Calibration of Stereo Pairs Using Speckle Metrology
Abstract
:1. Introduction
2. Overview of Active Stereo Pairs and Calibration Approaches
3. The Agile Stereo Pair (ASP)
3.1. Description of the ASP
3.2. Theoretical 3D Reconstruction Accuracy of the ASP
4. Calibration of Stereo Pairs and the ASP
- Accuracy and repeatability of the mechanism for active pairs.
- Quality of the models describing the mechanism and cameras.
- Quality of the calibration of model parameters.
4.1. Geometric Models of the Cameras and the ASP
4.2. Procedure for Calibrating the ASP
4.2.1. Calibration of the Intrinsic Parameters of the Cameras
4.2.2. Calibration of Transform
- : current value of the angle of rotation of the motor controlling the longitudinal axis (pan).
- : current value of the angle of rotation of the motor controlling the latitudinal axis (tilt).
- : the distance that the mechanism has traveled along .
4.2.3. Calibration of the Pose of a Camera with Respect to a Calibration Target
4.2.4. Calibration of Translation Vector
4.2.5. Calibration of Transform
4.3. Calibration of Transform Using Speckle Metrology
4.3.1. What Is Laser Speckle?
4.3.2. Basic Principle of Measuring Translation and Rotation Using Speckle
4.3.3. A Four-Step Procedure for Calibrating
- STEP 1: Estimation of the Position of the APSS in the Reference Frame of the Camera
- STEP 2: Sampling of the Angular Positions of the Agile Eye
- STEP 3: Estimation of the Rotation Component of EMC by Optimization
- STEP 4: Estimation of the Translation Component ofby Optimization
5. Experiments
5.1. Experiment 1: Measurement of Angular Displacements Using Laser Speckle
5.2. Experiment 2: Calibration of for a One-Axis Configuration of the Cameras of the ASP
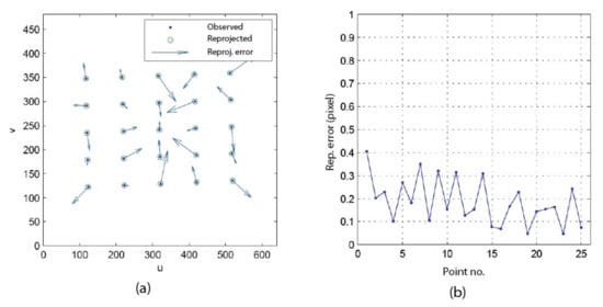
5.3. Experiment 3: Validation of the Calibrated Parameters in the Context of a Real Stereo Reconstruction Experiment
5.4. Experiment 4: Calibration of a Two-Axis System
5.4.1. Mechanical Distortion of the Two-Axis Mechanism
5.4.2. Result of the Calibration of a Two-Axis ASP System
6. Conclusions and Future Work
Author Contributions
Funding
Conflicts of Interest
Appendix A
Appendix B

Appendix C

References
- Aloimonos, J.; Weiss, I. ABandyopadhyay Active vision. Int. J. Comput. Vis. 1988, 1, 333. [Google Scholar] [CrossRef]
- Bajcsy, R. Active perception. In Proceedings of the IEEE, Dayton, OH, USA, 23–27 May 1988; Volume 76, pp. 966–1005. [Google Scholar]
- Krotkov, E.; Fuma, F.; Summers, J. An agile stereo camera system for flexible image acquisition. IEEE J. Robot. Autom. 1998, 4, 108–113. [Google Scholar] [CrossRef]
- Pahlavan, K.; Eklundh, J.-O. A Head-Eye System: Analysis and Design. CVGIP Image Underst. 1992, 56, 41. [Google Scholar] [CrossRef]
- Urquhart, C.W.; Siebert, P.J. Development of a precision active stereo system. In Proceedings of the IEEE International Symposium on Intelligent Control, Glasgow, UK, 11–13 August 1992; pp. 354–359. [Google Scholar]
- Milios, E.; Jenkin, M.; Tsotsos, J. Design and Performance of TRISH, A Binocular Robot Head with Torsional Eye Movements. Int. J. Pattern Recognit. Artif. Intell. 1993, 7, 51. [Google Scholar] [CrossRef]
- Wavering, A.J.; Fiala, J.C.; Roberts, K.J.; Lumia, R. Triclops: A high performance trinocular active vision system. In Proceedings of the IEEE International Conference on Robotics and Automation, Atlanta, GA, USA, 2–6 May 1993; Volume 3, pp. 410–417. [Google Scholar]
- Sharkey, P.; Murray, D.; McLauchlan, P.; Brooker, J. Hardware development of the Yorick series of active vision systems. Microprocess. Microsyst. 1998, 21, 363. [Google Scholar] [CrossRef]
- Sharkey, P.; Murray, D.; Vandevelde, S.; Reid, I.D.; McLauch-lan, P. A modular head/eye platform for real-time reactive vision. Mechatronics 1993, 3, 517. [Google Scholar] [CrossRef]
- Ferrier, N.J.; Clark, J.J. The Harvard binocular head. Int. J. Pattern Recognit. Artif. Intell. 1993, 7, 9. [Google Scholar] [CrossRef]
- Crowley, J.L.; Bobet, P.; Mesrabi, M. Layered Control of a Binocular Camera Head. Int. J. Pattern Recognit. Artif. Intell. 1993, 7, 109–122. [Google Scholar] [CrossRef]
- Kuniyoshi, Y.; Kita, N.; Suehiro, T.; Rougeaux, S. Active stereo vision system with foveated wide angle lenses. In Asian Conference on Computer Vision; Springer: Berlin/Heidelberg, Germany, 1995; pp. 191–200. [Google Scholar]
- Sutherland, O.; Rougeaux, S.; Abdallah, S.; Zelinsky, A. Tracking with hybrid drive active vision. In Proceedings of the Australian Conference on Robotics and Automation (ACRA 2000), Melbourne, Australia, 30 August–1 September 2000. [Google Scholar]
- Sutherland, O.; Truong, H.; Rougeaux, S.; Zelinsky, A. Advancing active vision systems by improved design and control. In Experimental Robotics VII; Springer: Berlin/Heidelberg, Germany, 2001; pp. 71–80. [Google Scholar]
- Truong, H.; Abdallah, S.; Rougeaux, S.; Zelinsky, A. A novel mechanism for stereo active vision. In Proceedings of the Conference on Robotics and Automation (ACRA 2000), Melbourne, Australia, 24–28 April 2000. [Google Scholar]
- Dankers, A.; Zelinsky, A. CeDAR: A real-world vision system. Mechanism, control and visual processing. Mach. Vis. Appl. 2004, 16, 47. [Google Scholar] [CrossRef]
- Nakabo, Y.; Fujikawa, N.; Mukai, T.; Takeuchi, Y.; Ohnishi, N. High-speed and biomimetic control of a stereo head system. In Proceedings of the SICE Annual Conference, Sapporo, Japan, 4–6 August 2004; pp. 2371–2376. [Google Scholar]
- Berthouze, L.; Rougeaux, S.; Chavand, F.; Kuniyoshi, Y. Calibration of a foveated wide-angle lens on an active vision head. In Proceedings of the CVPR IEEE Computer Society Conference on Computer Vision and Pattern Recognition, San Francisco, CA, USA, 18–20 June 1996. [Google Scholar]
- Shih, S.-W.; Hung, Y.P.; Lin, W.-S. Calibration of an active binocular head. In IEEE Transactions on Systems, Man, and Cybernetics—Part A: Systems and Humans; IEEE: Piscataway, NJ, USA, 1998; Volume 28, pp. 426–442. [Google Scholar]
- Tavakoli, H.R.; Pourreza, H.R. Automated center of radial distortion estimation, using active targets. In Proceedings of the ACCV 2009: 9th Asian Conference on Computer Vision, Xi’an, China, 23–27 September 2009; pp. 325–334. [Google Scholar]
- Schmalz, C.; Forster, F.; Angelopoulou, E. Camera calibration: Active versus passive targets. Opt. Eng. 2011, 50, 113601. [Google Scholar]
- Kurillo, G.; Li, Z.; Bajcsy, R. Wide-area external multi-camera calibration using vision graphs and virtual calibration object. In Proceedings of the 2008 Second ACM/IEEE International Conference on Distributed Smart Cameras, Stanford, CA, USA, 7–11 September 2008; pp. 1–9. [Google Scholar]
- Tsai, R. A versatile camera calibration technique for high-accuracy 3d machine vision metrology using off-the-shelf tv cameras and lenses. IEEE J. Robot. Autom. 1987, 3, 323–344. [Google Scholar] [CrossRef] [Green Version]
- Beriault, S.; Payeur, P.; Comeau, G. Flexible multi-camera network calibration for human gesture monitoring. In Proceedings of the 2007 International Workshop on Robotic and Sensors Environments, Ottawa, ON, Canada, 12–13 October 2007; pp. 1–6. [Google Scholar]
- Zhang, Z. A Flexible New Technique for Camera Calibration. Technical Report MSR-TR-98-71, Microsoft Research. 1998. Available online: https://doi.org/10.1109/34.888718 (accessed on 20 December 2021).
- Hartley, R.; Zisserman, A. Multiple View Geometry in Computer Vision; Cambridge University Press: Cambridge, UK, 2000. [Google Scholar]
- Loaiza, M.E.; Raposo, A.B.; Gattass, M. Multi-camera calibration based on an invariant pattern. Comput. Graph. 2011, 35, 198–207. [Google Scholar] [CrossRef]
- Dorfmüller, K.; Wirth, H. Real-time hand and head tracking for virtual environments using infrared beacons. In International Workshop on Capture Techniques for Virtual Environments; Springer: Berlin/Heidelberg, Germany, 1998; Volume 1537, pp. 113–127. [Google Scholar]
- Sun, J.; Liu, Q.; Liu, Z.; Zhang, G. A calibration method for stereo vision sensor with large FOV based on 1D targets. Opt. La-Sers Eng. 2011, 9, 1245–1250. [Google Scholar] [CrossRef]
- Zhao, H.; Wang, Z.; Jiang, H.; Xu, Y.; Dong, C. Calibration for stereo vision system based on phase matching and bundle adjustment algorithm. Opt. Lasers Eng. 2015, 68, 203–213. [Google Scholar] [CrossRef]
- Shen, E.; Hornsey, R. Multi-camera network calibration with a non-planar target. Sensors 2011, 11, 2356–2364. [Google Scholar]
- Zhang, H.; Wong, K.-Y.; Zhang, G. Camera Calibration from Images of Spheres. Pattern Analysis and Machine Intelligence. IEEE Trans. Pattern Anal. Mach. Intell. 2007, 29, 499–502. [Google Scholar] [CrossRef] [Green Version]
- Challis, J.H. A procedure for determining rigid body transformation parameters. J. Biomech. 1995, 28, 733–737. [Google Scholar] [CrossRef]
- Shen, E.; Carr, G.P.K.; Thomas, P.; Hornsey, R. Non-planar target for multi-camera network calibration. In Proceedings of the SENSORS, 2009 IEEE, Christchurch, New Zealand, 25–28 October 2009; pp. 1410–1414. [Google Scholar]
- Guan, B.; Yu, Y.; Su, A.; Shang, Y.; Yu, Q. Self-calibration approach to stereo cameras with radial distortion based on epipolar constraint. Appl. Opt. 2019, 58, 8511–8521. [Google Scholar] [CrossRef]
- Poggi, M.; Tosi, F.; Batsos, K.; Mordohai, P.; Mattoccia, S. On the Synergies between Machine Learning and Binocular Stereo for Depth Estimation from Images: A Survey. IEEE Trans. Pattern Anal. Mach. Intell. 2021, 1–20. [Google Scholar] [CrossRef]
- Laga, H.; Jospin, L.V.; Boussaid, F.; Bennamoun, M. A Survey on Deep Learning Techniques for Stereo-based Depth Estimation. IEEE Trans. Pattern Anal. Mach. Intell. 2021. [Google Scholar] [CrossRef]
- Hold-Geoffroy, Y.; Sunkavalli, K.; Eisenmann, J.; Fisher, M.; Gambaretto, E.; Hadap, S.; Lalonde, J.-F. A perceptual measure for deep single image camera calibration. In Proceedings of the IEEE Conference on Computer Vision and Pattern Recognition (CVPR), 18–23 June 2018; Volume 2, p. 6. [Google Scholar]
- Samson, E.; Laurendeau, D.; Parizeau, M.; Comtois, S.; Allen, J.-F.; Gosselin, C. The agile stereo pair for active vision. Mach. Vis. Appl. 2006, 17, 32–50. [Google Scholar] [CrossRef]
- Brooks, A.; Dickins, G.; Zelinsky, A.; Kieffer, J.; Abdallah, S. A high performance camera platform for real-time active vision. In Proceedings of the First International Conference on Field and Service Robotics, Canberra, Australia, 8–10 December 1997; pp. 559–564. [Google Scholar]
- Rodieck, R.W. The First Steps in Seeing, 1st ed.; Sinauer Associates: Sunderland, MA, USA, 1998. [Google Scholar]
- Caron, F. Analysis and Design of a 2 Degrees-of-Freedom Parallel Mechanism for Camera Steering (in French). Master’s Thesis, Laval University, Quebec, QC, Canada, 1997; p. 125. [Google Scholar]
- Heikkilä, J.; Silvén, O. A four-step camera calibration procedure with implicit image correction. In Proceedings of the Proceedings of IEEE Computer Society Conference on Computer Vision and Pattern Recognition, San Juan, PR, USA, 17–19 October 1997; pp. 1106–1112. [Google Scholar]
- Zhang, Z. A Flexible New Technique for Camera Calibration. IEEE Trans. Pattern Anal. Mach. Intell. 2000, 22, 1330. [Google Scholar] [CrossRef] [Green Version]
- Goodman, J.W. Statistical properties of laser speckle patterns. In Laser Speckle and Related Phenomena; Springer: Berlin/Heidelberg, Germany, 1984; pp. 9–75. [Google Scholar]
- Tiziani, H. A study of the use of laser speckle to measure small tilts of optically rough surfaces accurately. Opt. Commun. 1972, 5, 271–276. [Google Scholar] [CrossRef] [Green Version]
- Canny, J. A Computational Approach to Edge Detection. IEEE Trans. Pattern Anal. Mach. Intell. 1986, 8, 679–698. [Google Scholar] [CrossRef] [PubMed]

































| Component | Description |
|---|---|
| Cameras | Toshiba SM-43 NTSC, 7 mm ϕ, weight = 9 g, 1/4′′ CCD, Field of view = 30° |
| Translation stages | Newport MTM250OCC1, res.: 1 μm, Baseline variation range (Λ in cm): |
| Rotation encoders | MicroE M1500 (327,680 steps/rev) |
| Driving motors | 24 v DC |
| Real-time control of the motors | QNX-OS |
| DOF | Range | Resolution | Angular/Linear Speed | Angular Acceleration |
|---|---|---|---|---|
| pan | ±40° | 0.0011° | 1950°/s | 78,000°/s2 |
| tilt | ±40° | 0.0011° | 1350°/s | 40,000°/s2 |
| baseline | 50 cm | 1 μm | 8 cm/s |
| Parameter | Definition | Type a |
|---|---|---|
| Q | rotation matrix describing the rotation between frame OC and frame OW | E |
| t | translation vector describing the translation between frame OC and frame OW | E |
| f | focal length of the pinhole model | I |
| scale factors along the x and y axes | I | |
| θ | angle between the x and y axes of the image plane | I |
| coordinates of the center of the image plane | I | |
| α | I | |
| β | I | |
| γ | I |
| Category | No. of Parameters | No. of Instances | Total |
|---|---|---|---|
| Intrinsic parameters of a camera (Figure 3) | 7 | 2 | 14 |
| Transform (i = r,l) (Figure 4) | 6 | 2 | 12 |
| Translation axis (Figure 4) | 3 | 2 | 6 |
| Transform (Figure 4) | 6 | 1 | 6 |
| Total | 38 |
| APSS Parameter | Value |
|---|---|
| Laser | 30 mW @ 635 nm |
| Thickness of diffusing material | 10 pages of Vellum paper |
| Pinhole diameter | 100 μm |
| Pinhole thickness | 26 μm |
| Thickness—Frosted plexiglass mask | 6 mm |
| Parameter | Value |
|---|---|
| angular interval for rotations | −6.5° to + 6.5° |
| angular step size | 0.2° |
| point of the speckle pattern used for computing the direction vector for tracking | speckle point at the center of the circle when the camera is at 0° |
| diameter of the image of the circle | 200 pixels |
| correlation window for finding the speckle pattern | 41 × 41 pixels |
| Cal. | Parameter | Rep. Err. (RMS) | ||||
|---|---|---|---|---|---|---|
| Pattern (Pixel) | Circle (Pixel) | |||||
| 1 | 0.5104 | −3.1823 | 0.7211 | 1.8537 | 0.23 | 0.24 |
| 2 | 0.5357 | −3.1802 | 0.7624 | 1.8585 | 0.24 | 0.26 |
| 3 | 0.4335 | −3.1815 | 0.7931 | 1.8579 | 0.24 | 0.21 |
| 0.4932 | −3.1813 | 0.7589 | 1.8567 | 0.24 | 0.24 | |
| 0.0434 | 0.0009 | 0.0295 | 0.0021 | |||
| Cal | Parameters | Rep. Err. | |||||||
|---|---|---|---|---|---|---|---|---|---|
| (deg) | (Pixel) | ||||||||
| X | Y | Z | X | Y | Z | Pat. | Cir. | ||
| 1 | −0.1269 | 0.0911 | −3.5448 | −0.9676 | 0.3396 | 1.1288 | −0.0465 | 0.17 | 0.23 |
| 2 | −0.1332 | −0.2707 | −3.5350 | −1.0285 | 0.1128 | 1.1370 | −0.0459 | 0.18 | 0.17 |
| 3 | −0.0559 | 0.0821 | −3.5470 | −1.0336 | 0.3863 | 1,1333 | −0.0420 | 0.17 | 0.17 |
| 4 | 0.1283 | −0.0335 | −3.5427 | −0.9462 | 0.3984 | 1.1383 | −0.0344 | 0.18 | 0.19 |
| μ | −0.0469 | −0.0327 | −3.5424 | −0.9940 | 0.3093 | 1.1344 | 0.0422 | 0.17 | 0.19 |
| σ | 0.1056 | 0.1459 | 0.0045 | 0.0379 | 0.1155 | 0.0037 | 0.0048 | ||
Publisher’s Note: MDPI stays neutral with regard to jurisdictional claims in published maps and institutional affiliations. |
© 2022 by the authors. Licensee MDPI, Basel, Switzerland. This article is an open access article distributed under the terms and conditions of the Creative Commons Attribution (CC BY) license (https://creativecommons.org/licenses/by/4.0/).
Share and Cite
Samson, É.; Laurendeau, D.; Parizeau, M. Calibration of Stereo Pairs Using Speckle Metrology. Sensors 2022, 22, 1784. https://doi.org/10.3390/s22051784
Samson É, Laurendeau D, Parizeau M. Calibration of Stereo Pairs Using Speckle Metrology. Sensors. 2022; 22(5):1784. https://doi.org/10.3390/s22051784
Chicago/Turabian StyleSamson, Éric, Denis Laurendeau, and Marc Parizeau. 2022. "Calibration of Stereo Pairs Using Speckle Metrology" Sensors 22, no. 5: 1784. https://doi.org/10.3390/s22051784
APA StyleSamson, É., Laurendeau, D., & Parizeau, M. (2022). Calibration of Stereo Pairs Using Speckle Metrology. Sensors, 22(5), 1784. https://doi.org/10.3390/s22051784

