Characterization of a Vision-Based Tool for the Investigation of Geometric Characteristics of Ground-Deposited Volcanic Ash
Abstract
1. Introduction
1.1. The Analysis of the State of the Art
1.2. Summary of the Proposed Approach
- −
- the improvement of the vision system performance, also by using a high-resolution camera which is better able to meet the requirements of ash granulometry investigations;
- −
- a new experimental setup, including an acquisition chamber and a lighting system, which improve the working conditions, notably by illuminating the viewing plane;
- −
- new features implemented in the algorithm in order to cope with needs which emerged during the development, debugging and real-time operations;
- −
- a deep characterization of the system with respect to different particle shapes and a different set of particle characteristics, comprising perimeter, area, long axis and short axis;
- −
- a robustness analysis of particle dimensions, position in the view plane and orientation.
- −
- It uses a low-cost embedded vision system for the analysis of volcanic ash, with particular regard to estimates of the dimensions of ash particles. This aspect is of fundamental importance, given the need to monitor large areas of territory which may potentially be affected by ash falls.
- −
- −
- as a consequence of the previous outcomes, the ability to provide experts with information on the fallout of volcanic ash with high spatial resolution and in real time; this is a strategic requirement for reliable forecasts of the effects of ash fallout and to take appropriate countermeasures.
2. The Developed Vision Embedded System
- −
- a framed area larger than 10.0 cm by 8.0 cm;
- −
- considering that the volcanic ash size of interest covers a particle range of 200 to 4000 µm, and supposing that the smallest dimension of the particle image needs be digitized with 5 pixels (for reliable recognition), the required resolution for the vision system should be better than 40.0 μm.
- −
- accuracy (in the 3σ level) regarding the system resolution in case of the smallest particles and better than 5% in case of larger ash grains.
2.1. Image Processing Algorithm
2.2. Experimental Setup
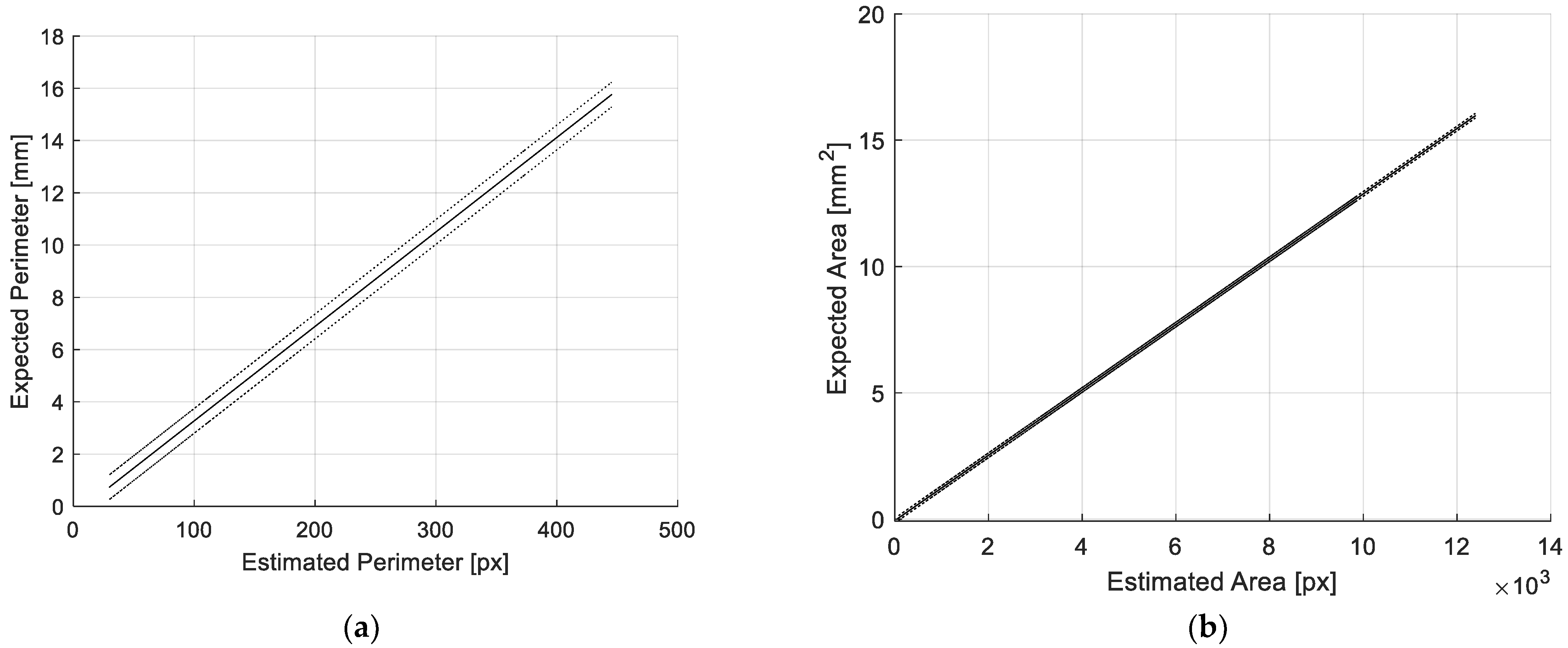
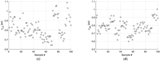
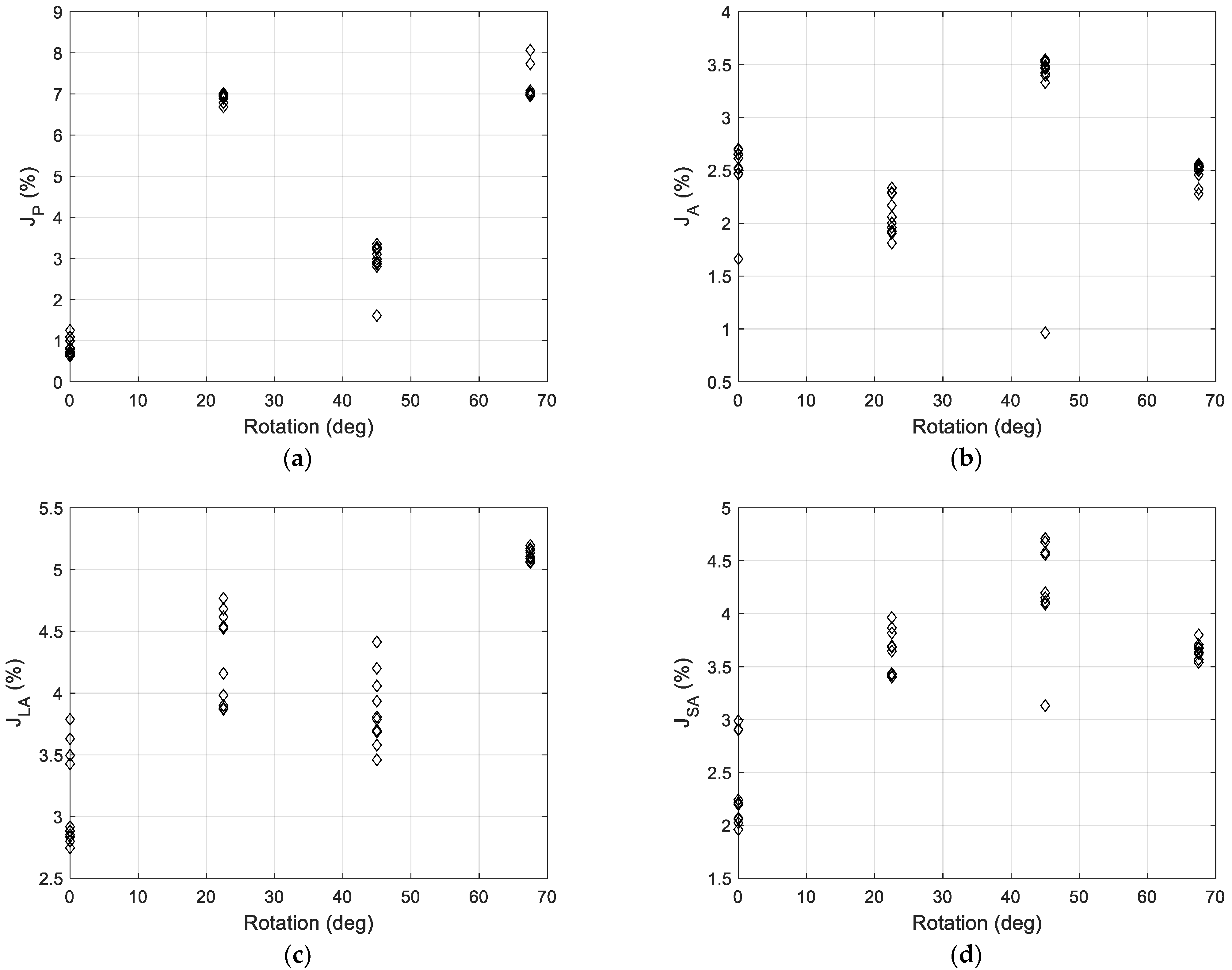
3. Experimental Characterization
- −
- for each image, ten sequential acquisitions are performed, each time removing and repositioning the image inside the vision chamber.
- −
- A MATLAB script has been developed to process data generated by the vision system. In particular, for each image, the tool calculates the mean value, , and standard deviation, σi, of each geometric parameter, estimated through the 100 particles in the image (i assuming different suffixes for the geometric quantities of P, A, LA, SA). The values given by the tool are in pixels.
- −
- The above estimations have been used to build a calibration diagram and to perform analyses of both the repeatability and robustness to particle position in the framed area.
4. Test with Real Ash Samples
- −
- G1: 0.2–1.0 mm;
- −
- G2: 1.0–4.0 mm.
5. Conclusions
Author Contributions
Funding
Informed Consent Statement
Data Availability Statement
Conflicts of Interest
References
- Volcanic Ash Contingency Plan—European and North Atlantic Regions (EUR/NAT VACP, EUR Doc 019, NAT Doc 006 Part II)—2.0.1 Corrigendum (June 2021). Available online: https://www.icao.int/EURNAT/EUR%20and%20NAT%20Documents/EUR+NAT%20VACP%20v2.0.1-Corrigendum.pdf (accessed on 1 December 2022).
- Guffanti, M.; Casadevall, T.J.; Buddingm, K. Encounters of Aircraft with Volcanic Ash Clouds; A Compilation of Known Incidents, 1953–2009: U.S. Geological Survey Data Series 545, ver. 1.0, 2010; 12 p. Available online: https://pubs.usgs.gov/ds/545/ (accessed on 1 December 2022).
- International Civil Aviation Organization (ICAO). Doc 9691, Manual on Volcanic Ash, Radioactive Material and Toxic Chemical Clouds, 3rd ed.; ICAO: Montréal, QC, Canada, 2015; ISBN 978-92-9249-730-9. [Google Scholar]
- Guffanti, M.; Mayberry, G.C.; Casadevall, T.J.; Wunderman, R. Compilation of Disruptions to Airports from Volcanic Activity (Version 1.0, 1944–2006): U.S. Geological Survey Open-File Report U.S. Geological Survey Open-File Report 2007–1256. 2008; 26 p. Available online: https://pubs.usgs.gov/of/2007/1256/ (accessed on 1 December 2022).
- Guffanti, M.; Mayberry, G.C.; Casadevall, T.J.; Wunderman, R. Volcanic hazards to airports. Nat. Hazards 2009, 51, 287–302. [Google Scholar] [CrossRef]
- McCrady, M.; Trudel, S.; Gauthier, J.P.; Servranckx, R. The Montreal VAAC toolbox—When every second counts. In Proceedings of the 2nd International Conference on Volcanic Ash and Aviation Safety, NOAA Office of the Federal Coordinator for Meteorology, Alexandria, Egypt, 21–24 June 2004; p. 4/53. [Google Scholar]
- Stunder, B.J.B.; Heffter, J.L. Volcanic ash dispersion modeling research at NOAA Air Resources Laboratory. In Proceedings of the 2nd International Conference on Volcanic Ash and Aviation Safety, NOAA Office of the Federal Coordinator for Meteorology, Alexandria, Egypt, 21–24 June 2004; pp. 105–110. [Google Scholar]
- Watkin, S.; Karlsdottir, S.; Gait, N.; Ryall, D.; Watkin, H. Volcanic ash monitoring and forecasting at the London VAAC. In Proceedings of the 2nd International Conference on Volcanic Ash and Aviation Safety, NOAA Office of the Federal Coordinator for Meteorology, Alexandria, Egypt, 21–24 June 2004; pp. 65–69. [Google Scholar]
- Papp, K.; Dean, K.; Dehn, J. Predicting regions susceptible to high concentrations of airborne volcanic ash in the North Pacific region. J. Volcanol. Geotherm. Res. 2005, 148, 295–314. [Google Scholar] [CrossRef]
- Guffanti, M.; White, R.; Ewert, J.; Lockhart, A.; Koyanagi, S. Practical ash-hazard information for the aviation sector: Examples from the 2003–2005 eruptive activity of Anatahan, Northern Mariana Islands. In Proceedings of the Fourth Conference Cities on Volcanoes, International Association of Volcanology and Chemistry of the Earth’s Interior, Quito, Ecuador, 23–27 January 2006; p. 23. [Google Scholar]
- Ewert, J.W.; Griswold, J.; Wardwell, R.S.; Bohlander, A. Communicating Potential Ash-Fall Hazards with Scenario Maps at Mount St. Helens; Fall Meeting 2006, Abstract ID. V33B-0657; American Geophysical Union: Washington, DC, USA, 2006. [Google Scholar]
- Coltelli, M. Etna explosive eruptions and the INGV response to improve an ash-cloud monitoring system. In Proceedings of the Fourth Conference Cities on Volcanoes, International Association of Volcanology and Chemistry of the Earth’s Interior, Quito, Ecuador, 23–27 January 2006; p. 19. [Google Scholar]
- Beckett, F.M.; Witham, C.S.; Hort, M.C.; Stevenson, J.A.; Bonadonna, C.; Millington, S.C. Sensitivity of dispersion model forecasts of volcanic ash clouds to the physical characteristics of the particles. J. Geophys. Res. Atmos. 2015, 120, 11636–11652. [Google Scholar] [CrossRef]
- Folch, A.; Sulpizio, R. Evaluating long-range volcanic ash hazard using supercomputing facilities: Application to Somma-Vesuvius (Italy), and consequences for civil aviation over the Central Mediterranean Area. Bull. Volcanol. 2010, 72, 1039–1059. [Google Scholar] [CrossRef]
- Bear-Crozier, A.N.; Kartadinata, N.; Heriwaseso, A.; Nielsen, O. Evaluating a volcanic ash ground-loading hazard at Gunung Ciremai, West Java, Indonesia using PF3D. Geol. Soc. Lond. Spec. Publ. 2017, 441, 189–198. [Google Scholar] [CrossRef]
- Capponi, A.; Lane, S.J.; Gilbert, J.S.; Macfarlane, D.G.; Robertson, D.A.; James, M.R. A novel experimental chamber for the characterization of free-falling particles in volcanic plumes. Rev. Sci. Instrum. 2022, 93, 075105. [Google Scholar] [CrossRef]
- Onodera, S.; Kamo, K. Aviation safety measures for ash clouds in Japan and the system of Japan Air Lines for monitoring eruptions at Sakurajima volcano. In Proceedings of the Volcanic Ash and Aviation Safety: Proceedings of the First International Symposium on Volcanic Ash and Aviation Safety, Seattle, WA, USA, 8–12 July 1991; U.S. Geological Survey Byllettin, no. 2047. 1994; pp. 213–219. [Google Scholar]
- Prata, A.J. Observations of volcanic ash clouds in the 10–12 μm 756 window using AVHRR/2 data. Int. J. Remote Sens. 1989, 10, 751–761. [Google Scholar] [CrossRef]
- Wen, S.; Rose, W.I. Retrieval of sizes and total masses of particles in 821 volcanic clouds using AVHRR bands 4 and 5. J. Geophys. Res. 1994, 99, 5421–5431. [Google Scholar] [CrossRef]
- Ellrod, G.P.; Connell, B.H.; Hillger, D.W. Improved detection of airborne volcanic ash using multi-spectral infrared satellite data. J. Geophys. Res. 2003, 108, 4356. [Google Scholar] [CrossRef]
- Bonfiglio, A.; Macchiato, M.; Pergola, N.; Pietrapertosa, C.; Tramutoli, V. AVHRR automated detection of volcanic clouds. Int. J. Remote Sens. 2005, 26, 9–27. [Google Scholar] [CrossRef]
- Pergola, N.; Tramutoli, V.; Marchese, F.; Scaffidi, I.; Lacava, T. Marchese, Improving volcanic ash clouds detection by a robust satellite technique. Remote Sens. Environ. 2004, 90, 1–22. [Google Scholar] [CrossRef]
- Filizzola, C.; Lacava, T.; Marchese, F.; Pergola, N.; Scaffidi, I.; Tramutoli, V. Assessing RAT (Robust AVHRR Technique) performances for volcanic ash cloud detection and monitoring in near real-time: The 2002 eruption of Mt. Etna (Italy). Remote Sens. Environ. 2007, 107, 440–454. [Google Scholar] [CrossRef]
- Pavolonis, M.; Feltz, W.F.; Heidinger, A.; Gallina, G.M. A daytime complement to the reverse absorption technique for improved automated detection of volcanic ash. J. Atmos. Ocean. Technol. 2006, 23, 1422–1444. [Google Scholar] [CrossRef]
- Rose, W.I.; Bluth, G.; Ernst, G.G.J. Integrating retrievals of volcanic cloud characteristics from satellite remote sensors—A summary. Philos. Trans. Roy. Soc. Lond. A 2000, 358, 1585–1606. [Google Scholar] [CrossRef]
- Hillger, W.; Clark, J.D. Principal component image analysis of MODIS for volcanic ash. Part I: Most important bands and implications for future GOES imagers. J. Appl. Meteorol. 2002, 41, 985–1001. [Google Scholar] [CrossRef]
- Yu, T.; Prata, A.J.; Rose, W.I. Atmospheric correction for satellite based volcanic ash mapping and retrievals using ‘split-window’ IR data from GOES and AVHRR. J. Geophys. Res. 2002, 107, 4311. [Google Scholar] [CrossRef]
- Oppenheimer, C. Volcanological applications of meteorological satellites. Int. J. Remote Sens. 1998, 19, 2829–2864. [Google Scholar] [CrossRef]
- National Oceanic and Atmospheric Administration (NOAA), Comprehensive Large Array-Data Stewardship System (CLASS), Advanced Very High-Resolution Radiometer (AVHRR). Available online: https://www.avl.class.noaa.gov/release/data_available/avhrr/index.htm (accessed on 1 December 2022).
- Harris, D.M.; Rose, W.I. Estimating particle sizes concentrations and total mass of ash in volcanic clouds using weather radar. J. Geophys. Res. 1983, 88, 10969–10983. [Google Scholar] [CrossRef]
- Lacasse, C.; Karlsdóttir, S.; Larsen, G.; Soosalu, H.; Rose, W.I.; Ernst, G.G.J. Weather radar observations of the Hekla 2000 eruption cloud Iceland. Bull. Volcanol. 2004, 66, 457–473. [Google Scholar] [CrossRef]
- Marzano, F.S.; Barbieri, S.; Vulpiani, G.; Rose, W.I. Volcanic ash cloud retrieval by ground-based microwave weather radar. IEEE Trans. Geosci. Remote Sens. 2006, 44, 3235–3246. [Google Scholar] [CrossRef]
- Hort, M.; Seyfried, R. Volcanic eruption velocities measured with a micro radar. Geophys. Res. Lett. 1998, 25, 113–116. [Google Scholar] [CrossRef]
- Hort, M.; Seyfried, R.; Vöge, M. Radar Doppler velocimetry of volcanic eruptions: Theoretical considerations and quantitative documentation of changes in eruptive behaviour at Stromboli volcano Italy. Geophys. J. Int. 2003, 154, 515–532. [Google Scholar] [CrossRef]
- Gouhier, M.; Donnadieu, F. Mass estimations of ejecta from Strombolian explosions by inversion of Doppler radar measurements. J. Geophys. Res. 2008, 113, B10202–B10219. [Google Scholar] [CrossRef]
- Gouhier, M.; Donnadieu, F. The geometry of Strombolian explosions: Insights from Doppler radar measurements. Geophys. J. Int. 2003, 154, 515–532. [Google Scholar] [CrossRef][Green Version]
- Marzano, F.S.; Picciotti, E.; Vulpiani, G.; Montopoli, M. Synthetic Signatures of Volcanic Ash Cloud Particles From X-Band Dual-Polarization Radar. IEEE Trans. Geosci. Remote Sens. 2012, 50, 193–211. [Google Scholar] [CrossRef]
- Andò, B.; Pecora, E. An advanced video-based system for monitoring active volcanoes. Comput. Geosci. 2006, 32, 85–91. [Google Scholar] [CrossRef]
- Horiba Partica LA-960V2. Available online: https://www.horiba.com/en_en/products/detail/action/show/Product/particala-960v2-1944/ (accessed on 1 December 2022).
- Andò, B.; Baglio, S.; Marletta, V.; Medico, S. A smart multisensor system for volcanic ash fall-out monitoring. Sens. Actuators A Phys. 2013, 202, 13–22. [Google Scholar] [CrossRef]
- Andò, B.; Baglio, S.; Marletta, V. Selective Measurement of Volcanic Ash Flow-Rate. IEEE Trans. Instrum. Meas. 2014, 63, 1356–1363. [Google Scholar] [CrossRef]
- Andò, B.; Baglio, S.; Castorina, S.; Marletta, V. A Vision-Based Approach for the Analysis of Core Characteristics of Volcanic Ash. Sensors 2021, 21, 7180. [Google Scholar] [CrossRef]
- Ando, B.; Baglio, S.; Castorina, S.; Graziani, S.; Claudio, L.; Marletta, V.; Trigona, C. An Embedded Vision Tool for Volcanic Ash Analysis. In Proceedings of the 2021 IEEE Sensors Applications Symposium (SAS), Sundsvall, Sweden, 23–25 August 2021; pp. 1–5. [Google Scholar] [CrossRef]
- Raspberry Pi Camera Module. Available online: https://www.raspberrypi.org/documentation/hardware/camera/ (accessed on 1 December 2022).
- OpenCV. Available online: https://opencv.org/ (accessed on 1 December 2022).
- Raspberry Pi, «Picamera hq,». Available online: https://www.raspberrypi.com/products/raspberry-pi-high-quality-camera/ (accessed on 1 December 2022).
- CGL. «CGL SC0123 Lens» [Online]. Available online: https://docs.rs-online.com/373d/A700000006829419.pdf (accessed on 1 December 2022).














| Pi | ki (px/mm) | Ui | Ri |
|---|---|---|---|
| Perimeter | 27.67 | 47.3·10−2 mm | 87.3·10−3 mm |
| Area | 27.81 * | 9.3·10−2 mm | 68.9·10−3 mm |
| Long Axis | 27.36 | 38.2·10−3 mm | 29.7·10−3 mm |
| Short Axis | 27.26 | 40.2·10−3 mm | 28.6·10−3 mm |
Publisher’s Note: MDPI stays neutral with regard to jurisdictional claims in published maps and institutional affiliations. |
© 2022 by the authors. Licensee MDPI, Basel, Switzerland. This article is an open access article distributed under the terms and conditions of the Creative Commons Attribution (CC BY) license (https://creativecommons.org/licenses/by/4.0/).
Share and Cite
Andò, B.; Baglio, S.; Castorina, S.; Campisi, A. Characterization of a Vision-Based Tool for the Investigation of Geometric Characteristics of Ground-Deposited Volcanic Ash. Sensors 2022, 22, 9616. https://doi.org/10.3390/s22249616
Andò B, Baglio S, Castorina S, Campisi A. Characterization of a Vision-Based Tool for the Investigation of Geometric Characteristics of Ground-Deposited Volcanic Ash. Sensors. 2022; 22(24):9616. https://doi.org/10.3390/s22249616
Chicago/Turabian StyleAndò, Bruno, Salvatore Baglio, Salvatore Castorina, and Alberto Campisi. 2022. "Characterization of a Vision-Based Tool for the Investigation of Geometric Characteristics of Ground-Deposited Volcanic Ash" Sensors 22, no. 24: 9616. https://doi.org/10.3390/s22249616
APA StyleAndò, B., Baglio, S., Castorina, S., & Campisi, A. (2022). Characterization of a Vision-Based Tool for the Investigation of Geometric Characteristics of Ground-Deposited Volcanic Ash. Sensors, 22(24), 9616. https://doi.org/10.3390/s22249616

