |
| Standard deviation | 8.01 × 10−12 | 1.30 × 10-−12 | 5.83 × 10−9 | 3.90 × 102 | 8.94 × 10 | 1.10 × 10−1 | |
| Success rate | 100% | 100% | 100% | 32% | 44% | 84% | |
| MPA | Obtained best solution | 6.15 × 10−18 | 7.64 × 10−8 | 9.76 × 10−7 | 3.65 × 10−6 | 4.38 × 10−4 | 2.19 × 10−8 |
| Average | 1.01 × 10−14 | 1.41 × 10−4 | 5.51 × 10−4 | 5.95 × 102 | 1.70 × 102 | 1.36 × 10−1 | |
| Standard deviation | 5.71 × 10−14 | 7.95 × 10−5 | 1.46 × 10−4 | 2.41 × 102 | 1.25 × 102 | 5.29 × 10−1 | |
| Success rate | 100% | 100% | 100% | 44% | 48% | 92% | |
| COOT | Obtained best solution | 9.69 × 10−36 | 7.52 × 10−39 | 2.66 × 10−29 | 2.41 × 10−7 | 7.27 × 10−9 | 3.65 × 10−10 |
| Average | 5.82 × 10−26 | 2.10 × 10−34 | 8.47 × 10−22 | 5.97 × 102 | 1.86 × 102 | 5.94 × 10−4 | |
| Standard deviation | 5.59 × 10−26 | 6.84 × 10−34 | 3.36 × 10−22 | 2.86 × 102 | 1.37 × 102 | 1.44 × 10−4 | |
| Success rate | 100% | 100% | 100% | 48% | 48% | 96% | |
| DAEMPSO | Obtained best solution | 1.26 × 10−82 | 3.92 × 10−62 | 1.34 × 10−48 | 6.16 × 10−9 | 9.38 × 10−10 | 7.46 × 10−6 |
| Average | 1.11 × 10−77 | 6.67 × 10−57 | 2.00 × 10−35 | 3.15 × 10−1 | 7.90 × 10−1 | 6.66 × 10−2 | |
| Standard deviation | 7.46 × 10−76 | 6.10 × 10−57 | 2.76 × 10−35 | 1.43 × 10−1 | 4.95 × 10−1 | 3.11 × 10−2 | |
| Success rate | 100% | 100% | 100% | 84% | 88% | 92% |
| F7 | F8 | F9 | F10 | F11 | F12 | F13 | ||
|---|---|---|---|---|---|---|---|---|
| GWO | Obtained best solution | 2.26 × 105 | 3.46 × 10−6 | 2.72 × 10−9 | 9.47 × 10−7 | 4.71 × 10−8 | 4.79 × 10−8 | 4.68 × 10−11 |
| Average | 3.13 × 105 | 1.33 × 102 | 3.13 × 10−3 | 9.25 × 10−2 | 8.13 × 10−1 | 9.17 × 10 | 8.19 × 10 | |
| Standard deviation | 1.96 × 105 | 1.12 × 102 | 2.23 × 10−3 | 5.63 × 10−2 | 5.05 × 10−1 | 7.15 × 10 | 5.36 × 10 | |
| Success rate | 0 | 32% | 88% | 92% | 96% | 76% | 80% | |
| BOA | Obtained best solution | 1.37 × 104 | 7.16 × 10−15 | 9.49 × 10−19 | 5.68 × 10−14 | 5.19 × 10−5 | 2.29 × 10−6 | 8.83 × 10−8 |
| Average | 3.97 × 105 | 1.82 × 10−12 | 5.12 × 10−9 | 1.41 × 10−11 | 1.16 | 9.89 × 10 | 9.12 × 10 | |
| Standard deviation | 1.84 × 105 | 4.45 × 10−12 | 3.10 × 10−9 | 1.65 × 10−11 | 9.49 × 10−1 | 4.12 × 10 | 2.34 × 10 | |
| Success rate | 0 | 100% | 100% | 100% | 96% | 88% | 88% | |
| MPA | Obtained best solution | 1.01 × 105 | 5.99 × 10−19 | 8.11 × 10−15 | 7.00 × 10−18 | 3.31 × 10−10 | 6.39 × 10−8 | 9.77 × 10−5 |
| Average | 2.86 × 105 | 1.32 × 10−13 | 2.53 × 10−9 | 1.11 × 10−16 | 4.48 × 10−1 | 9.68 × 10 | 7.63 × 10 | |
| Standard deviation | 1.34 × 105 | 6.73 × 10−13 | 1.06 × 10−9 | 4.95 × 10−16 | 3.34 × 10−1 | 6.38 × 10 | 6.06 × 10 | |
| Success rate | 0 | 100% | 100% | 100% | 84% | 88% | 88% | |
| COOT | Obtained best solution | 2.88 × 105 | 8.50 × 10−18 | 4.92 × 10−18 | 6.50 × 10−15 | 6.68 × 10−5 | 6.72 × 10−6 | 1.82 × 10−11 |
| Average | 3.40 × 105 | 3.82 × 10−11 | 9.32 × 10−14 | 1.69 × 10−14 | 5.54 × 10−1 | 1.19 × 102 | 8.78 × 10 | |
| Standard deviation | ||||||||
| Success rate | 0 | 100% | 100% | 100% | 88% | 72% | 84% | |
| DAEMPSO | Obtained best solution | 8.85 × 10−7 | 4.90 × 10−15 | 1.99 × 10−25 | 8.34 × 10−22 | 5.54 × 10−10 | 1.29 × 10−9 | 7.65 × 10−4 |
| Average | 1.14 × 10 | 1.82 × 10−12 | 8.88 × 10−16 | 2.22 × 10−2 | 5.86 × 10−7 | 4.31 × 10−2 | 5.12 × 10−3 | |
| Standard deviation | 1.04 × 10 | 7.96 × 10−13 | 6.04 × 10−16 | 1.92 × 10−2 | 4.99 × 10−7 | 3.67 × 10−2 | 4.98 × 10−3 | |
| Success rate | 32% | 100% | 100% | 92% | 100% | 92% | 96% |
Publisher’s Note: MDPI stays neutral with regard to jurisdictional claims in published maps and institutional affiliations. |
© 2022 by the authors. Licensee MDPI, Basel, Switzerland. This article is an open access article distributed under the terms and conditions of the Creative Commons Attribution (CC BY) license (https://creativecommons.org/licenses/by/4.0/).
Share and Cite
Yin, Y.; Wang, L.; Zhang, L. A Multipopulation Dynamic Adaptive Coevolutionary Strategy for Large-Scale Complex Optimization Problems. Sensors 2022, 22, 1999. https://doi.org/10.3390/s22051999
Yin Y, Wang L, Zhang L. A Multipopulation Dynamic Adaptive Coevolutionary Strategy for Large-Scale Complex Optimization Problems. Sensors. 2022; 22(5):1999. https://doi.org/10.3390/s22051999
Chicago/Turabian StyleYin, Yanlei, Lihua Wang, and Litong Zhang. 2022. "A Multipopulation Dynamic Adaptive Coevolutionary Strategy for Large-Scale Complex Optimization Problems" Sensors 22, no. 5: 1999. https://doi.org/10.3390/s22051999
APA StyleYin, Y., Wang, L., & Zhang, L. (2022). A Multipopulation Dynamic Adaptive Coevolutionary Strategy for Large-Scale Complex Optimization Problems. Sensors, 22(5), 1999. https://doi.org/10.3390/s22051999
