Design and Synchronization Procedures of a D&F Co-Operative 5G Network Based on SDR Hardware Interface: Performance Analysis
Abstract
:1. Introduction
1.1. Contribution
- Design and implementation of a fully functional testbench, based on a MIMO software defined radio platform and Matlab software, which supports the following 5G downlink signal features [10,11]:
- Configuration and parametrization of the synchronization signal block (SSB), which supports the primary synchronization signal (PSS), secondary synchronization signal (SSS), and physical broadcast channel (PBCH) with its associated demodulation reference signal (DM-RS).
- Configuration of the variable signal bandwidth, CORESET, and search spacing functionalities.
- Physical downlink control channel (PDCCH) and its associated DM-RS.
- Physical downlink shared channel (PDSCH) and its associated DM-RS. In addition, enables the DL-SCH transport channel coding.
These functionalities allow the generated 5G downlink signal from the emulated gnodeB to be demodulated by the MS2090A-Anritsu LTE/5G spectrum analyzer. - Use of the developed architecture as an integrated platform supporting the radio access link in the 5G FR1 band, connecting a gnodeB and a relay node.
- An L2 relay node or decode-and-forward (D&F) relay node has been proposed and implemented. D&F node performs the functions of frequency synchronization, error correction, and search cell-ID stages, which allows practical adjustment of the received 5G downlink signal parameters. In addition, practical channel estimation by means of least square (LS) and minimum mean square error (MMSE) equalization techniques are introduced.
- A system model for the D&F node from the proposed hardware interface relay node co-operative network with real assumption is derived.
- Several measurement cases are carried out in real outdoor-to-indoor scenarios, using 64-QAM and 256-QAM modulation schemes for the 5G NR PDSCH.
1.2. Paper Outline
1.3. Notation
2. Technical Background of D&F Co-Operative 5G System Model
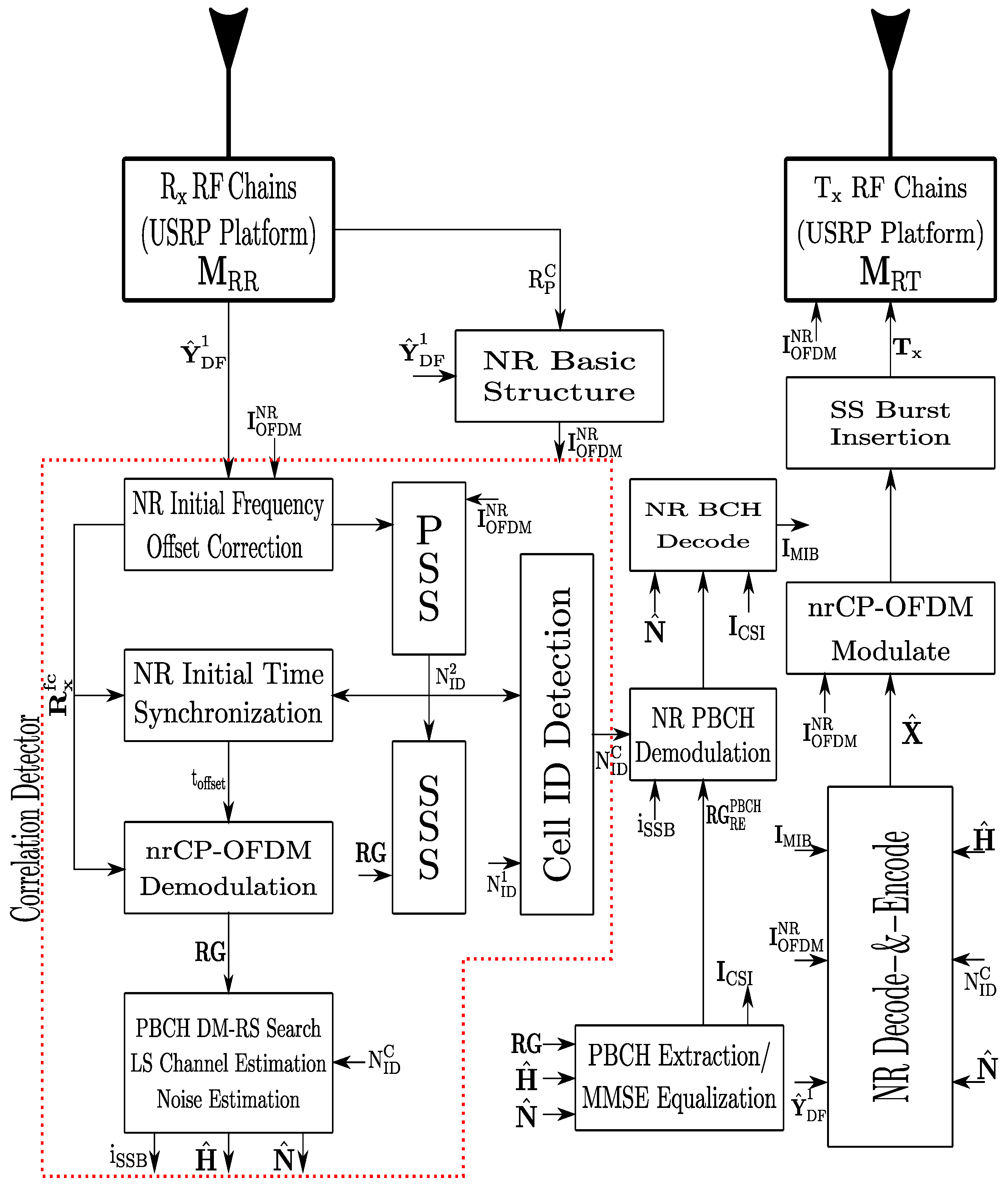
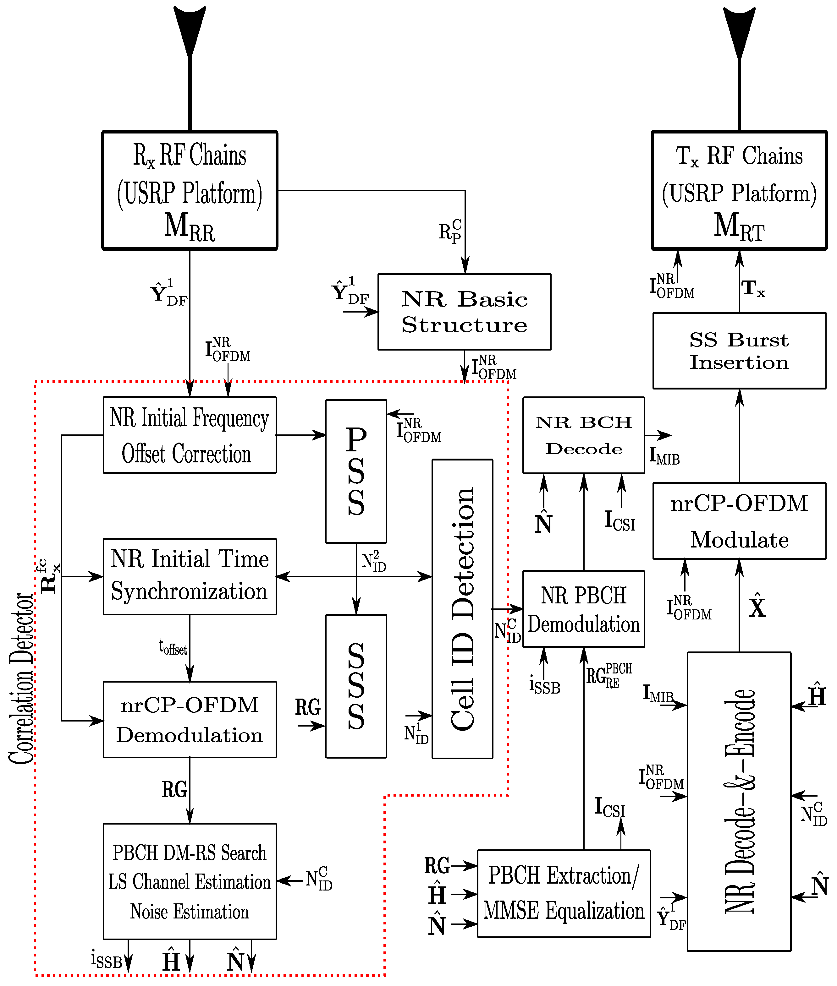
3. Testbench Implementation of D&F Co-Operative 5G Network
Proposed D&F Protocol Radio Access Hardware Architecture
| Algorithm 1: NR Decode-&-Encode Algorithm |
![]() |
4. Experimental Setup
5. Experimental Results
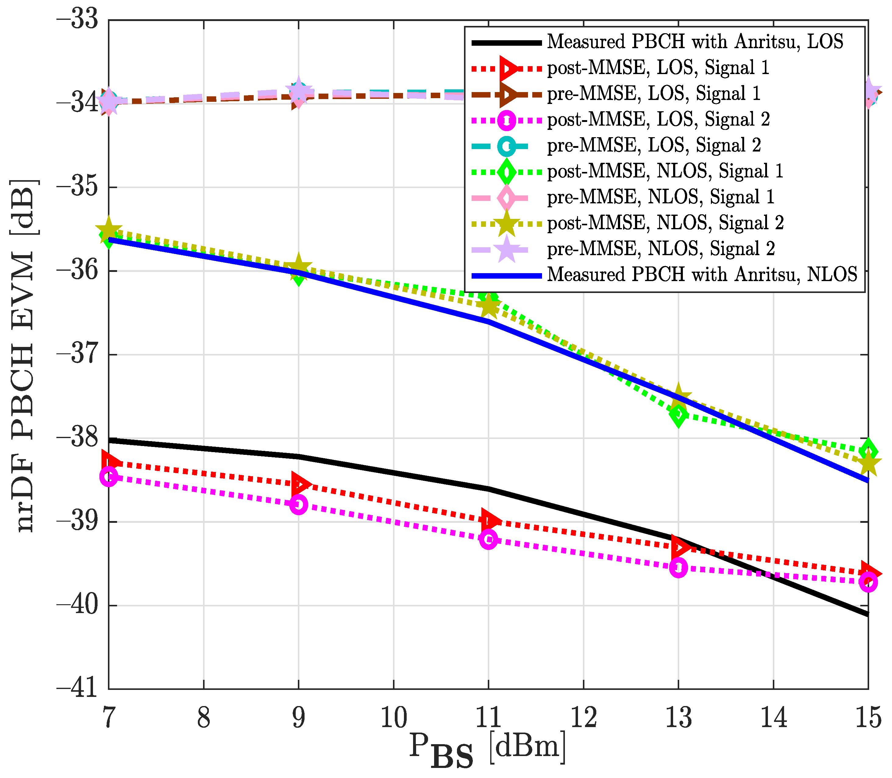
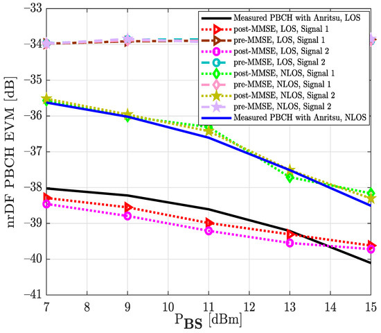
5.1. Synchronization and Performance of the Backhaul Link in the D&F Relay Node
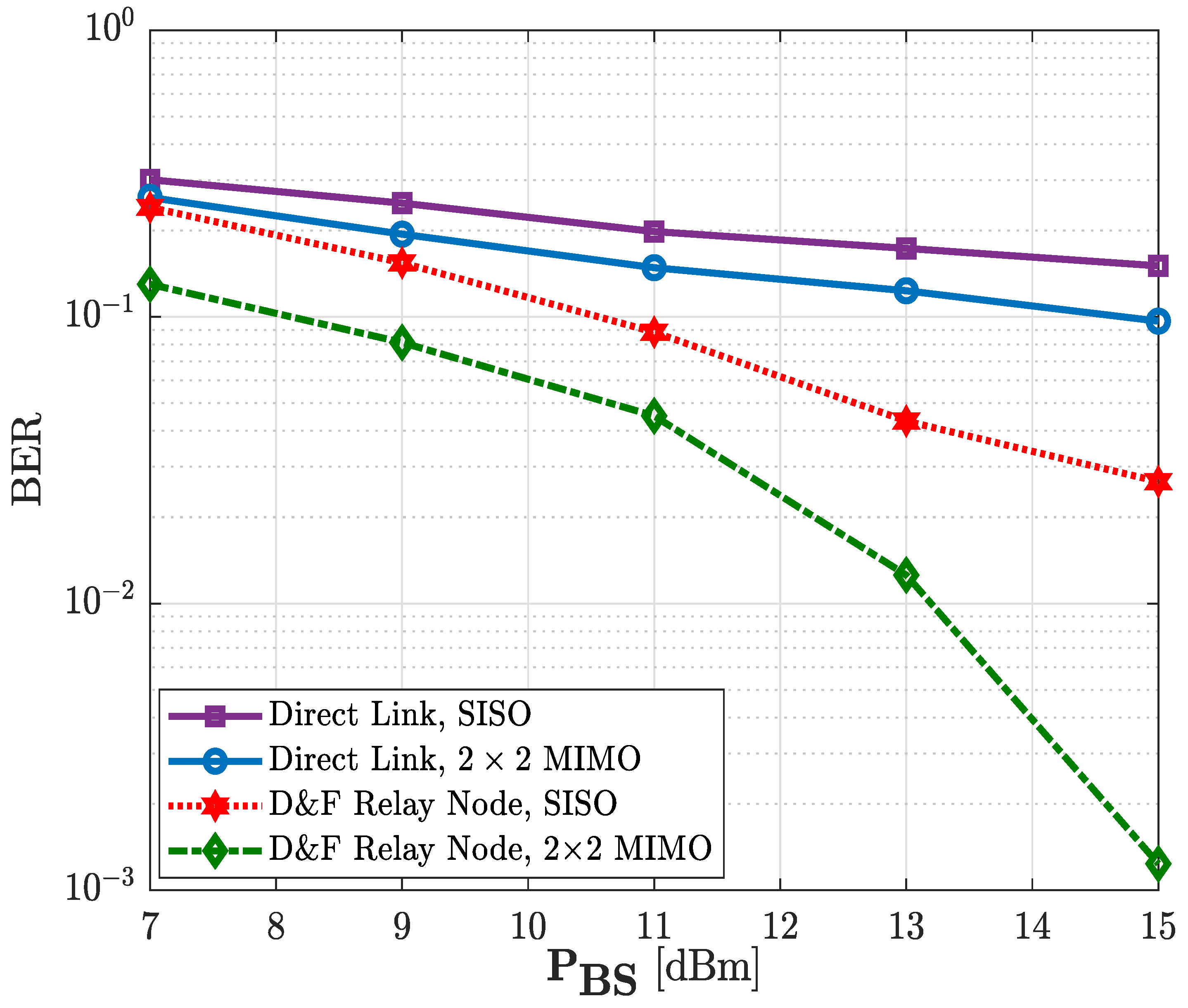
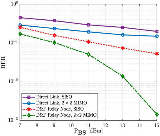
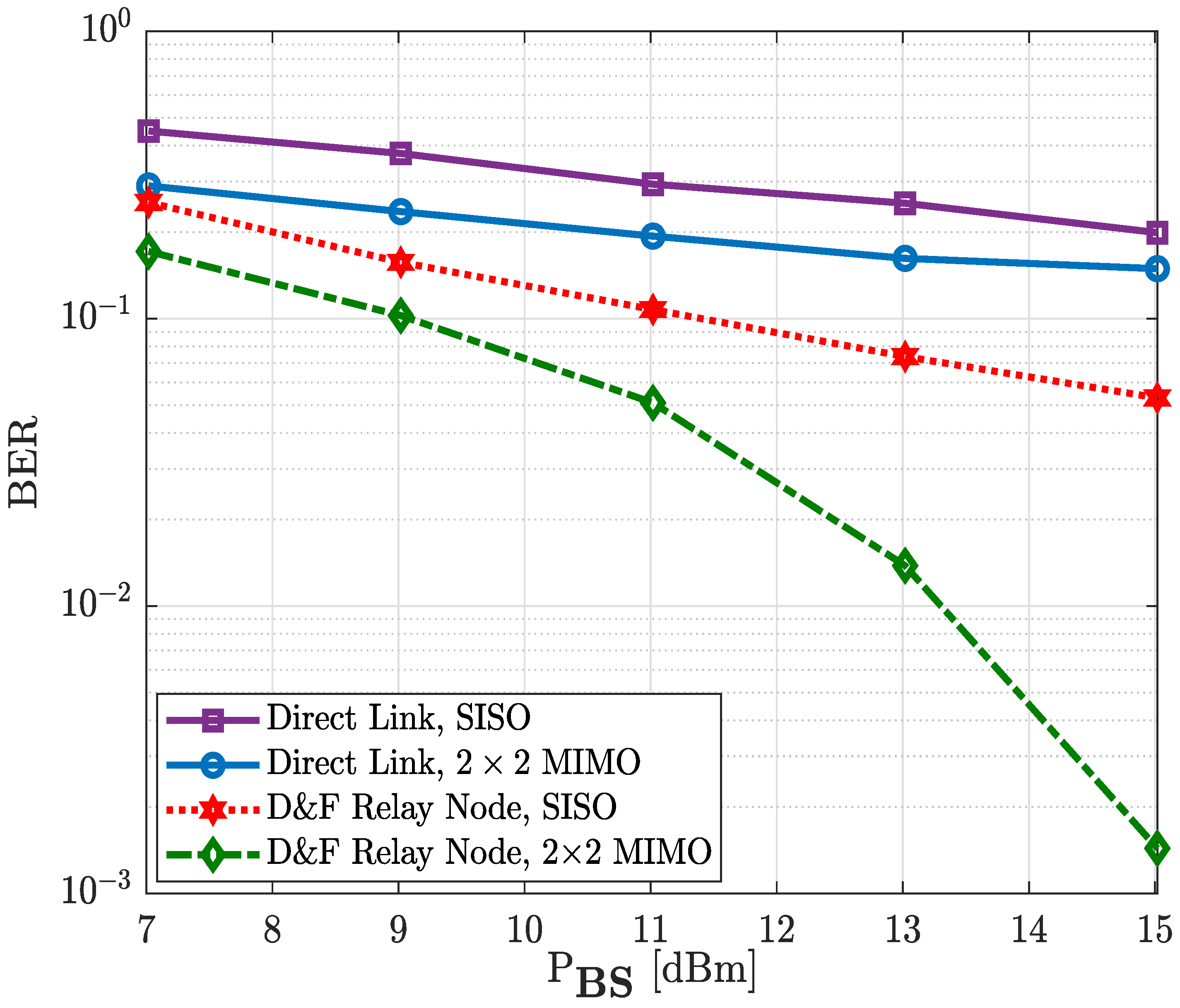
5.2. Performance Evaluation of Proposed Hardware D&F Co-Operative 5G Network
6. Discussion and Future Works
7. Conclusions
Author Contributions
Funding
Institutional Review Board Statement
Informed Consent Statement
Data Availability Statement
Conflicts of Interest
References
- Jaber, M.; Imran, M.A.; Tafazolli, R.; Tukmanov, A. 5G Backhaul Challenges and Emerging Research Directions: A Survey. IEEE Access 2016, 4, 1743–1766. [Google Scholar] [CrossRef] [Green Version]
- Navarro-Ortiz, J.; Romero-Diaz, P.; Sendra, S.; Ameigeiras, P.; Ramos-Munoz, J.J.; Lopez-Soler, J.M. A Survey on 5G Usage Scenarios and Traffic Models. IEEE Commun. Surv. Tutor. 2020, 22, 905–929. [Google Scholar] [CrossRef]
- Agiwal, M.; Roy, A.; Saxena, N. Next Generation 5G wireless networks: A Comprehensive Survey. IEEE Commun. Surv. Tutor. 2016, 18, 1617–1655. [Google Scholar] [CrossRef]
- Zhang, R.; Wang, M.; Shen, X.; Xie, L. Probabilistic Analysis on QoS Provisioning for Internet of Things in LTE-A Heterogeneous networks With Partial Spectrum Usage. IEEE Internet Things J. 2016, 3, 354–365. [Google Scholar] [CrossRef]
- Aslani, R.; Saberinia, E.; Rasti, M. Resource Allocation for Cellular V2X networks Mode-3 With Underlay Approach in LTE-V Standard. IEEE Trans. Veh. Technol. 2020, 69, 8601–8612. [Google Scholar] [CrossRef]
- Lu, W.; Si, P.; Huang, G.; Han, H.; Qian, L.; Zhao, N.; Gong, Y. SWIPT Cooperative Spectrum Sharing for 6G-Enabled Cognitive IoT network. IEEE Internet Things J. 2021, 8, 15070–15080. [Google Scholar] [CrossRef]
- Viswanathan, H.; Mogensen, P.E. Communications in the 6G Era. IEEE Access 2020, 8, 57063–57074. [Google Scholar] [CrossRef]
- Qi, Q.; Chen, X.; Ng, D.W.K. Robust Beamforming for NOMA-Based Cellular Massive IoT with SWIPT. IEEE Trans. Signal Process. 2020, 68, 211–224. [Google Scholar] [CrossRef]
- Lu, W.; Ding, Y.; Gao, Y.; Hu, S.; Wu, Y.; Zhao, N.; Gong, Y. Resource and Trajectory Optimization for Secure communications in Dual Unmanned Aerial Vehicle Mobile Edge Computing systems. IEEE Trans. Ind. Inform. 2022, 18, 2704–2713. [Google Scholar] [CrossRef]
- 3GPP, 5G; NR; Physical Layer Procedures for Data. Document 3GPP 5G TS38.214 v.15.3.0 Release 15. 2018. Available online: https://www.etsi.org/deliver/etsi_ts/138200_138299/138214/15.03.00_60/ts_138214v150300p.pdf (accessed on 22 December 2021).
- 3GPP, 5G; NR; Physical Channels and Modulation. Document 3GPP 5G TS38.211 v.15.2.0 Release 15. 2018. Available online: https://www.etsi.org/deliver/etsi_ts/138200_138299/138211/15.02.00_60/ts_138211v150200p.pdf (accessed on 22 December 2021).
- Wei, L.; Hu, R.Q.; Qian, Y.; Wu, G. Key elements to enable millimeter wave communications for 5G wireless systems. IEEE Wirel. Commun. 2014, 21, 136–143. [Google Scholar]
- Gao, Z.; Dai, L.; Mi, D.; Wang, Z.; Imran, M.A.; Shakir, M.Z. MmWave massive-MIMO-based wireless backhaul for the 5G ultra-dense network. IEEE Wirel. Commun. 2015, 5, 13–21. [Google Scholar] [CrossRef] [Green Version]
- Mezzavilla, M.; Zhang, M.; Polese, M.; Ford, R.; Dutta, S.; Rangan, S.; Zorzi, M. End-to-End Simulation of 5G mmWave networks. IEEE Commun. Surv. Tutor. 2018, 20, 2237–2263. [Google Scholar] [CrossRef]
- Cudak, M.; Ghosh, A.; Ghosh, A.; Andrews, J. Integrated access and Backhaul: A Key Enabler for 5G Millimeter-Wave Deployments. IEEE Commun. Mag. 2021, 59, 88–94. [Google Scholar] [CrossRef]
- Zhang, J.; Garg, N.; Holm, M.; Ratnarajah, T. Design of Full Duplex Millimeter-Wave Integrated access and Backhaul networks. IEEE Wirel. Commun. 2021, 28, 60–67. [Google Scholar] [CrossRef]
- 3GPP, 5G; NR; Study on Integrated Access and Backhaul. Document 3GPP 5G TS38.874 v.16.0.0 Release 16. 2018. Available online: https://portal.3gpp.org/desktopmodules/Specifications/SpecificationDetails.aspx?specificationId=3232 (accessed on 22 December 2021).
- Naqvi, S.H.R.; Ho, P.-H. Achieving 5G NR mmWave Indoor Coverage Under Integrated access Backhaul. IEEE Syst. J. 2021, 15, 5429–5439. [Google Scholar] [CrossRef]
- Teyeb, O.; Muhammad, A.; Mildh, G.; Dahlman, E.; Barac, F.; Makki, B. Integrated access Backhauled networks. In Proceedings of the 2019 IEEE 90th Vehicular Technology Conference (VTC2019-Fall), Honolulu, HI, USA, 22–25 September 2019. [Google Scholar]
- Bishnu, A.; Holm, M.; Ratnarajah, T. Performance Evaluation of Full-Duplex IAB Multi-Cell and Multi-User network for FR2 Band. IEEE Access 2021, 9, 72269–72283. [Google Scholar] [CrossRef]
- Teramae, K.; Mizutani, K.; Matsumura, T.; Harada, H. Enhancement of User Perceived Throughput in Sub-6 GHz Integrated access and Backhaul with Dynamic Full-Duplex. In Proceedings of the 2019 IEEE 90th Vehicular Technology Conference (VTC2019-Fall), Honolulu, HI, USA, 22–25 September 2019. [Google Scholar]
- 3GPP, LTE; Evolved Universal Terrestrial Radio Access (E-UTRA). Relay Architectures for E-UTRA (LTE-Advanced). Document 3GPP LTE TS38.806 v.0.2.0 Release 9. 2010. Available online: https://itectec.com/archive/3gpp-specification-tr-36-806/ (accessed on 22 December 2021).
- Krikidis, I.; Zheng, G. Relaying in Full-duplex Radio communication systems. In Advanced Relay Technologies in Next Generation Wireless Communications; The Institute of Engineering and Technologies, Publishing House: London, UK, 2016. [Google Scholar]
- Yahya, A. LTE—A Cellular Networks. Multi-Hop Relay for Coverage, Capacity and Performance Enhancement; Springer: Cham, Switzerland, 2017. [Google Scholar]
- Madapatha, C.; Makki, B.; Fang, C.; Teyeb, O.; Dahlman, E.; Alouini, M.S.; Svensson, T. On Integrated access and Backhaul networks: Current Status and Potentials. IEEE Open J. Commun. Soc. 2021, 1, 1374–1389. [Google Scholar] [CrossRef]
- Wang, H.; Tian, S.; Gao, X.; Wu, L.; Chen, G. Approximation Designs for Cooperative Relay Deployment in wireless networks. In Proceedings of the 2017 IEEE 37th International Conference on Distributed Computing systems (ICDCS), Atlanta, GA, USA, 5–8 June 2017. [Google Scholar]
- Zetterberg, P.; Mavrokefalidis, C.; Lalos, A.S.; Matigakis, E. Experimental Investigation of Cooperative Schemes on a Real-Time DSP-Based Testbed. EURASIP J. Wirel. Commun. Netw. 2009, 368752. [Google Scholar] [CrossRef] [Green Version]
- Duarte, L.; Gomes, R.; Ribeiro, C.; Caldeirinha, R.F.S. A Software-Defined Radio for Future wireless communication systems at 60 GHz. Electronics 2019, 8, 1490. [Google Scholar] [CrossRef] [Green Version]
- Verdecia-Peña, R.; Alonso, J.I. A Comparative Experimental Study of MIMO A&F and D&F relay nodes Using a Software-Defined Radio platform. Electronics 2021, 10, 570. [Google Scholar]
- Verdecia-Peña, R.; Alonso, J.I. A Two-Hop mmWave MIMO NR-relay nodes to Enhance the Average system Throughput and BER in Outdoor-to-Indoor Environments. Sensors 2021, 21, 1372. [Google Scholar] [CrossRef]
- Verdecia-Peña, R.; Alonso, J.I. Performance Analysis of Two-Hop mmWave relay nodes over the 5G NR Uplink Signal. Appl. Sci. 2021, 11, 5828. [Google Scholar] [CrossRef]
- Verdecia-Peña, R.; Alonso, J.I. MIMO Channel Estimation in an SDR platform for Evaluation of D&F relay nodes. Electronics 2020, 9, 1662. [Google Scholar]
- Verdecia-Peña, R.; Alonso, J.I. Simulation and Experimental Study of a Power Amplifier Behaviour to Enhance relay node Co-Operative SDR platform: Performance Analysis. In Proceedings of the 2022 IEEE 12th Annual Computing and communication Workshop and Conference (CCWC), Las Vegas, NV, USA, 26–29 January 2022. [Google Scholar]
- 3GPP, 5G; NR; base station (BS) Radio Transmission and Reception. Document 3GPP 5G TS38.104 v.15.5.0 Release 15. 2018. Available online: https://www.etsi.org/deliver/etsi_ts/138100_138199/138104/15.02.00_60/ts_138104v150200p.pdf (accessed on 22 December 2021).
- 3GPP, 5G; NR; Multiplexing and Channel Coding. Document 3GPP 5G TS38.212 v.15.2.0 Release 15. 2018. Available online: https://www.etsi.org/deliver/etsi_ts/138200_138299/138212/15.02.00_60/ts_138212v150200p.pdf (accessed on 22 December 2021).
- Tanoli, S.A.K.; Rehman, M.; Khan, M.B.; Jadoon, I.; Ali Khan, F.; Nawaz, F.; Shah, S.A.; Yang, X.; Nasir, A.A. An Experimental Channel Capacity Analysis of Cooperative networks Using Universal Software Radio Peripheral (USRP). Sustainability 2018, 10, 1983. [Google Scholar] [CrossRef] [Green Version]
- Han, S.; Zhang, Y.; Meng, W.; Li, C.; Zhang, Z. Full-Duplex Relay-Assisted Macrocell with Millimeter Wave Backhauls: Framework and Prospects. IEEE Netw. 2019, 33, 190–197. [Google Scholar] [CrossRef]
- Zhang, Y.; Xiao, M.; Han, S.; Skoglund, M.; Meng, W. On Precoding and Energy Efficiency of Full-Duplex Millimeter-Wave Relays. IEEE Trans. Wirel. Commun. 2019, 18, 1943–1956. [Google Scholar] [CrossRef]
- Darsena, D.; Gelli, G.; Iudice, I.; Verde, F. Separable MSE-Based Design of Two-Way Multiple-Relay Cooperative MIMO 5G networks. Sensors 2020, 20, 6284. [Google Scholar] [CrossRef]
- Polese, M.; Giordani, M.; Zugno, T.; Roy, A.; Goyal, S.; Castor, D.; Zorzi, M. Integrated access and Backhaul in 5G mmWave networks: Potential and Challenges. IEEE Commun. Mag. 2020, 58, 62–68. [Google Scholar] [CrossRef]




















| Parameters | Signal 1 | Signal 2 |
|---|---|---|
| Channel bandwidth, F | 5 MHz | 5 MHz |
| Carrier frequency, f | 3.5 GHz | 3.5 GHz |
| Tx/Rx schemes | SISO and 2 × 2 MIMO | SISO and 2 × 2 MIMO |
| 5G duplex scheme | NR-FDD | NR-FDD |
| Modulation | 64-QAM | 256-QAM |
| Target code rate | 3/4 | 4/5 |
| Samples rate | 7.68 MHz | 7.68 MHz |
| Cyclic prefix (CP) | Normal | Normal |
| Number of FFT | 512 | 512 |
| Allocated resource blocks | 25 | 25 |
| Subcarriers per resource block | 12 | 12 |
| Information bit payload per slot | 12,296 | 16,896 |
| SS/PBCH block transmission | slot 0 | slot 0 |
| Subcarrier spacing | 15 kHz | 15 kHz |
| Number of cell ID | 0 | 0 |
| Max. throughput over 1 frame | 11.066 Mbps | 15.206 Mbps |
| Number of transmission | 20 | 20 |
| Number of frames per transmission | 80 | 80 |
| KPIs | Direct Link | D&F Protocol | ||||||
|---|---|---|---|---|---|---|---|---|
| SISO | 2 × 2 MIMO | SISO | 2 × 2 MIMO | |||||
| 64-QAM | 256-QAM | 64-QAM | 256-QAM | 64-QAM | 256-QAM | 64-QAM | 256-QAM | |
| BER | 1.5 × 10 | 1.9 × 10 | 9.6 × 10 | 1.4 × 10 | 2.6 × 10 | 5.2 × 10 | 1.2 × 10 | 1.4 × 10 |
| Throughput | 3.27 | 1.87 | 4.77 | 6.12 | 8.95 | 10.47 | 11.06 | 15.20 |
Publisher’s Note: MDPI stays neutral with regard to jurisdictional claims in published maps and institutional affiliations. |
© 2022 by the authors. Licensee MDPI, Basel, Switzerland. This article is an open access article distributed under the terms and conditions of the Creative Commons Attribution (CC BY) license (https://creativecommons.org/licenses/by/4.0/).
Share and Cite
Verdecia-Peña, R.; Alonso, J.I. Design and Synchronization Procedures of a D&F Co-Operative 5G Network Based on SDR Hardware Interface: Performance Analysis. Sensors 2022, 22, 913. https://doi.org/10.3390/s22030913
Verdecia-Peña R, Alonso JI. Design and Synchronization Procedures of a D&F Co-Operative 5G Network Based on SDR Hardware Interface: Performance Analysis. Sensors. 2022; 22(3):913. https://doi.org/10.3390/s22030913
Chicago/Turabian StyleVerdecia-Peña, Randy, and José I. Alonso. 2022. "Design and Synchronization Procedures of a D&F Co-Operative 5G Network Based on SDR Hardware Interface: Performance Analysis" Sensors 22, no. 3: 913. https://doi.org/10.3390/s22030913
APA StyleVerdecia-Peña, R., & Alonso, J. I. (2022). Design and Synchronization Procedures of a D&F Co-Operative 5G Network Based on SDR Hardware Interface: Performance Analysis. Sensors, 22(3), 913. https://doi.org/10.3390/s22030913


