SSA with CWT and k-Means for Eye-Blink Artifact Removal from Single-Channel EEG Signals
Abstract
:1. Introduction
2. Performance Metrics
2.1. Relative Root Measure Square Error (RRMSE)
2.2. Correlation Coefficient (CC)
2.3. Artifact Reduction Ratio ()
2.4. Mean Absolute Error (MAE)
2.5. Precision and Accuracy
3. Eye-Blink Artifact Removal from Single-Channel EEG Signals
Denoising the EEG Components from the Extracted Eye-Blink Artifact ()
4. Results
4.1. Construction of Synthetically Contaminated EEG Signal and Eye-Blink Artifact
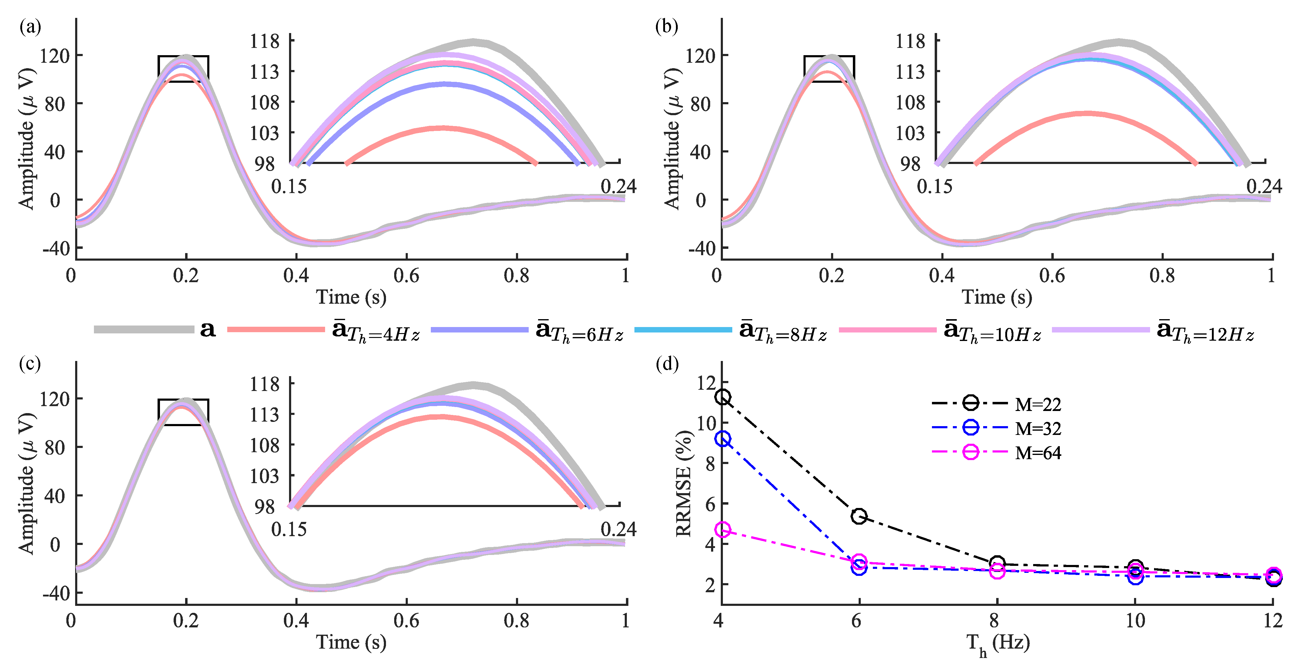
4.2. Parameter Settings for Proposed and Existing Methods
4.3. Results with Synthetic EEG Signals
4.4. Results with Real EEG Signals
5. Discussion
6. Conclusions
Author Contributions
Funding
Data Availability Statement
Conflicts of Interest
References
- Kutafina, E.; Heiligers, A.; Popovic, R.; Brenner, A.; Hankammer, B.; Jonas, S.M.; Mathiak, K.; Zweerings, J. Tracking of Mental Workload with a Mobile EEG Sensor. Sensors 2021, 21, 5205. [Google Scholar] [CrossRef] [PubMed]
- Aminov, A.; Rogers, J.M.; Johnstone, S.J.; Middleton, S.; Wilson, P.H. Acute single channel EEG predictors of cognitive function after strok. PLoS ONE 2017, 12, e0185841. [Google Scholar] [CrossRef] [Green Version]
- Guo, Z.; Pan, Y.; Zhao, G.; Cao, S.; Zhang, J. Detection of driver vigilance level using EEG Signals and driving contexts. IEEE Trans. Reliab. 2017, 67, 370–380. [Google Scholar] [CrossRef]
- Noachtar, S.; Rémi, J. The role of EEG Epilepsy: A critical review. Epilepsy Behav. 2009, 15, 22–33. [Google Scholar] [CrossRef] [PubMed]
- Wilkinson, C.M.; Burrell, J.I.; Kuziek, J.W.; Thirunavukkarasu, S.; Buck, B.H.; Mathewson, K.E. Predicting stroke severity with a 3-min recording from the Muse portable EEG system for rapid diagnosis of stroke. Sci. Rep. 2020, 10, 18465. [Google Scholar] [CrossRef]
- Hagemann, D.; Naumann, E. The effects of ocular artifacts on (lateralized) broadband power in the EEG. Clin. Neurophysiol. 2001, 112, 215–231. [Google Scholar] [CrossRef]
- Halder, S.; Bensch, M.; Mellinger, J.; Bogdan, M.; Kübler, A.; Birbaumer, N.; Rosenstiel, W. Online artifact removal for brain-computer interfaces using support vector machines and blind source separation. Comput. Intell. Neurosci. 2007, 2007, 82069. [Google Scholar] [CrossRef]
- Schlögl, A.; Keinrath, C.; Zimmermann, D.; Scherer, R.; Leeb, R.; Pfurtscheller, G. A fully automated correction method of EOG Artifacts EEG Recordings. Clin. Neurophysiol. 2007, 118, 98–104. [Google Scholar] [CrossRef] [PubMed]
- Jung, T.; Makeig, S.; Humphries, C.; Lee, T.; Mckeown, M.J.; Iragui, V.; Sejnowski, T.J. Removing electroencephalographic artifacts by blind source separation. Psychophysiology 2000, 37, 163–178. [Google Scholar] [CrossRef]
- Vigário, R.; Sarela, J.; Jousmiki, V.; Hamalainen, M.; Oja, E. Independent component approach to the analysis of EEG and MEG recordings. IEEE Trans. Biomed. Eng. 2000, 47, 589–593. [Google Scholar] [CrossRef] [PubMed] [Green Version]
- Delorme, A.; Sejnowski, T.; Makeig, S. Enhanced detection of artifacts in EEG data using higher-order statistics and independent component analysis. Neuroimage 2007, 34, 1443–1449. [Google Scholar] [CrossRef] [PubMed] [Green Version]
- De Clercq, W.; Vergult, A.; Vanrumste, B.; Van Paesschen, W.; Van Huffel, S. Canonical Correlation Analysis Applied to Remove Muscle Artifacts from the Electroencephalogram. IEEE Trans. Biomed. Eng. 2006, 53, 2583–2587. [Google Scholar] [CrossRef] [PubMed]
- Gao, J.; Zheng, C.; Wang, P. Online removal of muscle artifact from electroencephalogram signals based on canonical correlation analysis. Clin. EEG Neurosci. 2010, 41, 53–59. [Google Scholar] [CrossRef] [PubMed]
- Castellanos, N.P.; Makarov, V.A. Recovering EEG Brain Signals: Artifact suppression with wavelet enhanced independent component analysis. J. Neurosci. Methods 2006, 158, 300–312. [Google Scholar] [CrossRef] [PubMed]
- Wang, G.; Teng, C.; Li, K.; Zhang, Z.; Yan, X. The Removal of EOG Artifacts EEG Signals Using independent component analysis and multivariate empirical mode decomposition. IEEE J. Biomed. Health Inform. 2016, 20, 1301–1308. [Google Scholar] [CrossRef] [PubMed]
- Issa, M.F.; Juhasz, Z. Improved EOG Artifact Removal Using Wavelet Enhanced Independent Component Analysis. Brain Sci. 2019, 9, 355. [Google Scholar] [CrossRef] [Green Version]
- Mammone, N.; Morabito, F.C. Enhanced automatic wavelet independent component analysis for electroencephalographic artifact removal. Entropy 2014, 16, 6553–6572. [Google Scholar] [CrossRef] [Green Version]
- Chang, C.Y.; Hsu, S.H.; Pion-Tonachini, L.; Jung, T.P. Evaluation of artifact subspace reconstruction for automatic EEG artifact removal. In Proceedings of the 2018 40th Annual International Conference of the IEEE Engineering in Medicine and Biology Society (EMBC), Honolulu, HI, USA, 18–21 July 2018; pp. 1242–1245. [Google Scholar]
- Chang, C.Y.; Hsu, S.H.; Pion-Tonachini, L.; Jung, T.P. Evaluation of artifact subspace reconstruction for automatic artifact components removal in multi-channel EEG recordings. IEEE Trans. Biomed. Eng. 2019, 67, 1114–1121. [Google Scholar] [CrossRef]
- Mshali, H.; Lemlouma, T.; Moloney, M.; Magoni, D. A survey on health monitoring systems for health smart homes. Int. J. Ind. Ergon. 2018, 66, 26–56. [Google Scholar] [CrossRef] [Green Version]
- Koley, B.; Dey, D. An ensemble system for automatic sleep stage classification using single channel EEG Signal. Comput. Biol. Med. 2012, 42, 1186–1195. [Google Scholar] [CrossRef]
- Ogino, M.; Mitsukura, Y. Portable drowsiness detection through use of a prefrontal single-channel electroencephalogram. Sensors 2018, 18, 4477. [Google Scholar] [CrossRef] [PubMed] [Green Version]
- Ogino, M.; Kanoga, S.; Muto, M.; Mitsukura, Y. Analysis of prefrontal single-channel EEG Data Portable auditory ERP-based brain-computer interfaces. Front. Hum. Neurosci. 2019, 13, 250. [Google Scholar] [CrossRef] [PubMed]
- Grosselin, F.; Navarro-Sune, X.; Vozzi, A.; Pandremmenou, K.; De Vico Fallani, F.; Attal, Y.; Chavez, M. Quality assessment of single-channel EEG Wearable Devices. Sensors 2019, 19, 601. [Google Scholar] [CrossRef] [PubMed] [Green Version]
- Rogers, J.M.; Johnstone, S.J.; Aminov, A.; Donnelly, J.; Wilson, P.H. Test-retest reliability of a single-channel, wireless EEG System. Int. J. Psychophysiol. 2016, 106, 87–96. [Google Scholar] [CrossRef] [Green Version]
- He, P.; Wilson, G.; Russell, C. Removal of ocular artifacts from electro-encephalogram by adaptive filtering. Med. Biol. Eng. Comput. 2004, 42, 407–412. [Google Scholar] [CrossRef]
- Peng, H.; Hu, B.; Shi, Q.; Ratcliffe, M.; Zhao, Q.; Qi, Y.; Gao, G. Removal of ocular artifacts in EEG—An improved approach combining DWT and ANC for portable applications. IEEE J. Biomed. Health Inform. 2013, 17, 600–607. [Google Scholar] [CrossRef]
- Abd Rahman, F.; Othman, M. Real time eye blink artifacts removal in electroencephalogram using savitzky-golay referenced adaptive filtering. In Proceedings of the International Conference for Innovation in Biomedical Engineering and Life Sciences, Putrajaya, Malaysia, 6–8 December 2015; pp. 68–71. [Google Scholar]
- Shahbakhti, M.; Beiramvand, M.; Nazari, M.; Broniec-Wójcik, A.; Augustyniak, P.; Rodrigues, A.S.; Wierzchon, M.; Marozas, V. VME-DWT: An efficient algorithm for detection and elimination of eye blink from short segments of single EEG Channel. IEEE Trans. Neural Syst. Rehabil. Eng. 2021, 29, 408–417. [Google Scholar] [CrossRef]
- Wu, Q.; Zhang, W.; Wang, Y.; Zhang, W.; Liu, X. Research on removal algorithm of EOG artifacts in single-channel EEG signals based on CEEMDAN-BD. Comput. Methods Biomech. Biomed. Eng. 2021, 24, 1368–1379. [Google Scholar] [CrossRef]
- Golyandina, N.; Nekrutkin, V.; Zhigljavsky, A.A. Analysis of Time Series Structure: SSA and Related Techniques; CRC Press: Boca Raton, FL, USA, 2001. [Google Scholar]
- Ghil, M.; Allen, M.; Dettinger, M.; Ide, K.; Kondrashov, D.; Mann, M.; Robertson, A.W.; Saunders, A.; Tian, Y.; Varadi, F.; et al. Advanced spectral methods for climatic time series. Rev. Geophys. 2002, 40, 3-1–3-41. [Google Scholar] [CrossRef] [Green Version]
- Teixeira, A.; Tomé, A.; Lang, E.; Gruber, P.; da Silva, A.M. Automatic removal of high-amplitude artefacts from single-channel electroencephalograms. Comput. Methods Programs Biomed. 2006, 83, 125–138. [Google Scholar] [CrossRef]
- Sanei, S.; Lee, T.K.M.; Abolghasemi, V. A New Adaptive Line Enhancer Based on Singular Spectrum Analysis. IEEE Trans. Biomed. Eng. 2012, 59, 428–434. [Google Scholar] [CrossRef] [PubMed]
- Maddirala, A.K.; Shaik, R.A. Motion artifact removal from single channel electroencephalogram signals using singular spectrum analysis. Biomed. Signal Process. Control 2016, 30, 79–85. [Google Scholar] [CrossRef]
- Mukhopadhyay, S.K.; Krishnan, S. A singular spectrum analysis-based model-free electrocardiogram denoising technique. Comput. Methods Programs Biomed. 2020, 188, 105304. [Google Scholar] [CrossRef] [PubMed]
- Teixeira, A.R.; Tome, A.M.; Lang, E.W.; Gruber, P.; Martins da Silva, A. On the use of clustering and local singular spectrum analysis to remove ocular artifacts from electroencephalograms. In Proceedings of the 2005 IEEE International Joint Conference on Neural Networks, Montreal, QC, Canada, 31 July–4 August 2005; Volume 4, pp. 2514–2519. [Google Scholar]
- Maddirala, A.K.; Shaik, R.A. Removal of EOG artifacts from single channel EEG Signals combined singular spectrum analysis and adaptive noise canceler. IEEE Sens. J. 2016, 16, 8279–8287. [Google Scholar] [CrossRef]
- Noorbasha, S.K.; Sudha, G.F. Removal of EOG Artifacts Single Channel EEG—An efficient model combining overlap segmented ASSA and ANC. Biomed. Signal Process. Control 2020, 60, 101987. [Google Scholar] [CrossRef]
- Maddirala, A.K.; Shaik, R.A. Separation of Sources from Single-Channel EEG Signals using independent component analysis. IEEE Trans. Instrum. Meas. 2018, 67, 382–393. [Google Scholar] [CrossRef]
- Cheng, J.; Li, L.; Li, C.; Liu, Y.; Liu, A.; Qian, R.; Chen, X. Remove diverse artifacts simultaneously from a single-channel EEG Based SSA and ICA: A Semi-Simulated Study. IEEE Access 2019, 7, 60276–60289. [Google Scholar] [CrossRef]
- Maddirala, A.K.; Veluvolu, K.C. Eye-blink artifact removal from single channel EEG with k-means and SSA. Sci. Rep. 2021, 11, 11043. [Google Scholar] [CrossRef]
- Robbins, K.A.; Touryan, J.; Mullen, T.; Kothe, C.; Bigdely-Shamlo, N. How sensitive are EEG Results Preprocessing Methods: A Benchmarking Study. IEEE Trans. Neural Syst. Rehabil. Eng. 2020, 28, 1081–1090. [Google Scholar] [CrossRef]
- Hjorth, B. EEG analysis based on time domain properties. Clin. Neurophysiol. 1970, 29, 306–310. [Google Scholar] [CrossRef]
- Sevcik, C. A procedure to Estimate the Fractal Dimension of Waveforms. arXiv 2010, arXiv:nlin.CD/1003.5266. [Google Scholar]
- Qiu, T. Data for: Research on Fatigue Driving Detection Based on Adaptive Multi-Scale Entropy; Mendeley Data: 2019. [CrossRef]
- Luo, H.; Qiu, T.; Liu, C.; Huang, P. Research on fatigue driving detection using forehead EEG based on adaptive multi-scale entropy. Biomed. Signal Process. Control 2019, 51, 50–58. [Google Scholar] [CrossRef]
- Schalk, G.; McFarland, D.; Hinterberger, T.; Birbaumer, N.; Wolpaw, J. BCI2000: A general-purpose brain-computer interface (BCI) System. IEEE Trans. Biomed. Eng. 2004, 51, 1034–1043. [Google Scholar] [CrossRef] [PubMed]
- Goldberger, A.L.; Amaral, L.A.; Glass, L.; Hausdorff, J.M.; Ivanov, P.C.; Mark, R.G.; Mietus, J.E.; Moody, G.B.; Peng, C.K.; Stanley, H.E. PhysioBank, PhysioToolkit, and PhysioNet: Components of a new research resource for complex physiologic signals. Circulation 2000, 101, e215–e220. [Google Scholar] [CrossRef] [Green Version]
- Jap, B.T.; Lal, S.; Fischer, P.; Bekiaris, E. Using EEG spectral components to assess algorithms for detecting fatigue. Expert Syst. Appl. 2009, 36, 2352–2359. [Google Scholar] [CrossRef]
- Ofner, P.; Schwarz, A.; Pereira, J.; Wyss, D.; Wildburger, R.; Müller-Putz, G.R. Attempted arm and hand movements can be decoded from low-frequency EEG from persons with spinal cord injury. Sci. Rep. 2019, 9, 7134. [Google Scholar] [CrossRef] [Green Version]
- Ofner, P.; Schwarz, A.; Pereira, J.; Müller-Putz, G.R. Upper limb movements can be decoded from the time-domain of low-frequency EEG. PLoS ONE 2017, 12, e0182578. [Google Scholar] [CrossRef] [Green Version]
- Cassidy, J.M.; Wodeyar, A.; Wu, J.; Kaur, K.; Masuda, A.K.; Srinivasan, R.; Cramer, S.C. Low-Frequency Oscillations Are a Biomarker of Injury and Recovery After Stroke. Stroke 2020, 51, 1442–1450. [Google Scholar] [CrossRef]
- Witkowski, M.; Cortese, M.; Cempini, M.; Mellinger, J.; Vitiello, N.; Soekadar, S.R. Enhancing brain-machine interface (BMI) Control A Hand Exoskeleton Using Electrooculography (EOG). J. Neuroeng. Rehabil. 2014, 11, 165. [Google Scholar] [CrossRef] [Green Version]
- Soekadar, S.R.; Witkowski, M.; Vitiello, N.; Birbaumer, N. An EEG/EOG-Based hybrid brain-neural computer interaction (BNCI) system to control an exoskeleton for the paralyzed hand. Biomed. Eng./Biomed. Tech. 2015, 60, 199–205. [Google Scholar] [CrossRef]
- Huang, Q.; Zhang, Z.; Yu, T.; He, S.; Li, Y. An EEG-/EOG hybrid brain-computer interface: Application on controlling an integrated wheelchair robotic arm system. Front. Neurosci. 2019, 13, 1243. [Google Scholar] [CrossRef] [PubMed] [Green Version]







| Measures and Methods | Fatigue EEG DB | EEG-MMI DB | ||
|---|---|---|---|---|
| RRMSE | CC | RRMSE | CC | |
| SSA | 63.6077 ± 11.6133 | 0.7576 ± 0.1068 | 71.4361 ± 11.9799 | 0.6831 ± 0.1106 |
| SSA+ANC | 61.4721 ± 9.3272 | 0.7815 ± 0.0764 | 61.5249 ± 11.2345 | 0.7775 ± 0.0862 |
| VME-DWT | 6.7885 ± 13.3722 | 0.9885 ± 0.0283 | 5.9036 ± 10.9759 | 0.9922 ± 0.0164 |
| k-means+SSA | 16.3888 ± 16.4607 | 0.9713 ± 0.0598 | 16.0701 ± 13.7886 | 0.9770 ± 0.0361 |
| Proposed | 4.9198 ± 7.4213 | 0.9960 ± 0.0139 | 2.9976 ± 7.3030 | 0.9969 ± 0.0104 |
| Measures and Methods | Fatigue EEG DB | EEG-MMI DB | ||
|---|---|---|---|---|
| Precision (%) | Accuracy (%) | Precision (%) | Accuracy (%) | |
| VME-DWT | 80.0445 ± 14.9771 | 93.8336 ± 5.0842 | 72.0040 ± 14.1527 | 92.8067 ± 4.9993 |
| k-means-DWT | 55.5252 ± 12.4375 | 82.7320 ± 8.7630 | 57.5738 ± 11.3917 | 86.8750 ± 7.8568 |
| Proposed | 96.1604 ± 4.3639 | 94.2760 ± 6.3941 | 98.8142 ± 3.4201 | 95.4538 ± 2.6401 |
Publisher’s Note: MDPI stays neutral with regard to jurisdictional claims in published maps and institutional affiliations. |
© 2022 by the authors. Licensee MDPI, Basel, Switzerland. This article is an open access article distributed under the terms and conditions of the Creative Commons Attribution (CC BY) license (https://creativecommons.org/licenses/by/4.0/).
Share and Cite
Maddirala, A.K.; Veluvolu, K.C. SSA with CWT and k-Means for Eye-Blink Artifact Removal from Single-Channel EEG Signals. Sensors 2022, 22, 931. https://doi.org/10.3390/s22030931
Maddirala AK, Veluvolu KC. SSA with CWT and k-Means for Eye-Blink Artifact Removal from Single-Channel EEG Signals. Sensors. 2022; 22(3):931. https://doi.org/10.3390/s22030931
Chicago/Turabian StyleMaddirala, Ajay Kumar, and Kalyana C. Veluvolu. 2022. "SSA with CWT and k-Means for Eye-Blink Artifact Removal from Single-Channel EEG Signals" Sensors 22, no. 3: 931. https://doi.org/10.3390/s22030931
APA StyleMaddirala, A. K., & Veluvolu, K. C. (2022). SSA with CWT and k-Means for Eye-Blink Artifact Removal from Single-Channel EEG Signals. Sensors, 22(3), 931. https://doi.org/10.3390/s22030931
