Research on Minimization of Data Set for State of Charge Prediction
Abstract
:1. Introduction
2. Construction of Data Set
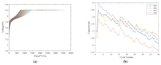
2.1. Data Background
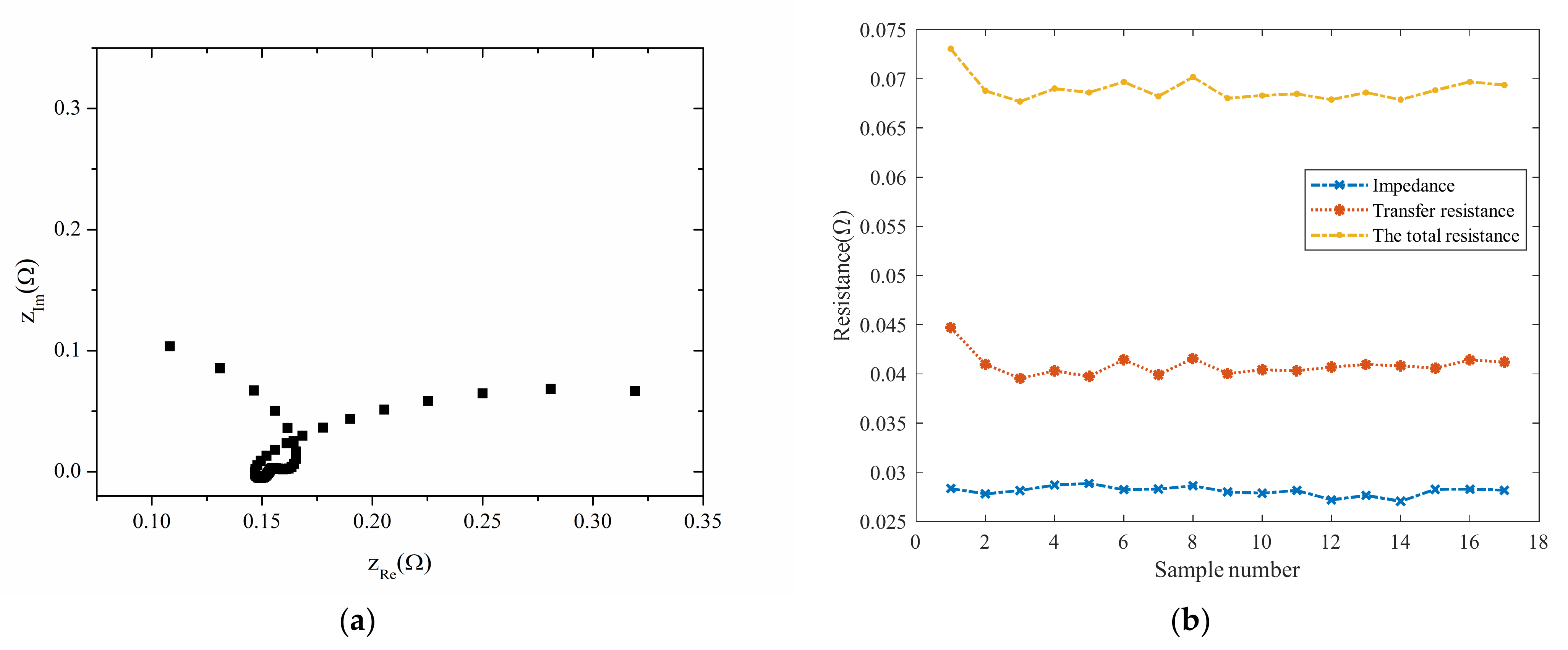
2.2. Characteristic Parameter Cleaning
- Pressure
- 2.
- Temperature
- 3.
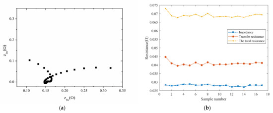
- Internal resistance
- 4.
- Voltage and current
2.3. Data Set Construction
3. Analysis of Critical Features of Data Set
3.1. Data Periodicity Analysis
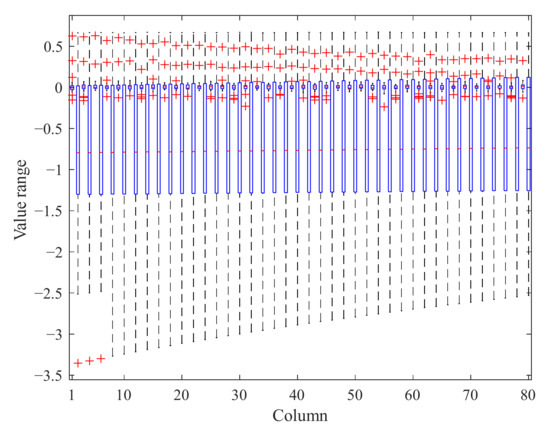
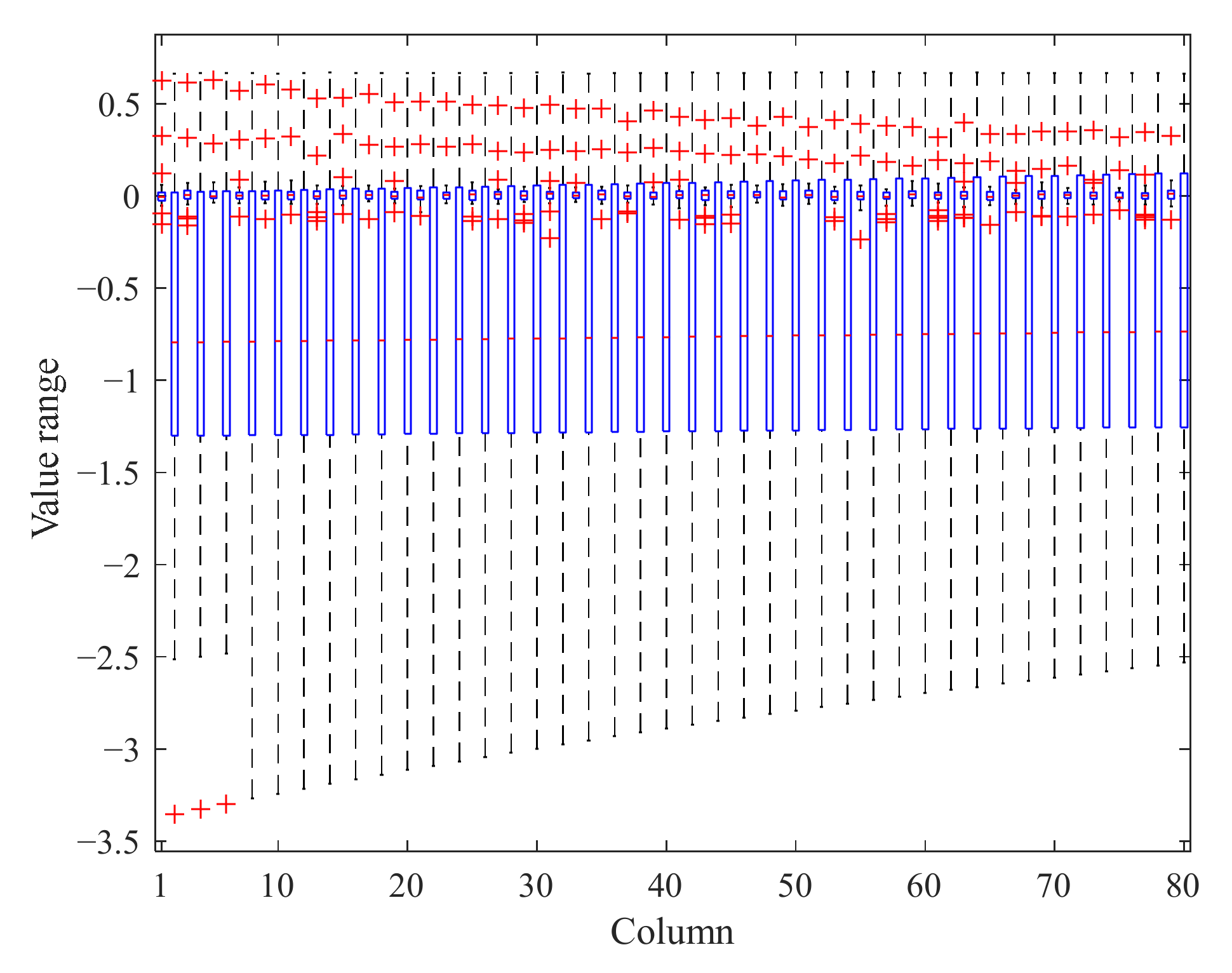
3.2. Data Difference Analysis
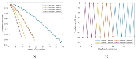
3.3. Principal Component Analysis
- Normalization of the matrix
- 2.
- Correlation coefficient calculation
- 3.
- Eigenvalue and principal matrix
- 4.
- Contribution ratio
4. Prediction and Minimization
4.1. Prediction Based on Periodic and Principal Components Data
4.2. Minimization
Verification
5. Conclusions
Author Contributions
Funding
Institutional Review Board Statement
Informed Consent Statement
Data Availability Statement
Conflicts of Interest
Nomenclature
| , , | The bias of different processing units in LSTM |
| , , | The weights of different processing units in LSTM |
| Sigma function | |
| The mean value of input data | |
| The normalized value of input data | |
| The normalized voltage value and voltage derivative value The principal component contribution rate | |
| Principal components accumulative contribution rate | |
| Principal components matrix |
References
- Wu, J.; Zhang, C.; Chen, Z. An online method for lithium-ion battery remaining useful life estimation using importance sampling and neural networks. Appl. Energy 2016, 173, 134–140. [Google Scholar] [CrossRef]
- Liu, X.; Wu, J.; Zhang, C.; Chen, Z. A method for state of energy estimation of lithium-ion batteries at dynamic currents and temperatures. J. Power Sources 2014, 270, 151–157. [Google Scholar] [CrossRef]
- Song, X.; Yang, F.; Wang, D.; Tsui, K.-L. Combined CNN-LSTM Network for State-of-Charge Estimation of Lithium-Ion Batteries. IEEE Access 2019, 7, 88894–88902. [Google Scholar] [CrossRef]
- Li, W.; Liang, L.; Liu, W.; Wu, X. State of Charge Estimation of Lithium-Ion Batteries Using a Discrete-Time Nonlinear Observer. IEEE Trans. Ind. Electron. 2017, 64, 8557–8565. [Google Scholar] [CrossRef]
- Paschero, M.; Storti, G.L.; Rizzi, A.; Mascioli, F.M.F.; Rizzoni, G. A Novel Mechanical Analogy-Based Battery Model for SoC Estimation Using a Multicell EKF. IEEE Trans. Sustain. Energy 2016, 7, 1695–1702. [Google Scholar] [CrossRef] [Green Version]
- Wang, W.; Wang, X.; Xiang, C.; Wei, C.; Zhao, Y. Unscented Kalman Filter-Based Battery SOC Estimation and Peak Power Prediction Method for Power Distribution of Hybrid Electric Vehicles. IEEE Access 2018, 6, 35957–35965. [Google Scholar] [CrossRef]
- Chen, Z.; Fu, Y.; Mi, C. State of Charge Estimation of Lithium-Ion Batteries in Electric Drive Vehicles Using Extended Kalman Filtering. IEEE Trans. Veh. Technol. 2013, 62, 1020–1030. [Google Scholar] [CrossRef]
- Xiong, R.; Zhang, Y.; He, H.; Zhou, X.; Pecht, M.G. A Double-Scale, Particle-Filtering, Energy State Prediction Algorithm for Lithium-Ion Batteries. IEEE Trans. Ind. Electron. 2017, 65, 1526–1538. [Google Scholar] [CrossRef]
- Zhou, D.; Zhang, K.; Ravey, A.; Gao, F.; Miraoui, A. Online Estimation of Lithium Polymer Batteries State-of-Charge Using Particle Filter-Based Data Fusion with Multimodels Approach. IEEE Trans. Ind. Appl. 2016, 52, 2582–2595. [Google Scholar] [CrossRef]
- How, D.N.T.; Hannan, M.A.; Lipu, M.S.H.; Sahari, K.S.M.; Ker, P.J.; Muttaqi, K.M. State-of-Charge Estimation of Li-Ion Battery in Electric Vehicles: A Deep Neural Network Approach. IEEE Trans. Ind. Appl. 2020, 56, 5565–5574. [Google Scholar] [CrossRef]
- Xiao, D.; Fang, G.; Liu, S.; Yuan, S.; Ahmed, R.; Habibi, S.; Emadi, A. Reduced-Coupling Coestimation of SOC and SOH for Lithium-Ion Batteries Based on Convex Optimization. IEEE Trans. Power Electron. 2020, 35, 12332–12346. [Google Scholar] [CrossRef]
- Wang, Q.-K.; He, Y.-J.; Shen, J.-N.; Hu, X.-S.; Ma, Z.-F. State of Charge-Dependent Polynomial Equivalent Circuit Modeling for Electrochemical Impedance Spectroscopy of Lithium-Ion Batteries. IEEE Trans. Power Electron. 2017, 33, 8449–8460. [Google Scholar] [CrossRef]
- Rodrigues, S.; Munichandraiah, N.; Shukla, A. A review of state-of-charge indication of batteries by means of a.c. impedance measurements. J. Power Sources 2000, 87, 12–20. [Google Scholar] [CrossRef]
- Zhang, Y.; Song, W.; Lin, S.; Feng, Z. A novel model of the initial state of charge estimation for LiFePO4 batteries. J. Power Sources 2014, 248, 1028–1033. [Google Scholar] [CrossRef]
- Ng, K.S.; Moo, C.-S.; Chen, Y.-P.; Hsieh, Y.-C. Enhanced coulomb counting method for estimating state-of-charge and state-of-health of lithium-ion batteries. Appl. Energy 2009, 86, 1506–1511. Available online: https://ideas.repec.org/a/eee/appene/v86y2009i9p1506-1511.html (accessed on 16 August 2020). [CrossRef]
- Lu, L.; Han, X.; Li, J.; Hua, J.; Ouyang, M. A review on the key issues for lithium-ion battery management in electric vehicles. J. Power Sources 2013, 226, 272–288. [Google Scholar] [CrossRef]
- Hu, X.; Sun, F.; Zou, Y. Comparison between two model-based algorithms for Li-ion battery SOC estimation in electric vehicles. Simul. Model. Pr. Theory 2013, 34, 1–11. [Google Scholar] [CrossRef]
- Cambron, D.C.; Cramer, A.M. A Lithium-Ion Battery Current Estimation Technique Using an Unknown Input Observer. IEEE Trans. Veh. Technol. 2017, 66, 6707–6714. [Google Scholar] [CrossRef]
- Il-Song, K. Nonlinear State of Charge Estimator for Hybrid Electric Vehicle Battery. IEEE Trans. Power Electron. 2008, 23, 2027–2034. [Google Scholar] [CrossRef]
- Xu, W.; Xu, J.; Lang, J.; Yan, X. A Multi-Timescale Estimator for Lithium-Ion Battery State of Charge and State of Energy Estimation Using Dual H Infinity Filter. IEEE Access 2019, 7, 181229–181241. [Google Scholar] [CrossRef]
- Bhangu, B.S.; Bentley, P.; Stone, D.; Bingham, C. Nonlinear Observers for Predicting State-of-Charge and State-of-Health of Lead-Acid Batteries for Hybrid-Electric Vehicles. IEEE Trans. Veh. Technol. 2005, 54, 783–794. [Google Scholar] [CrossRef] [Green Version]
- Li, R.; Xu, S.; Li, S.; Zhou, Y.; Zhou, K.; Liu, X.; Yao, J. State of Charge Prediction Algorithm of Lithium-Ion Battery Based on PSO-SVR Cross Validation. IEEE Access 2020, 8, 10234–10242. [Google Scholar] [CrossRef]
- Sidorov, D.; Tynda, A.; Muftahov, I.; Dreglea, A.; Liu, F. Nonlinear Systems of Volterra Equations with Piecewise Smooth Kernels: Numerical Solution and Application for Power Systems Operation. Mathematics 2020, 8, 1257. [Google Scholar] [CrossRef]
- Greff, K.; Srivastava, R.K.; Koutník, J.; Steunebrink, B.R.; Schmidhuber, J. LSTM: A Search Space Odyssey. IEEE Trans. Neural Netw. Learn. Syst. 2016, 28, 2222–2232. [Google Scholar] [CrossRef] [PubMed] [Green Version]
- Park, K.; Choi, Y.; Choi, W.J.; Ryu, H.-Y.; Kim, H. LSTM-Based Battery Remaining Useful Life Prediction with Multi-Channel Charging Profiles. IEEE Access 2020, 8, 20786–20798. [Google Scholar] [CrossRef]
- Shomron, G.; Weiser, U. Spatial Correlation and Value Prediction in Convolutional Neural Networks. IEEE Comput. Arch. Lett. 2019, 18, 10–13. [Google Scholar] [CrossRef] [Green Version]
- Sun, Y.; Xue, B.; Zhang, M.; Yen, G.G.; Lv, J. Automatically Designing CNN Architectures Using the Genetic Algorithm for Image Classification. IEEE Trans. Cybern. 2020, 50, 3840–3854. [Google Scholar] [CrossRef] [Green Version]
- Liu, C.; Tan, J.; Shi, H.; Wang, X. Lithium-Ion Cell Screening with Convolutional Neural Networks Based on Two-Step Time-Series Clustering and Hybrid Resampling for Imbalanced Data. IEEE Access 2018, 6, 59001–59014. [Google Scholar] [CrossRef]
- Li, W.; Liu, H.; Wang, Y.; Li, Z.; Jia, Y.; Gui, G. Deep Learning-Based Classification Methods for Remote Sensing Images in Urban Built-Up Areas. IEEE Access 2019, 7, 36274–36284. [Google Scholar] [CrossRef]
- Zheng, Q.; Fang, J.; Hu, Z.; Zhang, H. Aero-Engine On-Board Model Based on Batch Normalize Deep Neural Network. IEEE Access 2019, 7, 54855–54862. [Google Scholar] [CrossRef]
- Alhussein, M.; Aurangzeb, K.; Haider, S.I. Hybrid CNN-LSTM Model for Short-Term Individual Household Load Forecasting. IEEE Access 2020, 8, 180544–180557. [Google Scholar] [CrossRef]
- Saha, B.; Goebel, K. Battery Data Set, NASA Ames Prognostics Data Repository; NASA Ames Research Center: Moffett Field, CA, USA, 2007. Available online: http://ti.arc.nasa.gov/project/prognostic-data-repository (accessed on 1 December 2021).
- Louli, A.; Ellis, L.; Dahn, J. Operando Pressure Measurements Reveal Solid Electrolyte Interphase Growth to Rank Li-Ion Cell Performance. Joule 2019, 3, 745–761. [Google Scholar] [CrossRef] [Green Version]
- Maire, P.; Kaiser, H.; Scheifele, W.; Novák, P. Colorimetric determination of lithium-ion mobility in graphite composite electrodes. J. Electroanal. Chem. 2010, 644, 127–131. [Google Scholar] [CrossRef]
- DuBeshter, T.; Jorne, J. Pulse Polarization for Li-Ion Battery under Constant State of Charge: Part I. Pulse Discharge Experiments. J. Electrochem. Soc. 2017, 164, E3539–E3546. [Google Scholar] [CrossRef]















| Constant Current (A) | Upper Voltage Limit (V) | Cut-Off Current (mA) | Total Data Amount | |
|---|---|---|---|---|
| #29 | 1.5 | 4.2 | 20 | 104,136 |
| #30 | 1.5 | 4.2 | 20 | 104,136 |
| #31 | 1.5 | 4.2 | 20 | 104,136 |
| #32 | 1.5 | 4.2 | 20 | 104,136 |
| Errors | MSE | MAPE | Used Data Rate | Training Time | |
|---|---|---|---|---|---|
| Data | |||||
| 40 × 80 | 2.41 × 10−4 | 1.28% | 100.00% | 1 min 38 s | |
| First columns | 40 × 2 | 5.10 × 10−4 | 1.87% | 2.50% | 6 s |
| 40 × 4 | 2.46 × 10−4 | 1.36% | 5.00% | 4 s | |
| 40 × 6 | 2.41 × 10−4 | 1.33% | 7.50% | 7 s | |
| 40× 8 | 2.50 × 10−4 | 1.34% | 10.00% | 24 s | |
| PC | 40 × 8 | 3.20 × 10−4 | 1.54% | 10.00% | 5 s |
| 40 × 20 | 5.02 × 10−4 | 2.01% | 25.00% | 60 s | |
| Fusion data | 40 × 4 | 2.39 × 10−4 | 0.89% | 5.00% | 4 s |
| Constant Current (mA) | Upper Voltage Limit | Cut-off Current (mA) | Total Data Amount | |
|---|---|---|---|---|
| Battery #1 | 20 | 4.2 | 2 | 1,238,394 |
| Battery #2 | 20 | 4.2 | 2 | 1,094,865 |
| Battery #3 | 20 | 4.2 | 2 | 1,230,828 |
| Battery #4 | 20 | 4.2 | 2 | 1,071,722 |
| Errors | MSE | MAPE | Used Data Rate | Training Time | |
|---|---|---|---|---|---|
| Data Type | |||||
| Original | 30 × 60 | 2.14 × 10−4 | 1.20% | 100.00% | 2891 s |
| First columns | 30 × 2 | 4.40 × 10−4 | 1.75% | 3.30% | 295 s |
| 30 × 4 | 2.36 × 10−4 | 1.28% | 6.70% | 203 s | |
| PC | 30 × 4 | 3.39 × 10−4 | 1.47% | 6.70% | 98 s |
| 30 × 14 | 5.35 × 10−4 | 1.69% | 22.10% | 68 s | |
| Fusion data | 30 × 4 | 2.09 × 10−4 | 0.96% | 6.70% | 96 s |
Publisher’s Note: MDPI stays neutral with regard to jurisdictional claims in published maps and institutional affiliations. |
© 2022 by the authors. Licensee MDPI, Basel, Switzerland. This article is an open access article distributed under the terms and conditions of the Creative Commons Attribution (CC BY) license (https://creativecommons.org/licenses/by/4.0/).
Share and Cite
Liu, T.; Zhao, J.; Xiang, C.; Cheng, S. Research on Minimization of Data Set for State of Charge Prediction. Sensors 2022, 22, 1101. https://doi.org/10.3390/s22031101
Liu T, Zhao J, Xiang C, Cheng S. Research on Minimization of Data Set for State of Charge Prediction. Sensors. 2022; 22(3):1101. https://doi.org/10.3390/s22031101
Chicago/Turabian StyleLiu, Tun, Jundong Zhao, Chaoqun Xiang, and Shu Cheng. 2022. "Research on Minimization of Data Set for State of Charge Prediction" Sensors 22, no. 3: 1101. https://doi.org/10.3390/s22031101
APA StyleLiu, T., Zhao, J., Xiang, C., & Cheng, S. (2022). Research on Minimization of Data Set for State of Charge Prediction. Sensors, 22(3), 1101. https://doi.org/10.3390/s22031101
