Investigation on Sensing Performance of Highly Doped Sb/SnO2
Abstract
:1. Introduction
2. Materials and Methods
2.1. Samples Preparation
2.2. Measurement Techniques
2.3. Sensor Preparation
2.4. Gas Sensing Measurements
3. Results
3.1. Morphological and Elemental Studies
3.2. Gas Sensing Characterization
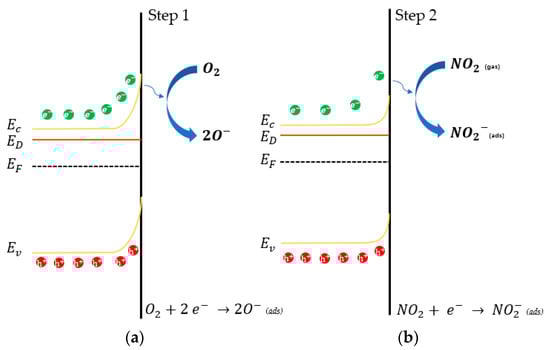
4. Gas Sensing Mechanism Discussion
5. Conclusions
Author Contributions
Funding
Institutional Review Board Statement
Informed Consent Statement
Data Availability Statement
Conflicts of Interest
References
- Kang, Y.; Yu, F.; Zhang, L.; Wang, W.; Chen, L.; Li, Y. Review of ZnO-based nanomaterials in gas sensors. Solid State Ion. 2021, 360, 115544. [Google Scholar] [CrossRef]
- Liu, X.; Qiao, S.; Ma, Y. Highly sensitive methane detection based on light-induced thermoelastic spectroscopy with a 2.33 µm diode laser and adaptive Savitzky-Golay filtering. Opt. Express 2022, 30, 1304. [Google Scholar] [CrossRef]
- Gaiardo, A.; Fabbri, B.; Giberti, A.; Valt, M.; Gherardi, S.; Guidi, V.; Malagù, C.; Bellutti, P.; Pepponi, G.; Casotti, D.; et al. Tunable formation of nanostructured SiC/SiOC core-shell for selective detection of SO2. Sens. Actuators B Chem. 2020, 305, 127485. [Google Scholar] [CrossRef]
- Yamazoe, N. Toward innovations of gas sensor technology. Sens. Actuators B Chem. 2005, 108, 2–14. [Google Scholar] [CrossRef]
- Barsan, N.; Weimar, U. Understanding the fundamental principles of metal oxide based gas sensors; the example of CO sensing with SnO2 sensors in the presence of humidity. J. Phys. Condens. Matter. 2003, 15, 813–839. [Google Scholar] [CrossRef]
- Kong, Y.; Li, Y.; Cui, X.; Su, L.; Ma, D.; Lai, T.; Yao, L.; Xiao, X.; Wang, Y. SnO2 nanostructured materials used as gas sensors for the detection of hazardous and flammable gases: A review. Nano Mater. Sci. 2021; in press. [Google Scholar] [CrossRef]
- Krik, S.; Gaiardo, A.; Valt, M.; Fabbri, B.; Malagù, C.; Pepponi, G.; Casotti, D.; Cruciani, G.; Guidi, V.; Bellutti, P. Influence of Oxygen Vacancies in Gas Sensors based on Metal-Oxide Semiconductors: A First-Principles Study. In Sensors and Microsystems, Proceedings of the 20th AISEM 2019 National Conference, Naples, Italy, 11–13 February 2019; Lecture Notes in Electrical Engineering; Springer: Cham, Switzerland, 2019; Volume 629. [Google Scholar]
- Barsan, N.; Koziej, D.; Weimar, U. Metal oxide-based gas sensor research: Metal oxide-based gas sensor research: How to? Sens. Actuators B Chem. 2007, 121, 18–35. [Google Scholar] [CrossRef]
- Nguyen, M.H.; Nguyen, H.H.; Mai, A.T. On-chip selective growth of SnO2 nanowires for DNA sensor development. Sens. Actuators A Phys. 2020, 312, 112171. [Google Scholar] [CrossRef]
- Li, N.; Fan, Y.; Shi, Y.; Xiang, Q.; Wang, X.; Xu, J. A low temperature formaldehyde gas sensor based on hierarchical SnO/SnO2 nano-flowers assembled from ultrathin nanosheets: Synthesis, sensing performance and mechanism. Sens. Actuators B Chem. 2019, 294, 106–115. [Google Scholar] [CrossRef]
- Wei, Q.; Song, P.; Li, Z.; Yang, Z.; Wang, Q. Hierarchical peony-like Sb-doped SnO2 nanostructures: Synthesis, characterization and HCHO sensing properties. Mater. Lett. 2017, 191, 173–177. [Google Scholar] [CrossRef]
- Phuoc, P.H.; Hung, C.M.; van Toan, N.; van Duy, N.; Hoa, N.D.; van Hieu, N. One-step fabrication of SnO2 porous nanofiber gas sensors for sub-ppm H2S detection. Sens. Actuators A Phys. 2020, 303, 111722. [Google Scholar] [CrossRef]
- Cheng, P.; Lv, L.; Wang, Y.; Zhang, B.; Zhang, Y.; Zhang, Y.; Lei, Z.; Xu, L. SnO2/ZnSnO3 double-shelled hollow microspheres based high-performance acetone gas sensor. Sens. Actuators B Chem. 2021, 332, 129212. [Google Scholar] [CrossRef]
- Umar, A.; Ammar, H.Y.; Kumar, R.; Almas, T.; Ibrahim, A.A.; Al Assiri, M.S.; Abaker, M.; Baskoutas, S. Efficient H2 gas sensor based on 2D SnO2 disks: Experimental and theoretical studies. Int. J. Hydrogen Energy 2020, 45, 26388–26401. [Google Scholar] [CrossRef]
- Liu, A.; Wang, C.; Yang, X.; Liu, F.; Li, S.; Wang, J.; You, R.; Yang, Z.; He, J.; Jiang, L.; et al. Polyaniline @ porous nanosphere SnO2/Zn2SnO4 nanohybrid for selective room temperature flexible NH3 sensor. Sens. Actuators B Chem. 2020, 317, 128218. [Google Scholar] [CrossRef]
- Antonini, M.; Gaiardo, A.; Vecchio, M. MetaNChemo: A meta-heuristic neural-based framework for chemometric analysis. Appl. Soft Comput. 2020, 97, 106712. [Google Scholar] [CrossRef]
- Li, W.; Kan, K.; He, L.; Ma, L.; Zhang, X.; Si, J.; Ikram, M.; Ullah, M.; Khan, M.; Shi, K. Biomorphic synthesis of 3D mesoporous SnO2 with substantially increased gas-sensing performance at room temperature using a simple one-pot hydrothermal method. Appl. Surf. Sci. 2020, 512, 145657. [Google Scholar] [CrossRef]
- Yuan, Z.; Zuo, K.; Meng, F.; Ma, Z.; Xu, W.; Dong, H. Microscale analysis and gas sensing characteristics based on SnO2 hollow spheres. Microelectron. Eng. 2020, 231, 111372. [Google Scholar] [CrossRef]
- Hermawan, A.; Asakura, Y.; Inada, M.; Yin, S. One-step synthesis of micro-/mesoporous SnO2 spheres by solvothermal method for toluene gas sensor. Ceram. Int. 2019, 45, 15435–15444. [Google Scholar] [CrossRef]
- Yoon, J.-W.; Choi, S.H.; Kim, J.-S.; Jang, H.W.; Kang, Y.C.; Lee, J.-H. Trimodally porous SnO2 nanospheres with three-dimensional interconnectivity and size tunability: A one-pot synthetic route and potential application as an extremely sensitive ethanol detector. NPG Asia Mater. 2016, 8, e244. [Google Scholar] [CrossRef] [Green Version]
- Wang, Z.; Zhi, M.; Xu, M.; Guo, C.; Man, Z.; Zhang, Z.; Li, Q.; Lv, Y.; Zhao, W.; Yan, J.; et al. Ultrasensitive NO2 gas sensor based on Sb-doped SnO2 covered ZnO nano-heterojunction. J. Mater. Sci. 2021, 56, 7348–7356. [Google Scholar] [CrossRef]
- Zeng, W.; Liu, Y.; Chen, G.; Zhan, H.; Mei, J.; Luo, N.; He, Z.; Tang, C. SnO–Sn3O4 heterostructural gas sensor with high response and selectivity to parts-per-billion-level NO2 at low operating temperature. RSC Adv. 2020, 10, 29843–29854. [Google Scholar] [CrossRef]
- Hermawan, A.; Asakura, Y.; Inada, M.; Yin, S. A facile method for preparation of uniformly decorated-spherical SnO2 by CuO nanoparticles for highly responsive toluene detection at high temperature. J. Mater. Sci. Technol. 2020, 51, 119–129. [Google Scholar] [CrossRef]
- Yao, L.; Li, Y.; Ran, Y.; Yang, Y.; Zhao, R.; Su, L.; Kong, Y.; Ma, D.; Chen, Y.; Wang, Y. Construction of novel Pd–SnO2 composite nanoporous structure as a high-response sensor for methane gas. J. Alloys Compd. 2020, 826, 154063. [Google Scholar] [CrossRef]
- Kou, X.; Meng, F.; Chen, K.; Wang, T.; Sun, P.; Liu, F.; Yan, X.; Sun, Y.; Liu, F.; Shimanoe, K.; et al. High-performance acetone gas sensor based on Ru-doped SnO2 nanofibers. Sens. Actuators B Chem. 2020, 320, 128292. [Google Scholar] [CrossRef]
- Myadam, N.L.; Nadargi, D.Y.; Nadargi, J.D.G.; Shaikh, F.I.; Suryavanshi, S.S.; Chaskar, M.G. A facile approach of developing Al/SnO2 xerogels via epoxide assisted gelation: A highly versatile route for formaldehyde gas sensors. Inorg. Chem. Commun. 2020, 116, 107901. [Google Scholar] [CrossRef]
- Wang, Q.; Bao, L.; Cao, Z.; Li, C.; Li, X.; Liu, F.; Sun, P.; Lu, G. Microwave-assisted hydrothermal synthesis of Pt/SnO2 gas sensor for CO detection. Chin. Chem. Lett. 2020, 31, 2029–2032. [Google Scholar] [CrossRef]
- Kim, J.-H.; Mirzaei, A.; Kim, J.-Y.; Lee, J.-H.; Kim, H.W.; Hishita, S.S.; Kim, S.S. Enhancement of gas sensing by implantation of Sb-ions in SnO2 nanowires. Sens. Actuators B Chem. 2020, 304, 127307. [Google Scholar] [CrossRef]
- Leangtanom, P.; Wisitsoraat, A.; Jaruwongrungsee, K.; Chanlek, N.; Phanichphant, S.; Kruefu, V. Highly sensitive and selective ethylene gas sensors based on CeOx-SnO2 nanocomposites prepared by a Co-precipitation method. Mater. Chem. Phys. 2020, 254, 123540. [Google Scholar] [CrossRef]
- Senapati, M.; Sahu, P.P. Meat quality assessment using Au patch electrode Ag-SnO2/SiO2/Si MIS capacitive gas sensor at room temperature. Food Chem. 2020, 324, 126893. [Google Scholar] [CrossRef]
- Acharyulu, N.P.S.; Srinivasu, C.; Fakrudin Babavali, S.K. Synthesis of carbon nano spherical structures and nano composite oxide [TiO2/SnO2 (2:1)] hollow spheres by hydrothermal method and study of characterization with photo catalytic activity. Mater. Today Proc. 2020, 27, 1282–1288. [Google Scholar] [CrossRef]
- Joshi, G.; Rajput, J.K.; Purohit, L.P. Improved stability of gas sensor by inclusion of Sb in nanostructured SnO2 thin films grown on sodalime. J. Alloys Compd. 2020, 830, 154659. [Google Scholar] [CrossRef]
- Bouznit, Y.; Henni, A. Characterization of Sb doped SnO2 films prepared by spray technique and their application to photocurrent generation. Mater. Chem. Phys. 2019, 233, 242–248. [Google Scholar] [CrossRef]
- Costa, I.M.; Colmenares, Y.N.; Pizani, P.S.; Leite, E.R.; Chiquito, A.J. Sb doping of VLS synthesized SnO2 nanowires probed by Raman and XPS spectroscopy. Chem. Phys. Lett. 2018, 695, 125–130. [Google Scholar] [CrossRef]
- Ma, J.; Liu, Y.; Zhang, H.; Ai, P.; Gong, N.; Wu, Y.; Yu, D. Room temperature ppb level H2S detection of a single Sb-doped SnO2 nanoribbon device. Sens. Actuators B Chem. 2015, 216, 72–79. [Google Scholar] [CrossRef]
- Liu, J.; Liu, X.; Zhai, Z.; Jin, G.; Jiang, Q.; Zhao, Y.; Luo, C.; Quan, L. Evaluation of depletion layer width and gas-sensing properties of antimony-doped tin oxide thin film sensors. Sens. Actuators B Chem. 2015, 220, 1354–1360. [Google Scholar] [CrossRef]
- Sun, M.; Liu, J.; Dong, B. Effects of Sb doping on the structure and properties of SnO2 films. Curr. Appl. Phys. 2020, 20, 462–469. [Google Scholar] [CrossRef]
- Song, Z.; Hu, Z.; Liu, J.; Yan, J.; Li, H.; Jiang, J.; Tang, J.; Liu, H. Metastable Antimony-Doped SnO2 Quantum Wires for Ultrasensitive Gas Sensors. Adv. Electron. Mater. 2021, 2101049. [Google Scholar] [CrossRef]
- Ni, J.; Zhao, X.; Zheng, X.; Zhao, J.; Liu, B. Electrical, structural, photoluminescence and optical properties of p-type conducting, antimony-doped SnO2 thin films. Acta Mater. 2009, 57, 278–285. [Google Scholar] [CrossRef]
- Rebholz, J.; Bonanati, P.; Jaeschke, C.; Hübner, M.; Mädler, L.; Weimar, U.; Barsan, N. Conduction mechanism in undoped and antimony doped SnO2 based FSP gas sensors. Sens. Actuators B Chem. 2013, 188, 631–636. [Google Scholar] [CrossRef] [Green Version]
- Xu, J.M.; Li, L.; Wang, S.; Ding, H.L.; Zhang, Y.X.; Li, G.H. Influence of Sb doping on the structural and optical properties of tin oxide nanocrystals. CrystEngComm 2013, 15, 3296. [Google Scholar] [CrossRef]
- Soufiane, K.; Gaiardo, A.; Valt, M.; Fabbri, B. First-Principles Study of Electronic Conductivity, Structural and Electronic Properties of Oxygen-Vacancy-Defected SnO2. J. Nanosci. Nanotechnol. 2021, 21, 2633–2640. [Google Scholar]
- Khun, K.K.; Mahajan, A.; Bedi, R.K. Nanostructured Sb doped SnO2 thick films for room temperature NH3 sensing. Chem. Phys. Lett. 2010, 492, 119–122. [Google Scholar] [CrossRef]
- Carotta, M.C.; Fioravanti, A.; Gherardi, S.; Malagù, C.; Sacerdoti, M.; Ghiotti, G.; Morandi, S. (Ti,Sn) solid solutions as functional materials for gas sensing. Sens. Actuators B Chem. 2014, 194, 195–205. [Google Scholar] [CrossRef]
- Morandi, S.; Amodio, A.; Fioravanti, A.; Giacomino, A.; Mazzocchi, M.; Sacerdoti, M.; Sacerdoti, M.; Carotta, M.C.; Skouloudis, A.N. Operational functionalities of air-quality WSn metal-oxide sensors correlating semiconductor defect levels and surface potential barriers. Sci. Total Environ. 2020, 706, 135731. [Google Scholar] [CrossRef] [PubMed]
- Gaiardo, A.; Zonta, G.; Gherardi, S.; Malagu, C.; Fabbri, B.; Valt, M.; Vanzetti, L.; Landini, N.; Casotti, D.; Cruciani, G.; et al. Nanostructured SmFeO3 Gas Sensors: Investigation of the Gas Sensing Performance Reproducibility for Colorectal Cancer Screening. Sensors 2020, 20, 5910. [Google Scholar] [CrossRef] [PubMed]
- Zonta, G.; Anania, G.; Astolfi, M.; Feo, C.; Gaiardo, A.; Gherardi, S.; Giberti, A.; Guidi, V.; Landini, N.; Palmonari, C.; et al. Chemoresistive sensors for colorectal cancer preventive screening through fecal odor: Double-blind approach. Sens. Actuators B Chem. 2019, 301, 127062. [Google Scholar] [CrossRef]
- Berardi, S.; Cristino, V.; Canton, M.; Boaretto, R.; Argazzi, R.; Benazzi, E.; Ganzer, L.; Borrego Varillas, R.; Cerullo, G.; Syrgiannis, Z.; et al. Perylene Diimide Aggregates on Sb-Doped SnO2: Charge Transfer Dynamics Relevant to Solar Fuel Generation. J. Phys. Chem. C 2017, 121, 17737–17745. [Google Scholar] [CrossRef] [Green Version]
- Ronconi, F.; Syrgiannis, Z.; Bonasera, A.; Prato, M.; Argazzi, R.; Caramori, S.; Cristino, V.; Bignozzi, C.A. Modification of nanocrystalline WO3 with a dicationic perylene bisimide: Applications to molecular level solar water splitting. J. Am. Chem. Soc. 2015, 137, 4630–4633. [Google Scholar] [CrossRef]
- Doebelin, N.; Kleeberg, R. Profex: A graphical user interface for the Rietveld refinement program BGMN. J. Appl. Crystallogr. 2015, 48, 1573–1580. [Google Scholar] [CrossRef] [Green Version]
- Speranza, G.; Canteri, R. RxpsG anewopen project for Photoelectron and Electron Spectroscopy data processing. SoftwareX 2019, 10, 100282. [Google Scholar] [CrossRef]
- Gaiardo, A.; Novel, D.; Scattolo, E.; Crivellari, M.; Picciotto, A.; Ficorella, F.; Iacob, E.; Bucciarelli, A.; Petti, L.; Lugli, P.; et al. Optimization of a Low-Power Chemoresistive Gas Sensor: Predictive Thermal Modelling and Mechanical Failure Analysis. Sensors 2021, 21, 783. [Google Scholar] [CrossRef]
- Bagolini, A.; Gaiardo, A.; Crivellari, M.; Demenev, E.; Bartali, R.; Picciotto, A.; Valt, M.; Ficorella, F.; Guidi, V.; Bellutti, P. Development of MEMS MOS gas sensors with CMOS compatible PECVD inter-metal passivation. Sens. Actuators B Chem. 2019, 292, 225–232. [Google Scholar] [CrossRef]
- Valt, M.; Fabbri, B.; Gaiardo, A.; Gherardi, S.; Casotti, D.; Cruciani, G.; Pepponi, G.; Vanzetti, L.; Iacob, E.; Malagù, C.; et al. Aza-crown-ether functionalized graphene oxide for gas sensing and cation trapping applications. Mater. Res. Express 2019, 6, 075603. [Google Scholar] [CrossRef]
- Valt, M.; Caporali, M.; Fabbri, B.; Gaiardo, A.; Krik, S.; Iacob, E.; Vanzetti, L.; Malagu, C.; Banchelli, M.; D’Andrea, C.; et al. Air Stable Nickel-Decorated Black Phosphorus and Its Room-Temperature Chemiresistive Gas Sensor Capabilities. ACS Appl Mater Interfaces 2021, 13, 44711–44722. [Google Scholar] [CrossRef]
- Guidi, V.; Carotta, M.C.; Ferroni, M.; Martinelli, G. Effect of Dopants on Grain Coalescence and Oxygen Mobility in Nanostructured Titania Anatase and Rutile. J. Phys. Chem. B 2003, 107, 120–124. [Google Scholar] [CrossRef]
- Amara, H.; Nelayah, J.; Creuze, J.; Chmielewski, A.; Alloyeau, D.; Ricolleau, C.; Legrand, B. Is There Really a Size effect on the Surface Energy of Nanoparticles? HAL. 2021. Available online: https://hal.archives-ouvertes.fr/hal-03310351 (accessed on 1 February 2022).
- Casotti, D.; Ardit, M.; Dinnebier, R.; Dondi, M.; Matteucci, F.; Zama, I.; Cruciani, G. Limited Crystallite Growth upon Isothermal Annealing of Nanocrystalline Anatase. Cryst. Growth Des. 2015, 15, 2282–2290. [Google Scholar] [CrossRef]
- Rockenberger, J.; zum Felde, U.; Tischer, M.; Tröger, L.; Haase, M.; Weller, H. Near edge X-ray absorption fine structure measurements (XANES) and extended X-ray absorption fine structure measurements (EXAFS) of the valence state and coordination of antimony in doped nanocrystalline SnO2. J. Chem. Phys. 2000, 112, 4296–4304. [Google Scholar] [CrossRef]
- Noonuruk, R.; Vittayakorn, N.; Mekprasart, W.; Sritharathikhun, J.; Pecharapa, W. Sb-Doped SnO2 Nanoparticles Synthesized by Sonochemical-Assisted Precipitation Process. J. Nanosci. Nanotechnol. 2015, 15, 2564–2569. [Google Scholar] [CrossRef]
- Babar, A.R.; Shinde, S.S.; Moholkar, A.V.; Bhosale, C.H.; Kim, J.H.; Rajpure, K.Y. Sensing properties of sprayed antimony doped tin oxide thin films: Solution molarity. J. Alloys Compd. 2011, 509, 3108–3115. [Google Scholar] [CrossRef]
- Wang, Y.; Mu, Q.; Wang, G.; Zhou, Z. Sensing characterization to NH3 of nanocrystalline Sb-doped SnO2 synthesized by a nonaqueous sol–gel route. Sens. Actuators B Chem. 2010, 145, 847–853. [Google Scholar] [CrossRef]
- Wu, J.M. A room temperature ethanol sensor made from p-type Sb-doped SnO2 nanowires. Nanotechnology 2010, 21, 235501. [Google Scholar] [CrossRef] [PubMed]
- Bohra, M.; Grammatikopoulos, P.; Diaz, R.E.; Singh, V.; Zhao, J.; Bobo, J.-F.; Kuronen, A.; Djurabekova, F.; Nordlund, K.; Sowwan, M. Surface Segregation in Chromium-Doped NiCr Alloy Nanoparticles and Its Effect on Their Magnetic Behavior. Chem. Mater. 2015, 27, 3216–3225. [Google Scholar] [CrossRef]
- Wu, L.; Dey, S.; Gong, M.; Liu, F.; Castro, R.H.R. Surface Segregation on Manganese doped Ceria Nanoparticles and Relationship with Nanostability. Phys. Chem. C 2014, 118, 30187–30196. [Google Scholar] [CrossRef]
- Feneberg, M.; Lidig, C.; White, M.E.; Tsai, M.Y.; Speck, J.S.; Bierwagen, O.; Galazka, Z.; Goldhahn, R. Anisotropic optical properties of highly doped rutile SnO2: Valence band contributions to the Burstein-Moss shift. APL Mater. 2019, 7, 022508. [Google Scholar] [CrossRef] [Green Version]
- Wan, Y.; Liu, J.; Li, W.; Meng, F.; Jin, Z.; Yu, X.; Huang, X.; Liu, J. Dense doping of indium to coral-like SnO2 nanostructures through a plasma-assisted strategy for sensitive and selective detection of chlorobenzene. Nanotechnology 2011, 22, 315501. [Google Scholar] [CrossRef]
- Lekshmy, S.S.; Daniel, G.P.; Joy, K. Microstructure and physical properties of sol gel derived SnO2:Sb thin films for optoelectronic applications. Appl. Surf. Sci. 2013, 274, 95–100. [Google Scholar] [CrossRef]
- Liu, P.Y.; Chen, J.F.; Sun, W.D. Characterizations of SnO2 and SnO2:Sb thin films prepared by PECVD. Vacuum 2004, 76, 7–11. [Google Scholar] [CrossRef]
- Koebel, M.M.; Nadargi, D.Y.; Jimenez-Cadena, G.; Romanyuk, Y.E. Transparent, conducting ATO thin films by epoxide-initiated sol-gel chemistry: A highly versatile route to mixed-metal oxide films. ACS Appl Mater Interfaces 2012, 4, 2464–2473. [Google Scholar] [CrossRef]
- Thangaraju, B. Structural and electrical studies on highly conducting spray deposited fluorine and antimony doped SnO2 thin films from SnCl2 precursor. Thin Solid Film. 2002, 402, 71–78. [Google Scholar] [CrossRef] [Green Version]
- Yang, L.; Huang, J.; Shi, L.; Cao, L.; Zhou, W.; Chang, K.; Meng, X.; Liu, G.; Jie, Y.; Ye, J. Efficient hydrogen evolution over Sb doped SnO2 photocatalyst sensitized by Eosin Y under visible light irradiation. Nano Energy 2017, 36, 331–340. [Google Scholar] [CrossRef]
- Albanese, E.; Di Valentin, C.; Pacchioni, G. H2O Adsorption on WO3 and WO3−x (001) Surfaces. ACS Appl. Mater. Interfaces 2017, 27, 23212–23221. [Google Scholar] [CrossRef] [PubMed]







| Samples | Lattice Parameter a (Å) | Lattice Parameter c (Å) | ||
|---|---|---|---|---|
| Rietveld Fit | Le Bail Fit | Rietveld Fit | Le Bail Fit | |
| S1 | 4.738377 (60) | 4.738349 (60) | 3.186908 (57) | 3.186859 (56) |
| ATO1 | 4.73853 (10) | 4.73862 (10) | 3.188074 (93) | 3.188113 (94) |
| ATO2 | 4.73991 (14) | 4.74024 (15) | 3.18913 (12) | 3.18917 (13) |
| Samples | Sn (at%) | Sb (at%) | Sb/Sn (%) |
|---|---|---|---|
| S1 | 99.87 ± 0.64 | - | - |
| ATO1 | 89.88 ± 0.67 | 10.12 ± 0.09 | 11.26 |
| ATO2 | 85.19 ± 1.68 | 14.81 ± 0.11 | 17.38 |
| Samples | Sn (at%) | Sb (at%) | O (at%) | Sb/Sn (%) |
|---|---|---|---|---|
| S1 | 29.41 ± 1.76 | - | 70.59 ± 4.31 | - |
| ATO1 | 32.34 ± 1.96 | 2.99 ± 0.38 | 64.67 ± 3.24 | 9.25 |
| ATO2 | 29.90 ± 1.90 | 4.49 ± 0.44 | 65.61 ± 3.47 | 15.20 |
| Sample\Temperature | 200 °C | 300 °C | 400 °C |
|---|---|---|---|
| S1 | 882.3 | 251.6 | 156.6 |
| ATO1 | 242.2 | 106.2 | 78.2 |
| ATO2 | 33.9 | 85 | 91.3 |
| Sample\Temperature | 0 RH% | 33 RH% | 50 RH% |
|---|---|---|---|
| S1 | 378.15 | 106.20 | 78.23 |
| ATO1 | 173.11 | 56.17 | 46.784 |
| ATO2 | 229.50 | 39.54 | 41.51 |
Publisher’s Note: MDPI stays neutral with regard to jurisdictional claims in published maps and institutional affiliations. |
© 2022 by the authors. Licensee MDPI, Basel, Switzerland. This article is an open access article distributed under the terms and conditions of the Creative Commons Attribution (CC BY) license (https://creativecommons.org/licenses/by/4.0/).
Share and Cite
Feng, Z.; Gaiardo, A.; Valt, M.; Fabbri, B.; Casotti, D.; Krik, S.; Vanzetti, L.; Ciana, M.D.; Fioravanti, S.; Caramori, S.; et al. Investigation on Sensing Performance of Highly Doped Sb/SnO2. Sensors 2022, 22, 1233. https://doi.org/10.3390/s22031233
Feng Z, Gaiardo A, Valt M, Fabbri B, Casotti D, Krik S, Vanzetti L, Ciana MD, Fioravanti S, Caramori S, et al. Investigation on Sensing Performance of Highly Doped Sb/SnO2. Sensors. 2022; 22(3):1233. https://doi.org/10.3390/s22031233
Chicago/Turabian StyleFeng, Zhifu, Andrea Gaiardo, Matteo Valt, Barbara Fabbri, Davide Casotti, Soufiane Krik, Lia Vanzetti, Michele Della Ciana, Simona Fioravanti, Stefano Caramori, and et al. 2022. "Investigation on Sensing Performance of Highly Doped Sb/SnO2" Sensors 22, no. 3: 1233. https://doi.org/10.3390/s22031233
APA StyleFeng, Z., Gaiardo, A., Valt, M., Fabbri, B., Casotti, D., Krik, S., Vanzetti, L., Ciana, M. D., Fioravanti, S., Caramori, S., Rota, A., & Guidi, V. (2022). Investigation on Sensing Performance of Highly Doped Sb/SnO2. Sensors, 22(3), 1233. https://doi.org/10.3390/s22031233

