The Effect of Paddle Stroke Variables Measured by Trainesense SmartPaddle® on the Velocity of the Kayak
Abstract
:1. Introduction
2. Materials and Methods
2.1. Study Design and Participants
2.2. Measurement
2.3. Instrumentation
2.4. Data Processing
2.5. Statistical Analysis
3. Results
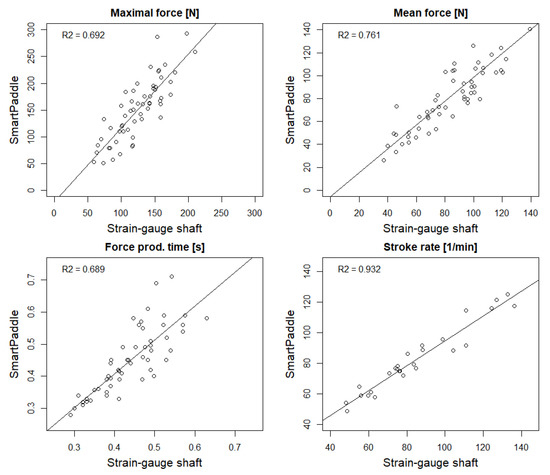
3.1. Strain-Gauge Shaft Comparison
3.2. Key Variables to Velocity
4. Discussion
5. Conclusions
Supplementary Materials
Author Contributions
Funding
Institutional Review Board Statement
Informed Consent Statement
Data Availability Statement
Acknowledgments
Conflicts of Interest
References
- Baker, J. The Evaluation of Biomechanic Performance Related Factors and On-Water Tests. Int. Semin. Kayak-Canoe Coach. Sci. 1998, 50–66. [Google Scholar]
- Michael, J.S.; Smith, R.; Rooney, K.B. Determinants of kayak paddling performance. Sports Biomech. 2009, 8, 167–179. [Google Scholar] [CrossRef] [PubMed]
- Robinson, M.G.; Holt, L.E.; Pelham, T.W. The technology of sprint racing canoe and kayak hull and paddle designs. Int. Sports J. 2002, 6, 68–85. [Google Scholar]
- Seiler, S. A biomechanical review of factors affecting rowing performance: Commentary. Br. J. Sports Med. 2002, 36, 402. [Google Scholar]
- Brown, M.B.; Lauder, M.; Dyson, R. Notational analysis of sprint kayaking: Differentiating between ability levels. Int. J. Perform. Anal. Sport 2011, 11, 171–183. [Google Scholar] [CrossRef]
- MacDermid, P.W.; Osborne, A.; Stannard, S.R. Mechanical work and physiological responses to simulated flat water Slalom Kayaking. Front. Physiol. 2019, 10, 260. [Google Scholar] [CrossRef]
- McDonnell, L.K.; Hume, P.A.; Nolte, V. Place time consistency and stroke rates required for success in K1 200-m sprint kayaking elite competition. Int. J. Perform. Anal. Sport 2013, 13, 38–50. [Google Scholar] [CrossRef]
- Tornberg, B.; Håkansson, P.; Svensson, I.; Wollmer, P. Forces applied at the footrest during ergometer kayaking among female athletes at different competing levels—A pilot study. BMC Sports Sci. Med. Rehabil. 2019, 11, 1. [Google Scholar] [CrossRef]
- Mononen, H.; Viitasalo, J. Stroke parameters and kayak speed during 200 m kayaking. Congr. Int. Soc. Biomech. 1995, 632–633. [Google Scholar]
- Gomes, B.; Ramos, N.; Conceição, F.; Sanders, R.; Vaz, M.; Vilas-Boas, J.P. Paddling force profiles at different stroke rates in elite sprint kayaking. J. Appl. Biomech. 2015, 31, 258–263. [Google Scholar] [CrossRef]
- Sanders, R.H.; Baker, J.D. Evolution of technique in flatwater kayaking. Sci. Pract. Canoe 1998, 67–81. [Google Scholar]
- Mann, R.V.; Kearney, J.T. A biomechanical analysis of the olympic-style flatwater kayak stroke. Med. Sci. Sports Exerc. 1980, 12, 183–188. [Google Scholar] [CrossRef] [PubMed]
- Aitken, D.A.; Neal, R.J. An On-Water Analysis System for Quantifying Stroke Force Characteristics during Kayak Events. Int. J. Sport Biomech. 2016, 8, 165–173. [Google Scholar] [CrossRef]
- Fleming, N.; Donne, B.; Fletcher, D.; Mahony, N. A biomechanical assessment of ergometer task specificity in elite flatwater kayakers. J. Sports Sci. Med. 2012, 11, 16–25. [Google Scholar]
- Kendal, S.J.; Sanders, R.H. The Technique of Elite Flatwater Kayak Paddlers Using the Wing Paddle. Int. J. Sport Biomech. 1992, 8, 233–250. [Google Scholar] [CrossRef]
- Limonta, E.; Squadrone, R.; Rodano, R.; Marzegan, A.; Veicsteinas, A.; Merati, G.; Sacchi, M. Tridimensional kinematic analysis on a kayaking simulator: Key factors to successful performance. Sport Sci. Health 2010, 6, 27–34. [Google Scholar] [CrossRef]
- Helmer, R.J.N.; Farouil, A.; Baker, J.; Blanchonette, I. Instrumentation of a kayak paddle to investigate blade/water interactions. Procedia Eng. 2011, 13, 501–506. [Google Scholar] [CrossRef] [Green Version]
- Bjerkefors, A.; Tarassova, O.; Rosén, J.S.; Zakaria, P.; Arndt, A. Three-dimensional kinematic analysis and power output of elite flat-water kayakers. Sports Biomech. 2018, 17, 414–427. [Google Scholar] [CrossRef]
- Lee, C.H.; Nam, K.J. Analysis of the kayak forward stroke according to skill level and knee flexion angle. Int. J. Bio-Sci. Bio-Technol. 2012, 4, 41–48. [Google Scholar]
- Therrien, M.; Colloud, F.; Begon, M. Effect of stroke rate on paddle tip path in kayaking. Mov. Sport. Sci.-Sci. Mot. 2012, 75, 113–120. [Google Scholar] [CrossRef]
- Gomes, B.B.; Ramos, N.V.; Conceição, F.; Sanders, R.; Vaz, M.; Vilas-Boas, J.P. Paddling time parameters and paddling efficiency with the increase in stroke rate in kayaking. Sports Biomech. 2020, 1–9. [Google Scholar] [CrossRef] [PubMed]
- Kong, P.W.; Tay, C.S.; Pan, J.W. Application of instrumented paddles in measuring on-water kinetics of front and back paddlers in k2 sprint kayaking crews of various ability levels. Sensors 2020, 20, 6317. [Google Scholar] [CrossRef] [PubMed]
- Macdermid, P.W.; Gilbert, C.; Jayes, J. Using a kayak paddle power-meter in the sport of whitewater slalom. J. Hum. Sport Exerc. 2019, 15, 105–118. [Google Scholar] [CrossRef]
- Lintmeijer, L.L.; Onneweer, J.P.T.; Hofmijster, M.J.; Wijgergangs, W.A.; De Koning, H.; Clairbois, B.; Westerweel, J.; Grift, E.J.; Tummers, M.J.; Van Soest, A.J. Towards determination of power loss at a rowing blade: Validation of a new method to estimate blade force characteristics. PLoS ONE 2019, 14, e0215674. [Google Scholar] [CrossRef] [PubMed] [Green Version]
- Bjerkefors, A.; Rosén, J.S.; Tarassova, O.; Arndt, A. Three-Dimensional Kinematics and Power Output in Elite Para-Kayakers and Elite Able-Bodied Flat-Water Kayakers. J. Appl. Biomech. 2019, 35, 93–100. [Google Scholar] [CrossRef] [PubMed]
- Plagenhoef, S. Biomechanical analysis of olympic flatwater kayaking and canoeing. Res. Q. Am. Alliance Health Phys. Educ. Recreat. Danc. 1979, 50, 443–459. [Google Scholar] [CrossRef]
- Espinosa, H.G.; Lee, J.; James, D.A. The Inertial Sensor: A Base Platform for Wider Adoption in Sports Science Applications. J. Fit. Res. 2015, 4, 13–20. [Google Scholar]
- Magalhaes, F.A.d.; Vannozzi, G.; Gatta, G.; Fantozzi, S. Wearable inertial sensors in swimming motion analysis: A systematic review. J. Sports Sci. 2015, 33, 732–745. [Google Scholar] [CrossRef]
- Victorino, M.N.; Jiang, X.; Menon, C. Wearable Technologies and Force Myography for Healthcare. In Wearable Technology in Medicine and Health Care; Elsevier (Academic Press): Amsterdam, The Netherlands, 2018; pp. 135–152. [Google Scholar]
- Ramos Félix, E.; da Silva, H.P.; Olstad, B.H.; Cabri, J.; Lobato Correia, P. SwimBIT: A Novel Approach to Stroke Analysis during Swim Training Based on Attitude and Heading Reference System (AHRS). Sports 2019, 7, 238. [Google Scholar] [CrossRef] [Green Version]
- Li, R.; Cai, Z.; Lee, W.; Lai, D.T. A wearable biofeedback control system based body area network for freestyle swimming. In Proceedings of the 2016 38th Annual International Conference of the IEEE Engineering in Medicine and Biology Society (EMBC), Orlando, FL, USA, 16–20 August 2016; Volume 2016, pp. 1866–1869. [Google Scholar] [CrossRef]
- Bifaretti, S.; Bonaiuto, V.; Federici, L.; Gabrieli, M.; Lanotte, N. E-kayak: A Wireless DAQ System for Real Time Performance Analysis. Procedia Eng. 2016, 147, 776–780. [Google Scholar] [CrossRef]
- Bonaiuto, V.; Gatta, G.; Romagnoli, C.; Boatto, P.; Lanotte, N.; Annino, G. A pilot study on the e-kayak system: A wireless DAQ suited for performance analysis in flatwater sprint kayaks. Sensors 2020, 20, 542. [Google Scholar] [CrossRef] [PubMed] [Green Version]
- Mooney, R.; Corley, G.; Godfrey, A.; Quinlan, L.R.; ÓLaighin, G. Inertial sensor technology for elite swimming performance analysis: A systematic review. Sensors 2015, 16, 18. [Google Scholar] [CrossRef] [PubMed] [Green Version]
- Trainesense, O. SmartPaddle Data Explained Trainesense. Available online: http://34.251.210.97/wp-content/uploads/2019/05/SmartPaddle_data_explained_short.pdf (accessed on 10 January 2021).
- Smith, S.W. Moving Average Filters. In Teoksessa Digital Signal Processing; Elsevier (Newnes): Amsterdam, The Netherlands, 2003; pp. 277–284. ISBN 978-0-7506-7444-7. [Google Scholar]
- Mehta, S.; Bastero-Caballero, R.F.; Sun, Y.; Zhu, R.; Murphy, D.K.; Hardas, B.; Koch, G. Performance of intraclass correlation coefficient (ICC) as a reliability index under various distributions in scale reliability studies. Stat. Med. 2018, 37, 2734–2752. [Google Scholar] [CrossRef] [PubMed] [Green Version]
- Martin Bland, J.; Altman, D.G. Statistical methods for assessing agreement between two methods of clinical measurement. Lancet 1986, 327, 307–310. [Google Scholar] [CrossRef]
- Cicchetti, D.V. Guidelines, Criteria, and Rules of Thumb for Evaluating Normed and Standardized Assessment Instruments in Psychology. Psychol. Assess. 1994, 6, 284–290. [Google Scholar] [CrossRef]
- R Core Team. R: A Language and Environment for Statistical Computing; R Foundation for Statistical Computing: Vienna, Austria, 2020; Available online: https://www.R-project.org/ (accessed on 15 December 2021).
- Baker, J.; Rath, D.; Sanders, R.; Kelly, B. A three dimensional analysis of male and female elite sprint kayak paddlers. In Proceedings of the XVIIth International Symposium on Biomechanics in Sports, Perth, Australia, 30 June–6 July 1999; pp. 53–56. [Google Scholar]
- Jackson, P.S. Performance prediction for olympic kayaks. J. Sports Sci. 1995, 13, 239–245. [Google Scholar] [CrossRef]
- Gomes, B.; Viriato, N.; Sanders, R.; Conceição, F.; Vaz, M. Analysis of the on-water paddling force profile on an elite kayaker. Port. J. Sport Sci. 2011, 11, 259–262. [Google Scholar]



| Mean (SD) | 1st Dataset (n = 6) 1 | 2nd Dataset (n = 14) 1 |
|---|---|---|
| Age [years] | 39.3 ± 10.1 | 40.8 ± 17.2 |
| Height [cm] | 183.3 ± 10.6 | 182.3 ± 7.6 |
| Weight [kg] | 81.3 ± 12.9 | 81.2 ± 11.6 |
| Blade angle [deg] | 80.0 ± 0.0 2 | 69.1 ± 17.9 |
| Paddle length [cm] | 206.0 ± 0.0 2 | 206.4 ± 0.9 |
| Mean (SD) | Strain-Gauge | SmartPaddle | p-Value 1 | r 2 | ICC 3 |
|---|---|---|---|---|---|
| Maximal force [N] | 125.4 ± 34.2 | 152.1 ± 57.4 | <0.001 | 0.84 ** | 0.64 *** |
| Mean force [N] | 85.4 ± 25.3 | 83.3 ± 30.3 | =0.083 | 0.88 ** | 0.86 *** |
| Force prod. time [s] | 0.43 ± 0.08 | 0.44 ± 0.10 | =0.472 | 0.88 ** | 0.81 *** |
| Stroke rate [1/min] | 84.8 ± 25.6 | 80.7 ± 21.0 | =0.199 | 0.95 ** | 0.95 *** |
| Mean (SD) | Velocity 1 | Velocity 2 | Dif V1–V2 1 | Velocity 3 | Dif V2–V3 1 |
|---|---|---|---|---|---|
| Velocity [m/s] | 2.1 ± 0.2 | 2.4 ± 0.1 | <0.001 | 2.7 ± 0.3 | <0.001 |
| Maximal force [N] | 112.6 ± 38.4 | 145.1 ± 40.1 | <0.001 | 224.9 ± 67.8 | <0.001 |
| Mean force [N] | 61.6 ± 17.9 | 83.6 ± 21.8 | <0.001 | 115.8 ± 32.2 | <0.001 |
| Force prod. time [s] | 0.46 ± 0.06 | 0.40 ± 0.06 | <0.001 | 0.34 ± 0.07 | <0.001 |
| Stroke rate [1/min] | 75.7 ± 14.3 | 93.5 ± 13.4 | <0.001 | 119.3 ± 19.7 | <0.001 |
| Total impulse abs [Ns] | 58.6 ± 16.8 | 69.2 ± 15.8 | <0.001 | 90.1 ± 22.8 | <0.001 |
| Impulse forward [%] 2 | 49.50 ± 4.29 | 50.36 ± 4.23 | 0.387 | 49.75 ± 4.05 | 0.770 |
| Impulse lateral [%] 2 | 28.81 ± 4.90 | 29.60 ± 5.10 | 0.058 | 32.08 ± 5.14 | 0.036 |
| Impulse vertical [%] 2 | 21.69 ± 4.45 | 20.04 ± 3.81 | 0.002 | 18.17 ± 4.24 | 0.009 |
| Velocity 1 | Velocity 2 | Velocity 3 | All Velocity | |
|---|---|---|---|---|
| Maximal force [N] | 0.60 ** | 0.56 ** | 0.74 ** | 0.78 ** |
| Mean force [N] | 0.61 ** | 0.47 * | 0.73 ** | 0.79 ** |
| Force prod. time [s] | −0.54 ** | −0.40 * | −0.56 ** | −0.76 ** |
| Stroke rate [1/min] | 0.82 ** | 0.34 | 0.76 ** | 0.86 ** |
| Total impulse abs [Ns] | 0.43 * | 0.52 ** | 0.74 ** | 0.70 ** |
| Impulse forward [%] | −0.15 | −0.01 | −0.18 | −0.09 |
| Impulse lateral [%] | 0.45 * | 0.11 | 0.58 ** | 0.42 ** |
| Impulse vertical [%] | −0.27 | −0.07 | −0.46 * | −0.42 ** |
Publisher’s Note: MDPI stays neutral with regard to jurisdictional claims in published maps and institutional affiliations. |
© 2022 by the authors. Licensee MDPI, Basel, Switzerland. This article is an open access article distributed under the terms and conditions of the Creative Commons Attribution (CC BY) license (https://creativecommons.org/licenses/by/4.0/).
Share and Cite
Löppönen, A.; Vänttinen, T.; Haverinen, M.; Linnamo, V. The Effect of Paddle Stroke Variables Measured by Trainesense SmartPaddle® on the Velocity of the Kayak. Sensors 2022, 22, 938. https://doi.org/10.3390/s22030938
Löppönen A, Vänttinen T, Haverinen M, Linnamo V. The Effect of Paddle Stroke Variables Measured by Trainesense SmartPaddle® on the Velocity of the Kayak. Sensors. 2022; 22(3):938. https://doi.org/10.3390/s22030938
Chicago/Turabian StyleLöppönen, Antti, Tomi Vänttinen, Marko Haverinen, and Vesa Linnamo. 2022. "The Effect of Paddle Stroke Variables Measured by Trainesense SmartPaddle® on the Velocity of the Kayak" Sensors 22, no. 3: 938. https://doi.org/10.3390/s22030938
APA StyleLöppönen, A., Vänttinen, T., Haverinen, M., & Linnamo, V. (2022). The Effect of Paddle Stroke Variables Measured by Trainesense SmartPaddle® on the Velocity of the Kayak. Sensors, 22(3), 938. https://doi.org/10.3390/s22030938

