Mixed Reality-Based Interaction between Human and Virtual Cat for Mental Stress Management
Abstract
:1. Introduction
2. Program Design and Implementation
2.1. Platform Overview
2.2. Animations
2.3. Implementation of Human—Animal Interactions
2.3.1. Gestures
2.3.2. Voice Commands
3. Experiment Methods and Results
3.1. Methods
3.1.1. Experimental Design
3.1.2. Electrocardiogram (ECG) Recording
3.1.3. Survey
3.2. Experiment Results
3.2.1. Electrocardiogram (ECG)
3.2.2. Survey
4. Discussion
5. Conclusions
Author Contributions
Funding
Institutional Review Board Statement
Informed Consent Statement
Conflicts of Interest
References
- Saleh, D.; Camart, N.; Romo, L. Predictors of stress in university students. Front. Psychol. 2017, 8, 19. [Google Scholar] [CrossRef] [PubMed] [Green Version]
- Allen, K.; Blascovich, J.; Mendes, W.B. Cardiovascular reactivity and the presence of pets, friends, and spouses: The truth about cats and dogs. Psychosom. Med. 2002, 64, 727–739. [Google Scholar] [PubMed] [Green Version]
- Polheber, J.P.; Matchock, R.L. The presence of a dog attenuates cortisol and heart rate in the Trier Social Stress Test compared to human friends. J. Behav. Med. 2014, 37, 860–867. [Google Scholar] [CrossRef] [PubMed]
- Wilson, C.C.; Barker, S.B. Challenges in designing human–animal interaction research. Am. Behav. Sci. 2003, 47, 16–28. [Google Scholar] [CrossRef]
- Beetz, A.; Uvnäs-Moberg, K.; Julius, H.; Kotrschal, K. Psychosocial and psychophysiological effects of human-animal interactions: The possible role of oxytocin. Front. Psychol. 2012, 3, 234. [Google Scholar] [CrossRef] [Green Version]
- Crossman, M.K.; Kazdin, A.E. Animal visitation programs in colleges and universities: An efficient model for reducing student stress. In Handbook on Animal-Assisted Therapy; Elsevier: Amsterdam, The Netherlands, 2015; pp. 333–337. [Google Scholar]
- Pendry, P.; Vandagriff, J.L. Animal visitation program (AVP) reduces cortisol levels of university students: A randomized controlled trial. Aera Open 2019, 5, 2332858419852592. [Google Scholar] [CrossRef] [Green Version]
- Barker, S.B.; Barker, R.T.; McCain, N.L.; Schubert, C.M. A randomized cross-over exploratory study of the effect of visiting therapy dogs on college student stress before final exams. Anthrozoös 2016, 29, 35–46. [Google Scholar] [CrossRef]
- Pendry, P.; Carr, A.M.; Roeter, S.M.; Vandagriff, J.L. Experimental trial demonstrates effects of animal-assisted stress prevention program on college students’ positive and negative emotion. Hum. Anim. Interact Bull. 2018, 6, 81–97. [Google Scholar]
- Pendry, P.; Kuzara, S.; Gee, N.R. Characteristics of Student–Dog Interaction during a Meet-and-Greet Activity in a University-Based Animal Visitation Program. Anthrozoös 2020, 33, 53–69. [Google Scholar] [CrossRef]
- Norouzi, N. Augmented Reality Animals: Are They Our Future Companions? In Proceedings of the 2020 IEEE Conference on Virtual Reality and 3D User Interfaces Abstracts and Workshops (VRW), Atlanta, GA, USA, 22–26 March 2020; pp. 563–564. [Google Scholar]
- Lin, C.; Faas, T.; Dombrowski, L.; Brady, E. Beyond cute: Exploring user types and design opportunities of virtual reality pet games. In Proceedings of the 23rd ACM Symposium on Virtual Reality Software and Technology, Gothenburg, Sweden, 8–10 November 2017; pp. 1–10. [Google Scholar]
- Johnsen, K.; Ahn, S.J.; Moore, J.; Brown, S.; Robertson, T.P.; Marable, A.; Basu, A. Mixed reality virtual pets to reduce childhood obesity. IEEE Trans. Vis. Comput. Graph. 2014, 20, 523–530. [Google Scholar] [CrossRef]
- Lin, J.J.; Mamykina, L.; Lindtner, S.; Delajoux, G.; Strub, H.B. Fish’n’Steps: Encouraging physical activity with an interactive computer game. In Proceedings of the International Conference on Ubiquitous Computing, Orange County, CA, USA, 17–21 September 2006; Springer: Berlin/Heidelberg, Germany, 2006; pp. 261–278. [Google Scholar]
- Chen, Z.H.; Chou, C.Y.; Deng, Y.C.; Chan, T.W. Active open learner models as animal companions: Motivating children to learn through interacting with My-Pet and Our-Pet. Int. J. Artif. Intell. Educ. 2007, 17, 145–167. [Google Scholar]
- Condino, S.; Cutolo, F.; Cattari, N.; Colangeli, S.; Parchi, P.D.; Piazza, R.; Ruinato, A.D.; Capanna, R.; Ferrari, V. Hybrid simulation and planning platform for cryosurgery with Microsoft Hololens. Sensors 2021, 21, 4450. [Google Scholar] [CrossRef] [PubMed]
- Norouzi, N.; Bruder, G.; Bailenson, J.; Welch, G. Investigating Augmented Reality Animals as Companions. In Proceedings of the 2019 IEEE International Symposium on Mixed and Augmented Reality Adjunct (ISMAR-Adjunct), Beijing, China, 10–18 October 2019; pp. 400–403. [Google Scholar]
- Kim, H.G.; Cheon, E.J.; Bai, D.S.; Lee, Y.H.; Koo, B.H. Stress and heart rate variability: A meta-analysis and review of the literature. Psychiatry Investig. 2018, 15, 235. [Google Scholar] [CrossRef] [PubMed] [Green Version]
- Taelman, J.; Vandeput, S.; Spaepen, A.; Van Huffel, S. Influence of mental stress on heart rate and heart rate variability. In Proceedings of the 4th European Conference of the International Federation for Medical and Biological Engineering, Antwerp, Belgium, 23–27 November 2008; Springer: Berlin/Heidelberg, Germany, 2009; pp. 1366–1369. [Google Scholar]
- Camm, A.J.; Malik, M.; Bigger, J.T.; Breithardt, G.; Cerutti, S.; Cohen, R.J.; Coumel, P.; Fallen, E.L.; Kennedy, H.L.; Kleiger, R.; et al. Heart Rate Variability: Standards of Measurement, Physiological Interpretation and Clinical Use. Circulation 1996, 93, 1043–1065. [Google Scholar]
- Acharya, U.R.; Joseph, K.P.; Kannathal, N.; Lim, C.M.; Suri, J.S. Heart rate variability: A review. Med. Biol. Eng. Comput. 2006, 44, 1031–1051. [Google Scholar] [CrossRef]
- Rauschnabel, P.A.; Brem, A.; Ro, Y. Augmented Reality Smart Glasses: Definition, Conceptual Insights, and Managerial Importance; Unpublished Working Paper; The University of Michigan-Dearborn, College of Business: Dearborn, MI, USA, 2015. [Google Scholar]
- Petridis, P.; Dunwell, I.; De Freitas, S.; Panzoli, D. An engine selection methodology for high fidelity serious games. In Proceedings of the 2010 IEEE Second International Conference on Games and Virtual Worlds for Serious Applications, Braga, Portugal, 25–26 March 2010; pp. 27–34. [Google Scholar]
- Lopez, C.E.; Miller, S.R.; Tucker, C.S. Exploring biases between human and machine generated designs. J. Mech. Des. N. Y. 2019, 141, 021104. [Google Scholar] [CrossRef]
- Wilson, N. Augmented and Virtual Reality Telecommunication Tool. Creative Components. 2020, p. 561. Available online: https://dr.lib.iastate.edu/handle/20.500.12876/17135 (accessed on 1 September 2020).
- Schwind, V.; Leicht, K.; Jäger, S.; Wolf, K.; Henze, N. Is there an uncanny valley of virtual animals? A quantitative and qualitative investigation. Int. J. Hum. Comput. Stud. 2018, 111, 49–61. [Google Scholar] [CrossRef]
- Kirschbaum, C.; Pirke, K.M.; Hellhammer, D.H. The ‘Trier Social Stress Test’—A tool for investigating psychobiological stress responses in a laboratory setting. Neuropsychobiology 1993, 28, 76–81. [Google Scholar] [CrossRef]
- Ein, N.; Hadad, M.; Reed, M.J.; Vickers, K. Does Viewing a Picture of a Pet During a Mental Arithmetic Task Lower Stress Levels? Anthrozoös 2019, 32, 519–532. [Google Scholar] [CrossRef]
- Berntson, G.G.; Thomas Bigger, J., Jr.; Eckberg, D.L.; Grossman, P.; Kaufmann, P.G.; Malik, M.; Nagaraja, H.N.; Porges, S.W.; Saul, J.P.; Stone, P.H.; et al. Heart rate variability: Origins, methods, and interpretive caveats. Psychophysiology 1997, 34, 623–648. [Google Scholar] [CrossRef]
- Delaney, J.; Brodie, D. Effects of short-term psychological stress on the time and frequency domains of heart-rate variability. Percept. Mot. Skills 2000, 91, 515–524. [Google Scholar] [CrossRef] [PubMed]
- McNair, D.; Lorr, M.; Droppleman, L. Manual for the Profile of Mood States (POMS); Educational and Industrial Testing Service: San Diego, CA, USA, 1971. [Google Scholar]
- Yeun, E.J.; Shin-Park, K.K. Verification of the profile of mood states-brief: Cross-cultural analysis. J. Clin. Psychol. 2006, 62, 1173–1180. [Google Scholar] [CrossRef] [PubMed]
- Hong, S.; Joung, D.; Lee, J.; Kim, D.y.; Kim, S.; Park, B.J. Effect of 2D Forest Video Viewing and Virtual Reality Forest Video Viewing on Stress Reduction in Adults. J. Korean Soc. For. Sci. 2019, 108, 440–453. [Google Scholar]
- Castaldo, R.; Montesinos, L.; Melillo, P.; James, C.; Pecchia, L. Ultra-short term HRV features as surrogates of short term HRV: A case study on mental stress detection in real life. BMC Med. Inform. Decis. Mak. 2019, 19, 12. [Google Scholar] [CrossRef] [PubMed] [Green Version]
- Demšar, J. Statistical comparisons of classifiers over multiple data sets. J. Mach. Learn. Res. 2006, 7, 1–30. [Google Scholar]
- Nishime, E.O.; Cole, C.R.; Blackstone, E.H.; Pashkow, F.J.; Lauer, M.S. Heart rate recovery and treadmill exercise score as predictors of mortality in patients referred for exercise ECG. JAMA 2000, 284, 1392–1398. [Google Scholar] [CrossRef]
- Hjortskov, N.; Rissén, D.; Blangsted, A.K.; Fallentin, N.; Lundberg, U.; Søgaard, K. The effect of mental stress on heart rate variability and blood pressure during computer work. Eur. J. Appl. Physiol. 2004, 92, 84–89. [Google Scholar] [CrossRef]
- Visnovcova, Z.; Mestanik, M.; Javorka, M.; Mokra, D.; Gala, M.; Jurko, A.; Calkovska, A.; Tonhajzerova, I. Complexity and time asymmetry of heart rate variability are altered in acute mental stress. Physiol. Meas. 2014, 35, 1319. [Google Scholar] [CrossRef]
- Haker, E.; Egekvist, H.; Bjerring, P. Effect of sensory stimulation (acupuncture) on sympathetic and parasympathetic activities in healthy subjects. J. Auton. Nerv. Syst. 2000, 79, 52–59. [Google Scholar] [CrossRef]
- Sloan, R.; Shapiro, P.; Bagiella, E.; Boni, S.; Paik, M.; Bigger, J., Jr.; Steinman, R.; Gorman, J. Effect of mental stress throughout the day on cardiac autonomic control. Biol. Psychol. 1994, 37, 89–99. [Google Scholar] [CrossRef]










| Factors | Item | Factors | Item |
|---|---|---|---|
| T | Nervous | A | Angry |
| F | Worn out | V | Lively |
| C | Confused | T | On edge |
| D | Sad | V | Active |
| A | Annoyed | V | Energetic |
| D | Miserable | T | Panicky |
| F | Tired | A | Bitter |
| D | Downhearted | T | Worried |
| D | Worthless | C | Mixed-up |
| F | Exhausted | T | Anxious |
| D | Depressed | F | Sleepy |
| A | Furious | D | Discouraged |
| A | Resentful | V | Competent |
| V | Vigorous | A | Bad tempered |
| V | Full of pep |
| Baseline | MA (Pre-MR) | MR | MA (Pre-Slide) | Slide | ||
|---|---|---|---|---|---|---|
| a | b | c | d | e | ||
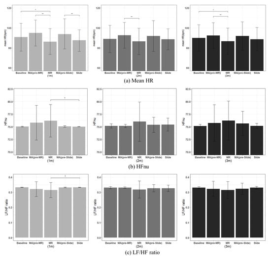
| 1 m | 90.77 (14.02) c* | 95.03 (13.10) c** | 86.01 (12.69) a*b** | 93.77 (14.80) e** | 87.62 (11.04) d** | |
| Mean HR (bpm) | 2 m | 89.02 (13.74) | 92.65 (12.91) c** | 86.25 (13.24) b** | 91.87 (15.39) | 88.67 (10.53) |
| 3 m | 90.0 (13.18) c* | 92.38 (12.83) c** | 86.74 (13.13) a*b** | 91.97 (14.15) | 88.69 (11.81) | |
| 1 m | 75.04 (0.08) | 75.80 (3.43) | 76.19 (3.23) e* | 75.07 (0.15) | 75.02 (0.04) c* | |
| HFnu (%) | 2 m | 75.16 (0.42) | 75.16 (0.32) | 76.02 (3.91) | 75.39 (1.49) | 75.43 (1.29) |
| 3 m | 75.14 (0.34) | 75.75 (3.60) | 76.23 (3.87) | 75.66 (2.42) | 75.17 (0.51) | |
| 1 m | 0.33 (0.001) | 0.32 (0.05) | 0.31 (0.05) e* | 0.32 (0.002) | 0.33 (0.001) c* | |
| LF/HF ratio | 2 m | 0.33 (0.01) | 0.33 (0.01) | 0.32 (0.07) | 0.33 (0.02) | 0.33 (0.02) |
| 3 m | 0.33 (0.01) | 0.32 (0.05) | 0.31 (0.06) | 0.32 (0.04) | 0.33 (0.01) |
| Baseline | MA (Pre-MR) | MR | MA (Pre-Slide) | Slide | |
|---|---|---|---|---|---|
| a | b | c | d | e | |
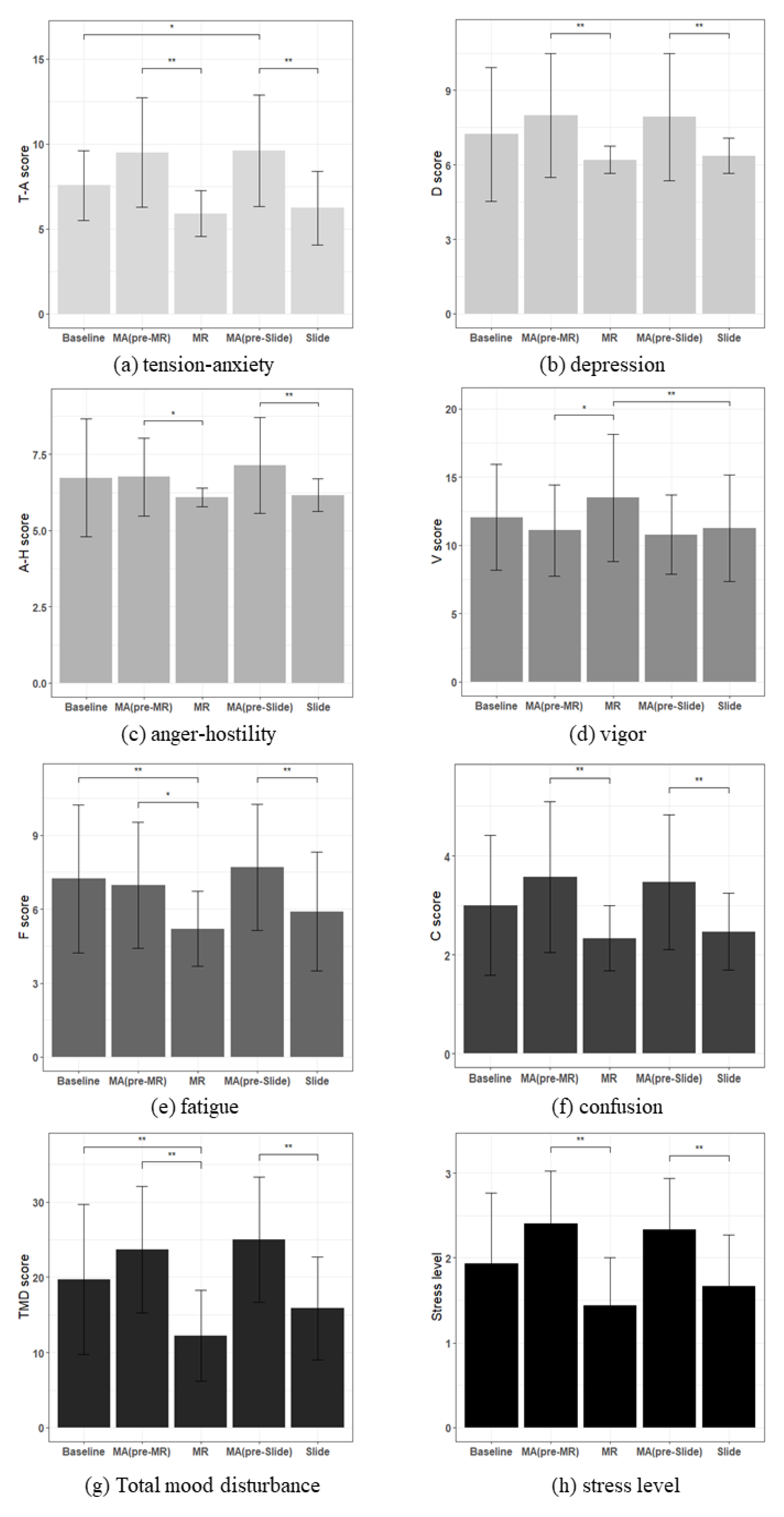
| T-A score | 7.57 (2.05) d* | 9.5 (3.22) c** | 5.9 (1.35) b** | 9.6 (3.27) a*e** | 6.23 (2.16) a*d** |
| D score | 7.23 (2.7) | 8.0 (2.49) c** | 6.2 (0.55) b** | 7.93 (2.56) e** | 6.37 (0.72) d** |
| A-H score | 6.73 (1.93) | 6.77 (1.28) c* | 6.1 (0.3) b* | 7.13 (1.57) e** | 6.17 (0.53) d** |
| V score | 12.07 (3.88) | 11.1 (3.36) c* | 13.5 (4.65) b*e** | 10.8 (2.92) | 11.27 (3.9) c** |
| F score | 7.23 (3.0) c** | 6.97 (2.55) c* | 5.2 (1.51) a**b* | 7.7 (2.55) e** | 5.9 (2.41) d** |
| C score | 3.0 (1.41) | 3.57 (1.52) c** | 2.33 (0.66) b** | 3.47 (1.36) e** | 2.47 (0.78) d** |
| TMD score | 19.7 (9.98) c** | 23.7 (8.4) c** | 12.23 (5.99) a**b** | 25.03 (8.34) e** | 15.87 (6.85) d** |
| Stress level | 1.93 (0.83) | 2.4 (0.62) c** | 1.43 (0.57) b** | 2.33 (0.6) e** | 1.67 (0.61) d** |
Publisher’s Note: MDPI stays neutral with regard to jurisdictional claims in published maps and institutional affiliations. |
© 2022 by the authors. Licensee MDPI, Basel, Switzerland. This article is an open access article distributed under the terms and conditions of the Creative Commons Attribution (CC BY) license (https://creativecommons.org/licenses/by/4.0/).
Share and Cite
Na, H.; Park, S.; Dong, S.-Y. Mixed Reality-Based Interaction between Human and Virtual Cat for Mental Stress Management. Sensors 2022, 22, 1159. https://doi.org/10.3390/s22031159
Na H, Park S, Dong S-Y. Mixed Reality-Based Interaction between Human and Virtual Cat for Mental Stress Management. Sensors. 2022; 22(3):1159. https://doi.org/10.3390/s22031159
Chicago/Turabian StyleNa, Heewon, Soyeon Park, and Suh-Yeon Dong. 2022. "Mixed Reality-Based Interaction between Human and Virtual Cat for Mental Stress Management" Sensors 22, no. 3: 1159. https://doi.org/10.3390/s22031159
APA StyleNa, H., Park, S., & Dong, S.-Y. (2022). Mixed Reality-Based Interaction between Human and Virtual Cat for Mental Stress Management. Sensors, 22(3), 1159. https://doi.org/10.3390/s22031159

