Modeling and Analysis of Acoustic Emission Generated by Fatigue Cracking
Abstract
:1. Introduction
2. Modeling Method of AE
3. AE Simulation of Type I Fatigue Crack
3.1. Finite Element Simulation Settings
3.2. Verification and Analysis of Models
4. Experimental Verification
4.1. Experimental Setup
4.2. Experimental Results
5. Influencing Factors of AE Frequency Spectrum
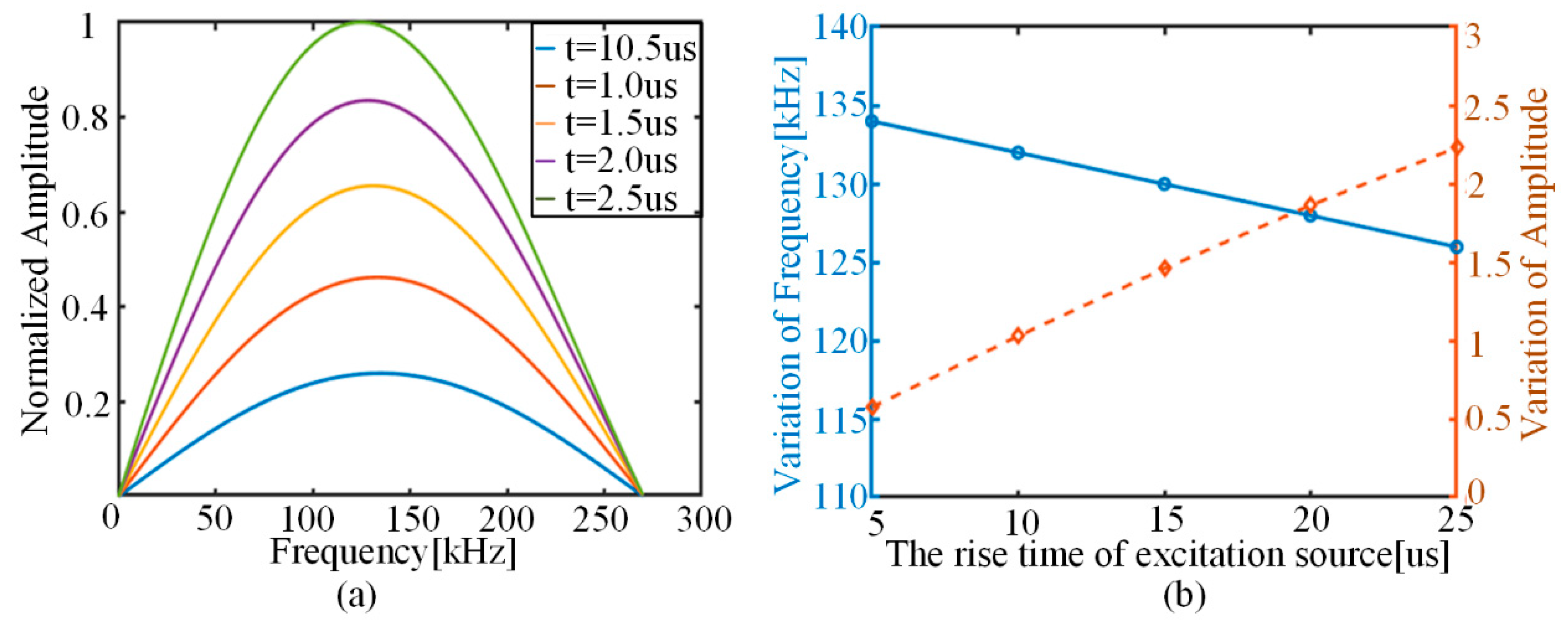
5.1. Effect of AE Sources
5.2. Effect of Structural Response
5.3. Effect of Sensor Parameters
6. Conclusions
Author Contributions
Funding
Institutional Review Board Statement
Informed Consent Statement
Data Availability Statement
Acknowledgments
Conflicts of Interest
References
- Khon, H.; Bashkov, O.V.; Zolotareva, S.V.; Solovev, D.B. Modeling the Propagation of Elastic Ultrasonic Waves in Isotropic and Anisotropic Materials When Excited by Various Sources. Mater. Sci. Forum 2018, 945, 926–931. [Google Scholar] [CrossRef]
- Shen, G.; Gong, R.; Liu, S. AE source localization technology. Nondestruct. Test. 2002, 125, 114–117. [Google Scholar]
- Mu, W.; Zou, Z.; Sun, H. Research on the time difference of arrival location method of an acoustic emission source based on visible graph modelling. Insight 2018, 60, 575–579. [Google Scholar] [CrossRef]
- Mu, W.; Qu, W.; Liu, G.; Zou, Z. Acoustic emission beamforming localisation approach based on particle swarm optimisation. Insight 2018, 60, 575–581. [Google Scholar] [CrossRef]
- Roberts, T.; Talebzadeh, M. Fatigue life prediction based on crack propagation and acoustic emission count rates. J. Constr. Steel Res. 2003, 59, 679–694. [Google Scholar] [CrossRef]
- McBride, S.; MacLachlan, J.; Paradis, B. Acoustic emission and inclusion fracture in 7075 aluminum alloys. J. Nondestruct. Eval. 1981, 2, 35–41. [Google Scholar] [CrossRef]
- Vanniamparambil, P.; Guclu, U.; Kontsos, A. Identification of crack initiation in aluminum alloys using acoustic emission. Exp. Mech. 2015, 55, 837–850. [Google Scholar] [CrossRef]
- Shen, G.; Gong, R.; Liu, S. Parametric analysis method of AE signal. Nondestr. Test. 2002, 24, 72–77. [Google Scholar]
- Wisner, B.; Mazur, K.; Perumal, V. Acoustic Emission Signal Processing Framework to Identify Fracture in Aluminum Alloys. Eng. Fract. Mech. 2018, 210, 367–380. [Google Scholar] [CrossRef] [Green Version]
- Kaewwaewnoi, W.; Prateepasen, A.; Kaewtrakulponng, P. Investigation of the relationship between internal fluid leakage through a valve and the acoustic emission generated from the leakage. Measurement 2010, 43, 274–282. [Google Scholar] [CrossRef]
- Ye, G.; Xu, K.; Wu, W. Multivariable modeling of valve inner leakage acoustic emission signal based on Gaussian process. Mech. Syst. Signal Process. 2020, 140, 106675. [Google Scholar] [CrossRef]
- Shen, G.; Wu, Z.; Zhang, J. Advances in AE Technology. In Proceedings of the World Conference on AE–2017; Springer: Berlin/Heidelberg, Germany, 2017. [Google Scholar]
- Meland, E.; Thornhill, N.F.; Lunde, E.; Rasmussen, M. Quantification of valve leakage rates. Am. Inst. Chem. Eng. 2012, 58, 1181–1193. [Google Scholar] [CrossRef] [Green Version]
- Shen, G.; Dai, G.; Liu, S. Advances in AE Detection Technology in China. Nondestruct. Test. 2003, 25, 302–307. [Google Scholar]
- Ono, K.; Ohtsu, M. A generalized theory of AE and Green’s functions in a half space. J. AE 1984, 3, 27–40. [Google Scholar]
- Ohtsu, M.; Ono, K. The Generalized Theory and Source Representation of AE. J. AE 1986, 5, 124–133. [Google Scholar]
- Weaver, R.L.; Pao, Y.H. Axisymmetric Elastic Waves Excited by a Point Source in a Plate. J. Appl. Mech. 1982, 49, 84. [Google Scholar] [CrossRef]
- Gorman, M.R.; Prosser, W.H. Application of Normal Mode Expansion to Accoustic Emission Waves in Finite Plates. J. Appl. Mech. 1996, 63, 73–80. [Google Scholar] [CrossRef]
- Lysak, M.V. Development of the theory of AE by propagating cracks in terms of fracture mechanics. Eng. Fract. Mech. 1996, 55, 443–452. [Google Scholar] [CrossRef]
- Bhuiyan, M.Y.; Giurgiutiu, V. The Signatures of AE Waveforms from Fatigue Crack Advancing in Thin Metallic Plates. Smart Mater. Struct. 2017, 27, 015019. [Google Scholar] [CrossRef] [Green Version]
- Qing, X.; Li, W.; Wang, Y.; Sun, H. Piezoelectric transducer-based structural health monitoring for aircraft applications. Sensors 2019, 19, 545. [Google Scholar] [CrossRef]
- Ye, G.; Xu, K.; Wu, W. Multi-variable classification model for valve internal leakage based on acoustic emission time–frequency domain characteristics and random forest. Rev. Sci. Instrum. 2021, 92, 025108. [Google Scholar] [CrossRef]
- Raghavan, A.; Cesnik, C.E.S. Finite-dimensional piezoelectric transducer modeling for guided wave based structural health monitoring. Smart Mater. Struct. 2005, 14, 1448–1461. [Google Scholar] [CrossRef]
- Maillet, E.; Morscher, G.N. Waveform-based selection of acoustic emission events generated by damage in composite materials. Mech. Syst. Signal Process. 2015, 52, 217–227. [Google Scholar] [CrossRef]
- Sause, M.G.R.; Hamstad, M.A.; Horn, S. Finite element modeling of lamb wave propagation in anisotropic hybrid materials. Compos. Part B Eng. 2013, 53, 249. [Google Scholar] [CrossRef]
- Sengupta, S.; Roy, P.; Topdar, P. Investigation of layered composite plates under acoustic emission using an appropriate FE model. Can. J. Civ. Eng. 2021, 48, 1639–1651. [Google Scholar] [CrossRef]
- Giuruiutiu, V. Tuned Lamb wave excitation and detection with piezoelectric wafer active sensors for structural health monitoring. J. Intell. Mater. Syst. Struct. 2005, 16, 291–305. [Google Scholar] [CrossRef]
- Xu, B.; Giuruiutiu, V. Single mode tuning effects on Lamb wave time reversal with piezoelectric wafer active sensors for structural health monitoring. J. Nondestruct. Eval. 2007, 26, 123–134. [Google Scholar] [CrossRef] [Green Version]
- Zelenyak, A.M.; Hamstad, M.A.; Sause, M.G.R. Modeling of Acoustic Emission Signal Propagation in Waveguides. Sensors 2015, 15, 11805–11822. [Google Scholar] [CrossRef] [Green Version]
- Achenbach, J.D.; Xu, Y. Wave motion in an isotropic elastic layer generated by a time-harmonic point load of arbitrary direction. J. Acoust. Soc. Am. 1999, 106, 83–90. [Google Scholar] [CrossRef]
- Tzou, H.S.; Zhong, J.P. Electromechanics and Vibrations of Piezoelectric Shell Distributed Systems. J. Dyn. Syst. Meas. Control 1993, 115, 506–517. [Google Scholar] [CrossRef]
- Hamst, A.M.A. AE signals generated by monopole (pencil-lead break) versus dipole sources: Finite element modeling and experiments. J. AE 2007, 25, 92–106. [Google Scholar]












| Material | Density (kg/m3) | Elastic Modulus (GPa) | Poisson’s Ratio |
|---|---|---|---|
| Aluminum plate | 2700 | 69 | 0.33 |
| APC-850 | 7700 | 84.3 | 0.31 |
Publisher’s Note: MDPI stays neutral with regard to jurisdictional claims in published maps and institutional affiliations. |
© 2022 by the authors. Licensee MDPI, Basel, Switzerland. This article is an open access article distributed under the terms and conditions of the Creative Commons Attribution (CC BY) license (https://creativecommons.org/licenses/by/4.0/).
Share and Cite
Mu, W.; Gao, Y.; Wang, Y.; Liu, G.; Hu, H. Modeling and Analysis of Acoustic Emission Generated by Fatigue Cracking. Sensors 2022, 22, 1208. https://doi.org/10.3390/s22031208
Mu W, Gao Y, Wang Y, Liu G, Hu H. Modeling and Analysis of Acoustic Emission Generated by Fatigue Cracking. Sensors. 2022; 22(3):1208. https://doi.org/10.3390/s22031208
Chicago/Turabian StyleMu, Weilei, Yuqing Gao, Yuxue Wang, Guijie Liu, and Hao Hu. 2022. "Modeling and Analysis of Acoustic Emission Generated by Fatigue Cracking" Sensors 22, no. 3: 1208. https://doi.org/10.3390/s22031208
APA StyleMu, W., Gao, Y., Wang, Y., Liu, G., & Hu, H. (2022). Modeling and Analysis of Acoustic Emission Generated by Fatigue Cracking. Sensors, 22(3), 1208. https://doi.org/10.3390/s22031208

