Study on a Fault Mitigation Scheme for Rub-Impact of an Aero-Engine Based on NiTi Wires
Abstract
1. Introduction
2. Mechanical Behaviors of SMA Wires
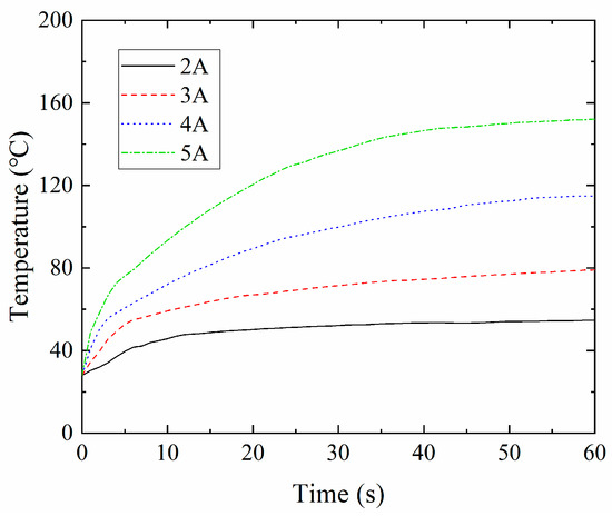
2.1. Heating Response Rate of NiTi Wires
2.2. Ultimate Strain of NiTi Wires
2.3. Free Recovery Rate of NiTi Wires
2.4. Restoring Force of NiTi Wires
3. Design of the Active Clearance Control Actuator
3.1. Prototype of the Actuator
3.2. Control Scheme of the Actuator
4. Experimental Verification of the Clearance Control Mechanism
4.1. Setting of the Threshold and Sampling Frequency
4.2. Verification of the Clearance Control Actuator
- (1)
- Effect of rotational speed
- (2)
- Effect of the electric current
5. Conclusions
- (1)
- The mechanical properties of NiTi wire are highly dependent upon the heating electric current and on its pre-strain level. It is recommended to apply a 6 A electric current to heat the wires and to use wires with a 4% pre-strain in the design of an SMA wire-based actuator.
- (2)
- The time spent in the fault mitigation/elimination process is not significantly dependent on the rotational speed of the rotor.
- (3)
- The proposed SMA-based actuator is a promising model that mitigates the rub-impact fault that occurs between the rotor and stator in aero-engines, whilst guaranteeing engine efficiency.
Author Contributions
Funding
Institutional Review Board Statement
Informed Consent Statement
Data Availability Statement
Conflicts of Interest
Abbreviations
| SMA | Shape memory alloy |
| AE | Acoustic emission |
| ACC | Active clearance control |
| SME | Shape memory effect |
| DC | Direct current |
References
- Ahmad, S. Rotor casing contact phenomenon in rotor dynamics—Literature survey. J. Vib. Control 2010, 16, 1369–1377. [Google Scholar] [CrossRef]
- Wiseman, M.W.; Guo, T.H. An investigation of life extending control techniques for gas turbine engines. In Proceedings of the American Control Conference, Arlington, VA, USA, 25–27 June 2001. [Google Scholar]
- Lattime, S.B.; Steinetz, B.M. High-pressure-turbine clearance control systems: Current practices and future directions. J. Propuls. Power 2004, 20, 302–311. [Google Scholar] [CrossRef]
- Sato, W.; Ota, S.; Yamagata, A. A study on unsteady aerodynamic excitation forces on radial turbine blade due to rotor-stator interaction. Turbomachinery 2012, 40, 605–611. [Google Scholar]
- Jacquet-Richardet, G.; Torkhani, M.; Cartraud, P.; Thouverez, F.; Nouri Baranger, T.; Herran, M.; Gibert, C.; Baguet, S.; Almeida, P.; Peletan, L. Rotor to stator contacts in turbomachines. Review and application. Mech. Syst. Signal Process. 2013, 40, 401–420. [Google Scholar] [CrossRef]
- Nitschke, S.; Wollmann, T.; Ebert, C.; Behnisch, T.; Langkamp, A.; Lang, T.; Johann, E.; Gude, M. An advanced experimental method and test rig concept for investigating the dynamic blade-tip/casing interactions under engine-like mechanical conditions. Wear 2019, 422, 161–166. [Google Scholar] [CrossRef]
- Hong, J.; Yu, P.C.; Zhang, D.Y.; Ma, Y.H. Nonlinear dynamic analysis using the complex nonlinear modes for a rotor system with an additional constraint due to rub-impact. Mech. Syst. Signal Process. 2019, 116, 443–461. [Google Scholar] [CrossRef]
- Ma, H.; Yin, F.; Wu, Z.; Tai, X.; Wen, B. Non-linear vibration response analysis of a rotor-blade system with blade-tip rubbing. Nonlinear Dyn. 2016, 84, 1225–1258. [Google Scholar] [CrossRef]
- Zeng, J.; Zhao, C.G.; Ma, H.; Yu, K.; Wen, B.C. Rubbing dynamic characteristics of the blisk-casing system with elastic supports. Aerosp. Sci. Technol. 2019, 95, 105481. [Google Scholar] [CrossRef]
- Hong, J.; Yu, P.C.; Zhang, D.Y.; Liang, Z.C. Modal characteristics analysis for a flexible rotor with non-smooth constraint due to intermittent rub-impact. Chin. J. Aeronaut. 2018, 31, 498–513. [Google Scholar] [CrossRef]
- Braut, S.; Zigulic, R.; Skoblar, A.; Roncevic, G.S. Partial rub detection based on instantaneous angular speed measurement and variational mode decomposition. J. Vib. Eng. Technol. 2020, 8, 351–364. [Google Scholar] [CrossRef]
- He, T.; Ye, W.; Pan, Q.; Liu, X.D. An automatic abrupt information extraction method based on singular value decomposition and higher-order statistics. Meas. Sci. Technol. 2016, 27, 025007. [Google Scholar] [CrossRef]
- Prosvirin, A.E.; Islam, M.; Kim, J.Y.; Kim, J.M. Rub-impact fault diagnosis using an effective IMF selection technique in ensemble empirical mode decomposition and hybrid feature models. Sensors 2018, 18, 2040. [Google Scholar] [CrossRef]
- Yu, M.Y.; Feng, Z.G.; Huang, J.J.; Zhu, L.L. Aero-engine rotor-stator rubbing position identification based on casing velocity signal. J. Vibroeng. 2016, 18, 2123–2134. [Google Scholar] [CrossRef][Green Version]
- Pan, Q.; Zhou, R.; Su, J.Y.; He, T.; Zhang, Z.B. Automatic localization of the rotor-stator rubbing fault based on acoustic emission method and higher-order statistics. J. Mech. Sci. Technol. 2019, 33, 513–524. [Google Scholar] [CrossRef]
- Wu, X.Y.; Peng, Z.K.; Ren, J.S.; Cheng, C.M.; Zhang, W.M.; Wang, D. Rub-impact fault diagnosis of rotating machinery based on 1-d convolutional neural networks. IEEE Sens. J. 2020, 20, 8349–8363. [Google Scholar] [CrossRef]
- Yang, W.; Li, J.; Peng, W.; Deng, A. A rub-impact recognition method based on improved convolutional neural network. CMC-Comput. Mat. Contin. 2020, 63, 283–299. [Google Scholar] [CrossRef]
- Zhang, H.; Cai, Y. Research on active clearance control system of HPT. In Proceedings of the 4th International Symposium on Jet Propulsion and Power Engineering, Xi’an, China, 10–12 September 2012. [Google Scholar]
- Bucaro, M.T.; Ruiz, R.J.; Albers, R.J.; Estridge, S.A.; Wartner, R.F. Thermal Control of Gas Turbine Engine Rings for Active Clearance Control. Patent US7597537, 6 October 2009. [Google Scholar]
- Tillman, D.; Gage, R.; Barrett, R. Gas Turbine Engine Turbine Blade Tip Active Clearance Control System and Method. Patent US9266618, 23 February 2016. [Google Scholar]
- DeCastro, J.; Melcher, K. A study on the requirements for fast active turbine tip clearance control systems. In Proceedings of the 40th AIAA/ASME/SAE/ASEE Joint Propulsion Conference and Exhibit, Fort Lauderdale, FL, USA, 11–14 July 2004. [Google Scholar]
- Yu, P.C.; Zhang, D.Y.; Ma, Y.H.; Hong, J. Dynamic modeling and vibration characteristics analysis of the aero-engine dual-rotor system with Fan blade out. Mech. Syst. Signal Process. 2018, 106, 158–175. [Google Scholar] [CrossRef]
- Ma, L.; Wang, J.; Zhang, G.C. The dynamic characteristic of a faulted rotor system with multi-objective optimization designed SFD. Appl. Sci. 2019, 9, 3628. [Google Scholar] [CrossRef]
- Xu, J.; Li, Q.; Wang, S. Impulsive control of the rotor-stator rub based on phase characteristic. Abstr. Appl. Anal. 2014, 2014, 495747. [Google Scholar] [CrossRef]
- Shang, Z.; Zhang, H.; Shaymurat, T. Control methods using cross-coupling effects for suppression of rotor/stator rubbing system. In Proceedings of the 7th International Conference on Mechanical and Electronics Engineering, Dalian, China, 26–27 September 2015. [Google Scholar]
- Gao, T.; Cao, S.Q.; Hou, L.L.; Hou, Y.H. An experimental study on the nonlinear vibration phenomenon of a rotor system subjected to barrel roll flight and coupled rub-impact faults. Measurement 2020, 153, 107406. [Google Scholar] [CrossRef]
- Garg, S. NASA Glenn Research in Controls and Diagnostics for Intelligent Aerospace Propulsion Systems; NASA/TM Report, 2005-214036; NASA: Washington, DC, USA, 2007. [Google Scholar]
- DeCastro, J.A.; Melcher, K.J.; Noebe, R.D. System-level design of a shape memory alloy actuator for active clearance control in the high pressure turbine. In Proceedings of the 41st Joint Propulsion Conference and Exhibit, Tucson, AZ, USA, 10–13 July 2005. [Google Scholar]
- Humbeeck, J.V. Shape memory alloys: A material and a technology. Adv. Eng. Mater. 2001, 3, 837–850. [Google Scholar] [CrossRef]
- Jani, J.M.; Leary, M.; Subic, A.; Gibson, M.A. A review of shape memory alloy research, applications and opportunities. Mater. Design. 2014, 56, 1078–1113. [Google Scholar] [CrossRef]
- Duerig, T.; Pelton, A.; Stockel, D. An overview of nitinol medical applications. Mater. Sci. Eng. A 1999, 273, 149–160. [Google Scholar] [CrossRef]
- Van Humbeeck, J. Non-medical applications of shape memory alloys. Mater. Sci. Eng. A 1999, 273, 134–148. [Google Scholar] [CrossRef]

















| Name | Composition | Density (Kg·m−3) | Melting Point (°C) |
|---|---|---|---|
| NiTi | 50.3 at%Ni | 6500 | 1295 |
| Mf (°C) | Ms (°C) | As (°C) | Af (°C) |
|---|---|---|---|
| 19.8 | 36.3 | 39.7 | 50.1 |
| I (A) | 2 | 2.5 | 3 | 3.5 | 4 | 5 | 6 | 7 | 8 |
|---|---|---|---|---|---|---|---|---|---|
| t (s) | 14.9 | 6.3 | 3.2 | 1.9 | 1.5 | 1.1 | 0.7 | 0.4 | 0.3 |
| Strain (%) | Electric Current (A) | Maximum Restoring Force (N) | Time to Reach the Maximum Restoring Force (s) |
|---|---|---|---|
| 2 | 3 | 71.3 | 31.2 |
| 4 | 81.8 | 16.3 | |
| 5 | 92.7 | 4.2 | |
| 6 | 95.8 | 3.1 | |
| 3 | 3 | 90.6 | 31.0 |
| 4 | 103.5 | 11.1 | |
| 5 | 116.4 | 5.6 | |
| 6 | 123.3 | 3.1 | |
| 4 | 3 | 142.4 | 32.8 |
| 4 | 156.7 | 16.5 | |
| 5 | 181.0 | 7.1 | |
| 6 | 180.1 | 5.0 | |
| 5 | 3 | 123.7 | 30.7 |
| 4 | 138.0 | 15.9 | |
| 5 | 158.4 | 4.9 | |
| 6 | 165.9 | 3.3 | |
| 6 | 3 | 124.6 | 33.2 |
| 4 | 154.7 | 13.7 | |
| 5 | 181.0 | 7.6 | |
| 6 | 181.8 | 4.4 | |
| 7 | 3 | 109.6 | 29.8 |
| 4 | 148.0 | 13.6 | |
| 5 | 159.5 | 6.9 | |
| 6 | 159.3 | 4.7 |
| Parts | Shape | Dimensions |
|---|---|---|
| Package | Hollow cylinder | Internal diameter: 70 mm External diameter: 76 mm Height: 150 mm |
| Electrode plate | Disc | Diameter: 40 mm Thickness: 3 mm |
| NiTi wire | Wire | Length: 50 mm Diameter: 0.8 mm Pre-strain: 4% |
| Driving lever | Rod | Diameter: 26 mm Height: 70 mm |
| Spring | Compression spring | Internal diameter: 28 mm Free height: 25 mm Wire diameter: 1.5 mm |
| Limiter | Hollow cylinder with three rollers on the side of the cylinder | Internal diameter of cylinder: 70 mm External diameter of cylinder: 76 mm Height of cylinder: 150 mm External diameter of roller: 6 mm Thickness of roller: 2 mm |
| I (A) | n (rpm) | T1 (s) | T2 (s) | T3 (s) | T4 (s) | T5 (s) |
|---|---|---|---|---|---|---|
| 6 | 1500 | 2.1 | 1.0 | 14.3 | 1.3 | 1.0 |
| 6 | 2000 | 1.8 | 0.9 | 13.5 | 1.2 | 0.8 |
| 6 | 2500 | 1.8 | 1.1 | 14.0 | 1.4 | 0.7 |
| 6 | 3000 | 2.1 | 1.0 | 13.7 | 1.3 | 1.1 |
| I (A) | n (rpm) | T1 (s) | T2 (s) | T3 (s) | T4 (s) | T5 (s) |
|---|---|---|---|---|---|---|
| 4 | 1500 | 2.3 | 13.6 | 7.2 | 1.1 | 13.1 |
| 5 | 1500 | 2.0 | 4.7 | 10.4 | 1.1 | 4.4 |
| 6 | 1500 | 2.1 | 1.0 | 14.3 | 1.3 | 1.0 |
Publisher’s Note: MDPI stays neutral with regard to jurisdictional claims in published maps and institutional affiliations. |
© 2022 by the authors. Licensee MDPI, Basel, Switzerland. This article is an open access article distributed under the terms and conditions of the Creative Commons Attribution (CC BY) license (https://creativecommons.org/licenses/by/4.0/).
Share and Cite
Pan, Q.; He, T.; Liu, W.; Liu, X.; Chen, H. Study on a Fault Mitigation Scheme for Rub-Impact of an Aero-Engine Based on NiTi Wires. Sensors 2022, 22, 1796. https://doi.org/10.3390/s22051796
Pan Q, He T, Liu W, Liu X, Chen H. Study on a Fault Mitigation Scheme for Rub-Impact of an Aero-Engine Based on NiTi Wires. Sensors. 2022; 22(5):1796. https://doi.org/10.3390/s22051796
Chicago/Turabian StylePan, Qiang, Tian He, Wendong Liu, Xiaofeng Liu, and Haibing Chen. 2022. "Study on a Fault Mitigation Scheme for Rub-Impact of an Aero-Engine Based on NiTi Wires" Sensors 22, no. 5: 1796. https://doi.org/10.3390/s22051796
APA StylePan, Q., He, T., Liu, W., Liu, X., & Chen, H. (2022). Study on a Fault Mitigation Scheme for Rub-Impact of an Aero-Engine Based on NiTi Wires. Sensors, 22(5), 1796. https://doi.org/10.3390/s22051796

