Impact Damage Detection Using Chirp Ultrasonic Guided Waves for Development of Health Monitoring System for CFRP Mobility Structures
Abstract
:1. Introduction
2. Cross-Sectional Observation of Impact-Damaged Area
3. Data Collection and Data Processing Method
3.1. Experimental Procedure
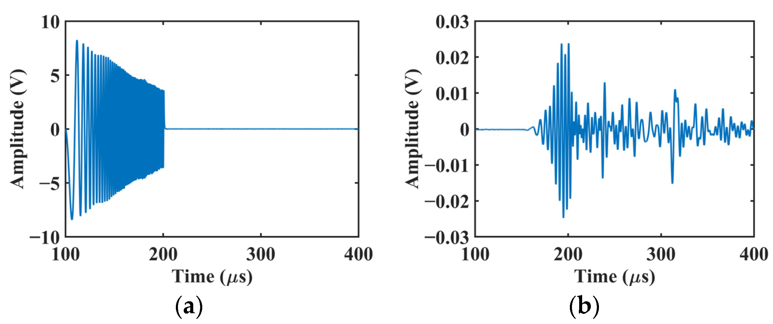
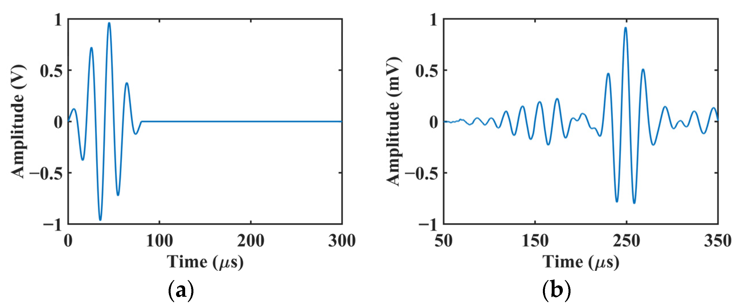
3.2. Transfer Function Method
4. Damage Detection in Various CFRP Plates
4.1. Calculation of ToF Delay
4.2. Relation between Impact Damage Size and ToF Delay
4.3. Influence of Damage Shape on the ToF and the Amplitude of the A0 Mode
5. Conclusions
Author Contributions
Funding
Institutional Review Board Statement
Informed Consent Statement
Data Availability Statement
Conflicts of Interest
References
- Rivallant, S.; Bouvet, C.; Abi Abdallah, E.; Broll, B.; Barrau, J.-J. Experimental analysis of CFRP laminates subjected to compression after impact: The role of impact-induced cracks in failure. Compos. Struct. 2014, 111, 147–157. [Google Scholar] [CrossRef] [Green Version]
- Cantwell, W.J.; Curtis, P.T.; Morton, J. Impact and subsequent fatigue damage growth in carbon fibre laminates. Int. J. Fatigue 1984, 6, 113–118. [Google Scholar] [CrossRef]
- Farrar, C.R.; Worden, K. An introduction to structural health monitoring. Philos. Trans. R. Soc. A Math. Phys. Eng. Sci. 2007, 365, 303–315. [Google Scholar] [CrossRef]
- Mitra, M.; Gopalakrishnan, S. Guided wave based structural health monitoring: A review. Smart Mater. Struct. 2016, 25, 053001. [Google Scholar] [CrossRef]
- Giurgiutiu, V. Structural Health Monitoring: With Piezoelectric Wafer Active Sensors; Elsevier: Oxford, UK, 2007; ISBN 0080556795. [Google Scholar]
- Staszewski, W.J.; Mahzan, S.; Traynor, R. Health monitoring of aerospace composite structures: Active and passive approach. Compos. Sci. Technol. 2009, 69, 1678–1685. [Google Scholar] [CrossRef]
- Yu, L.; Tian, Z.; Leckey, C.A.C. Crack imaging and quantification in aluminum plates with guided wave wavenumber analysis methods. Ultrasonics 2015, 62, 203–212. [Google Scholar] [CrossRef]
- Qiu, L.; Yuan, S.; Bao, Q.; Mei, H.; Ren, Y. Crack propagation monitoring in a full-scale aircraft fatigue test based on guided wave-Gaussian mixture model. Smart Mater. Struct. 2016, 25, 55048. [Google Scholar] [CrossRef]
- Okabe, Y.; Kuwahara, J.; Natori, K.; Takeda, N.; Ogisu, T.; Kojima, S.; Komatsuzaki, S. Evaluation of debonding progress in composite bonded structures using ultrasonic waves received in fiber Bragg grating sensors. Smart Mater. Struct. 2007, 16, 1370–1378. [Google Scholar] [CrossRef]
- Kessler, S.S.; Spearing, S.M.; Soutis, C. Damage detection in composite materials using Lamb wave methods. Smart Mater. Struct. 2002, 11, 269–278. [Google Scholar] [CrossRef] [Green Version]
- Deng, P.; Saito, O.; Okabe, Y.; Soejima, H. Simplified modeling method of impact damage for numerical simulation of Lamb wave propagation in quasi-isotropic composite structures. Compos. Struct. 2020, 243, 112150. [Google Scholar] [CrossRef]
- Cawley, P.; Alleyne, D. The use of Lamb waves for the long range inspection of large structures. Ultrasonics 1996, 34, 287–290. [Google Scholar] [CrossRef]
- Okabe, Y.; Fujibayashi, K.; Shimazaki, M.; Soejima, H.; Ogisu, T. Delamination detection in composite laminates using dispersion change based on mode conversion of Lamb waves. Smart Mater. Struct. 2010, 19, 115013. [Google Scholar] [CrossRef]
- Michaels, J.E.; Lee, S.J.; Hall, J.S.; Michaels, T.E. Multi-mode and multi-frequency guided wave imaging via chirp excitations. In Proceedings of the SPIE Smart Structures and Materials + Nondestructive Evaluation and Health Monitoring, San Diego, CA, USA, 31 March 2011; SPIE: Bellingham, WA, USA, 2011; Volume 7984, p. 79840. [Google Scholar]
- Michaels, J.E.; Lee, S.J.; Croxford, A.J.; Wilcox, P.D. Chirp excitation of ultrasonic guided waves. Ultrasonics 2013, 53, 265–270. [Google Scholar] [CrossRef] [PubMed]
- Chung, J.Y.; Blaser, D.A. Transfer function method of measuring in-duct acoustic properties. I. Theory. J. Acoust. Soc. Am. 1980, 68, 907–913. [Google Scholar] [CrossRef]
- Matt, H.M.; Scalea, F.L. Di Macro-fiber composite piezoelectric rosettes for acoustic source location in complex structures. Smart Mater. Struct. 2007, 16, 1489–1499. [Google Scholar] [CrossRef]
- Sodano, H.A.; Park, G.; Inman, D.J. An investigation into the performance of macro-fiber composites for sensing and structural vibration applications. Mech. Syst. Signal Process. 2004, 18, 683–697. [Google Scholar] [CrossRef]
- Smart Materials. Macro Fibre Composites Data Sheet. Available online: https://www.smart-material.com/MFC-product-main.html (accessed on 8 March 2021).
- Wilkie, W.K.; Bryant, R.G.; High, J.W.; Fox, R.L.; Hellbaum, R.F.; Jalink, A., Jr.; Little, B.D.; Mirick, P.H. Low-cost piezocomposite actuator for structural control applications. In Proceedings of the SPIE Smart Structures and Materials + Nondestructive Evaluation and Health Monitoring, Newport Beach, CA, USA, 12 June 2000; SPIE: Bellingham, WA, USA, 2000; Volume 3991. [Google Scholar]















Publisher’s Note: MDPI stays neutral with regard to jurisdictional claims in published maps and institutional affiliations. |
© 2022 by the authors. Licensee MDPI, Basel, Switzerland. This article is an open access article distributed under the terms and conditions of the Creative Commons Attribution (CC BY) license (https://creativecommons.org/licenses/by/4.0/).
Share and Cite
Tan, L.; Saito, O.; Yu, F.; Okabe, Y.; Kondoh, T.; Tezuka, S.; Chiba, A. Impact Damage Detection Using Chirp Ultrasonic Guided Waves for Development of Health Monitoring System for CFRP Mobility Structures. Sensors 2022, 22, 789. https://doi.org/10.3390/s22030789
Tan L, Saito O, Yu F, Okabe Y, Kondoh T, Tezuka S, Chiba A. Impact Damage Detection Using Chirp Ultrasonic Guided Waves for Development of Health Monitoring System for CFRP Mobility Structures. Sensors. 2022; 22(3):789. https://doi.org/10.3390/s22030789
Chicago/Turabian StyleTan, Langxing, Osamu Saito, Fengming Yu, Yoji Okabe, Taku Kondoh, Shota Tezuka, and Akihiro Chiba. 2022. "Impact Damage Detection Using Chirp Ultrasonic Guided Waves for Development of Health Monitoring System for CFRP Mobility Structures" Sensors 22, no. 3: 789. https://doi.org/10.3390/s22030789
APA StyleTan, L., Saito, O., Yu, F., Okabe, Y., Kondoh, T., Tezuka, S., & Chiba, A. (2022). Impact Damage Detection Using Chirp Ultrasonic Guided Waves for Development of Health Monitoring System for CFRP Mobility Structures. Sensors, 22(3), 789. https://doi.org/10.3390/s22030789

