A Learning-Based Vehicle-Cloud Collaboration Approach for Joint Estimation of State-of-Energy and State-of-Health
Abstract
1. Introduction
1.1. Review of SOE Estimation Methods
1.2. Review of SOH Estimation Methods
1.3. Key Contributions
- A vehicle-cloud collaboration model is developed to estimate battery state online.
- A joint estimation of battery SOE and SOH based on deep learning is proposed.
- SOH is the feedback of SOE estimates for higher accuracy.
- Macro and micro dimensions of time are used to analyze SOH and SOE.
1.4. Paper Organization
2. Vehicle-Cloud Collaboration
- The cloud platform can store a large amount of battery history data.
- When the EVs are driving in the networked road environment, they can obtain the networked information in real-time.
- The communication problem of vehicle–cloud collaboration approach is not considered.
2.1. Power Battery Modeling
2.1.1. ECM
2.1.2. Parameter Identification
2.2. Neural Network for SOE and SOH Estimation
2.2.1. Recurrent Neural Network
2.2.2. Long Short-Term Memory
2.2.3. Bi-Directional Long Short-Term Memory
2.2.4. Convolutional Neural Network
2.2.5. Bayesian Optimization
2.2.6. Joint Estimation for SOE and SOH
3. Datasets and Methodology for Battery Estimation
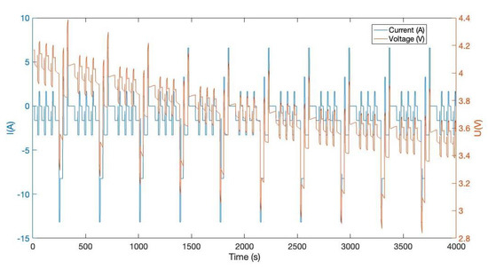
3.1. Description of Datasets
3.2. Methodology
4. Tests and Results
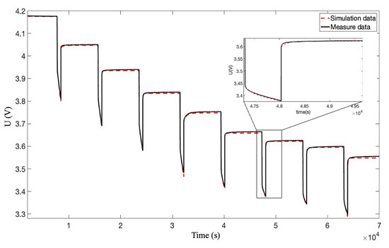
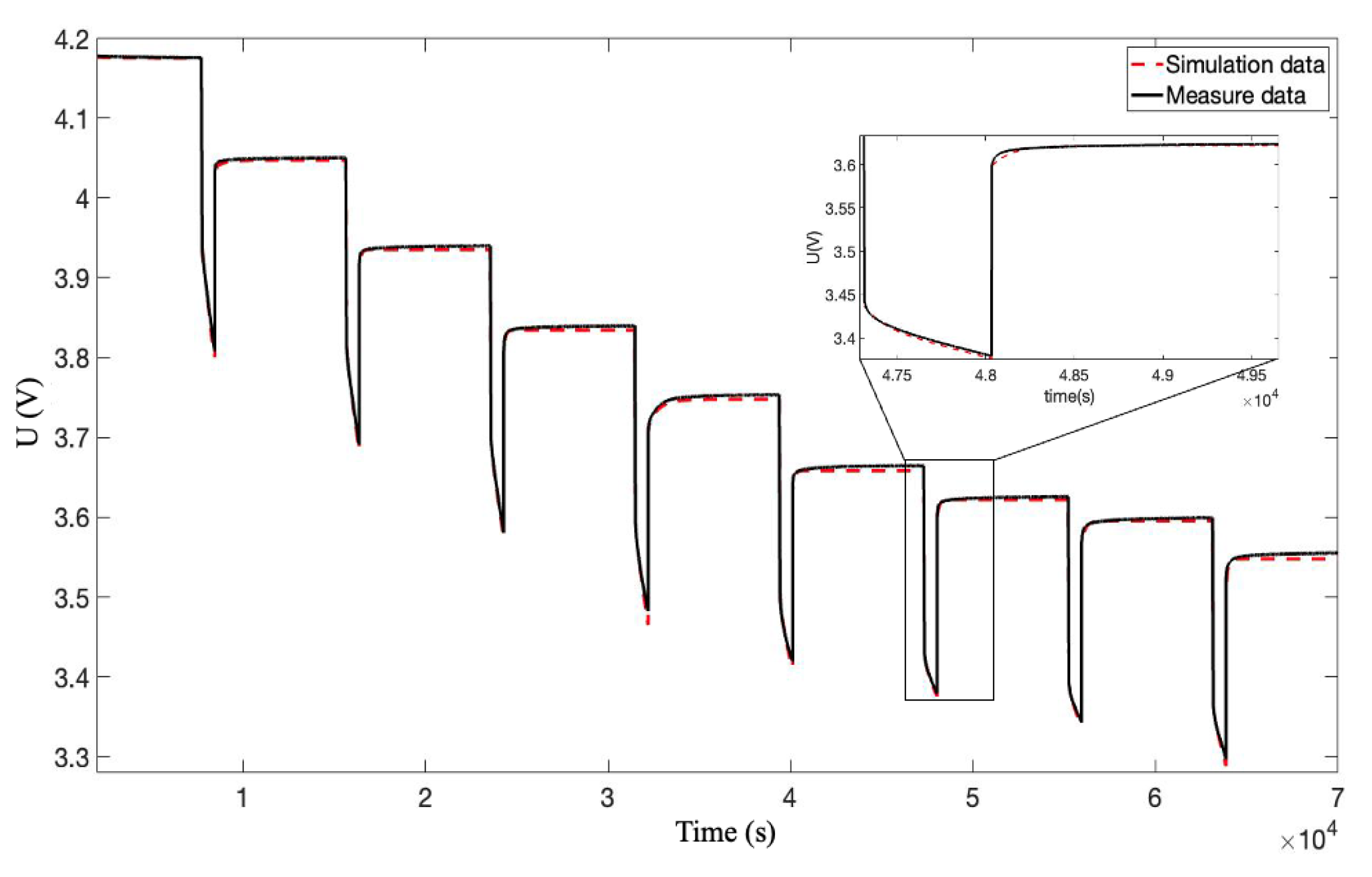
4.1. SOH Estimation Results and Discussion
4.2. SOE Estimation Results and Discussion
4.3. Comparation
5. Conclusions
Author Contributions
Funding
Institutional Review Board Statement
Informed Consent Statement
Data Availability Statement
Conflicts of Interest
References
- Choi, H.S.; Choi, J.W.; Whangbo, T.K. Design and Development of a Battery State of Health Estimation Model for Efficient Battery Monitoring Systems. Sensors 2022, 22, 4444. [Google Scholar] [CrossRef] [PubMed]
- Yang, D.; Karimi, H.R.; Gelman, L. A Fuzzy Fusion Rotating Machinery Fault Diagnosis Framework Based on the Enhancement Deep Convolutional Neural Networks. Sensors 2022, 22, 671. [Google Scholar] [CrossRef] [PubMed]
- Huang, C.; Coskun, S.; Wang, J.; Mei, P.; Shi, Q. Robust H∞ Dynamic Output-Feedback Control for CACC With ROSSs Subject to RODAs. IEEE Trans. Veh. Technol. 2021, 71, 137–147. [Google Scholar] [CrossRef]
- Mei, P.; Karimi, H.R.; Yang, S.; Xu, B.; Huang, C. An adaptive fuzzy sliding-mode control for regenerative braking system of electric vehicles. Int. J. Adapt. Control Signal Process. 2022, 36, 391–410. [Google Scholar] [CrossRef]
- Song, Y.; Liu, D.; Liao, H.; Peng, Y. A hybrid statistical data-driven method for on-line joint state estimation of lithium-ion batteries. Appl. Energy 2020, 261, 114408. [Google Scholar] [CrossRef]
- Ma, L.; Hu, C.; Cheng, F. State of charge and state of energy estimation for lithium-ion batteries based on a long short-term memory neural network. J. Energy Storage 2021, 37, 102440. [Google Scholar] [CrossRef]
- Li, J.; Adewuyi, K.; Lotfi, N.; Landers, R.G.; Park, J. A single particle model with chemical/mechanical degradation physics for lithium ion battery State of Health (SOH) estimation. Appl. Energy 2018, 212, 1178–1190. [Google Scholar] [CrossRef]
- He, H.; Zhang, Y.; Xiong, R.; Wang, C. A novel Gaussian model based battery state estimation approach: State-of-Energy. Appl. Energy 2015, 151, 41–48. [Google Scholar] [CrossRef]
- Hu, X.; Feng, F.; Liu, K.; Zhang, L.; Xie, J.; Liu, B. State estimation for advanced battery management: Key challenges and future trends. Renew. Sustain. Energy Rev. 2019, 114, 109334. [Google Scholar] [CrossRef]
- Barai, A.; Uddin, K.; Widanalage, W.D.; McGordon, A.; Jennings, P. The effect of average cycling current on total energy of lithium-ion batteries for electric vehicles. J. Power Sources 2016, 303, 81–85. [Google Scholar] [CrossRef]
- Wang, Y.; Tian, J.; Sun, Z.; Wang, L.; Xu, R.; Li, M.; Chen, Z. A comprehensive review of battery modeling and state estimation approaches for advanced battery management systems. Renew. Sustain. Energy Rev. 2020, 131, 110015. [Google Scholar]
- Li, W.; Fan, Y.; Ringbeck, F.; Jöst, D.; Han, X.; Ouyang, M.; Sauer, D.U. Electrochemical model-based state estimation for lithium-ion batteries with adaptive unscented Kalman filter. J. Power Sources 2020, 476, 228534. [Google Scholar] [CrossRef]
- Huang, C.; Karimi, H.R. Non-fragile H∞ control for LPV-based CACC systems subject to denial-of-service attacks. IET Control Theory Appl. 2021, 15, 1246–1256. [Google Scholar] [CrossRef]
- Shrivastava, P.; Soon, T.K.; Idris, M.Y.I.B.; Mekhilef, S.; Adnan, S.B.R.S. Combined state of charge and state of energy estimation of lithium-ion battery using dual forgetting factor-based adaptive extended Kalman filter for electric vehicle applications. IEEE Trans. Veh. Technol. 2021, 70, 1200–1215. [Google Scholar] [CrossRef]
- Lai, X.; Huang, Y.; Han, X.; Gu, H.; Zheng, Y. A novel method for state of energy estimation of lithium-ion batteries using particle filter and extended Kalman filter. J. Energy Storage 2021, 43, 103269. [Google Scholar] [CrossRef]
- Arulkumaran, K.; Deisenroth, M.P.; Brundage, M.; Bharath, A.A. Deep reinforcement learning: A brief survey. IEEE Signal Process. Mag. 2017, 34, 26–38. [Google Scholar] [CrossRef]
- Liu, X.; Wu, J.; Zhang, C.; Chen, Z. A method for state of energy estimation of lithium-ion batteries at dynamic currents and temperatures. J. Power Sources 2014, 270, 151–157. [Google Scholar] [CrossRef]
- Ku, Y.J.; Sapra, S.; Baidya, S.; Dey, S. State of energy prediction in renewable energy-driven mobile edge computing using CNN-LSTM networks. In Proceedings of the 2020 IEEE Green Energy and Smart Systems Conference (IGESSC), Long Beach, CA, USA, 2–3 November 2020; IEEE: Piscataway, NJ, USA, 2020; pp. 1–7. [Google Scholar]
- Sun, T.; Xu, Y.; Feng, L.; Xu, B.; Chen, D.; Zhang, F.; Han, X.; Zhao, L.; Zheng, Y. A vehicle-cloud collaboration strategy for remaining driving range estimation based on online traffic route information and future operation condition prediction. Energy 2022, 248, 123608. [Google Scholar] [CrossRef]
- Xiong, R.; Li, L.; Tian, J. Towards a smarter battery management system: A critical review on battery state of health monitoring methods. J. Power Sources 2018, 405, 18–29. [Google Scholar] [CrossRef]
- Zheng, L.; Zhu, J.; Lu, D.D.C.; Wang, G.; He, T. Incremental capacity analysis and differential voltage analysis based state of charge and capacity estimation for lithium-ion batteries. Energy 2018, 150, 759–769. [Google Scholar] [CrossRef]
- Guha, A.; Patra, A. State of health estimation of lithium-ion batteries using capacity fade and internal resistance growth models. IEEE Trans. Transp. Electrif. 2017, 4, 135–146. [Google Scholar] [CrossRef]
- Yan, W.; Zhang, B.; Zhao, G.; Tang, S.; Niu, G.; Wang, X. A battery management system with a Lebesgue-sampling-based extended Kalman filter. IEEE Trans. Ind. Electron. 2018, 66, 3227–3236. [Google Scholar] [CrossRef]
- Xu, W.; Wang, S.; Jiang, C.; Fernandez, C.; Yu, C.; Fan, Y.; Cao, W. A novel adaptive dual extended Kalman filtering algorithm for the Li-ion battery state of charge and state of health co-estimation. Int. J. Energy Res. 2021, 45, 14592–14602. [Google Scholar] [CrossRef]
- Vichard, L.; Ravey, A.; Venet, P.; Harel, F.; Pelissier, S.; Hissel, D. A method to estimate battery SOH indicators based on vehicle operating data only. Energy 2021, 225, 120235. [Google Scholar] [CrossRef]
- Kaur, K.; Garg, A.; Cui, X.; Singh, S.; Panigrahi, B.K. Deep learning networks for capacity estimation for monitoring SOH of Li-ion batteries for electric vehicles. Int. J. Energy Res. 2021, 45, 3113–3128. [Google Scholar] [CrossRef]
- Fan, Y.; Xiao, F.; Li, C.; Yang, G.; Tang, X. A novel deep learning framework for state of health estimation of lithium-ion battery. J. Energy Storage 2020, 32, 101741. [Google Scholar] [CrossRef]
- Wang, Y.; Yang, D.; Zhang, X.; Chen, Z. Probability based remaining capacity estimation using data-driven and neural network model. J. Power Sources 2016, 315, 199–208. [Google Scholar] [CrossRef]
- Nejad, S.; Gladwin, D.T.; Stone, D.A. A systematic review of lumped-parameter equivalent circuit models for real-time estimation of lithium-ion battery states. J. Power Sources 2016, 316, 183–196. [Google Scholar] [CrossRef]
- Li, Y.; Liu, K.; Foley, A.M.; Zülke, A.; Berecibar, M.; Nanini-Maury, E.; Van Mierlo, J.; Hoster, H.E. Data-driven health estimation and lifetime prediction of lithium-ion batteries: A review. Renew. Sustain. Energy Rev. 2019, 113, 109254. [Google Scholar] [CrossRef]
- Hua, Y.; Zhou, S.; Huang, Y.; Liu, X.; Ling, H.; Zhou, X.; Zhang, C.; Yang, S. Sustainable value chain of retired lithium-ion batteries for electric vehicles. J. Power Sources 2020, 478, 228753. [Google Scholar] [CrossRef]
- Saxena, A.; Celaya, J.R.; Roychoudhury, I.; Saha, S.; Saha, B.; Goebel, K. Designing data-driven battery prognostic approaches for variable loading profiles: Some lessons learned. In Proceedings of the European Conference of Prognostics and Health Management Society, Dresden, Germany, 3–5 July 2012; pp. 72–732. [Google Scholar]
- Zheng, F.; Xing, Y.; Jiang, J.; Sun, B.; Kim, J.; Pecht, M. Influence of different open circuit voltage tests on state of charge online estimation for lithium-ion batteries. Appl. Energy 2016, 183, 513–525. [Google Scholar] [CrossRef]
- Birkl, C. Oxford Battery Degradation Dataset 1; Oxford University Press: Oxford, UK, 2017. [Google Scholar]
- Yang, B.; Wang, Y.; Zhan, Y. Lithium Battery State-of-Charge Estimation Based on a Bayesian Optimization Bidirectional Long Short-Term Memory Neural Network. Energies 2022, 15, 4670. [Google Scholar] [CrossRef]
- Kim, T.Y.; Cho, S.B. Predicting residential energy consumption using CNN-LSTM neural networks. Energy 2019, 182, 72–81. [Google Scholar] [CrossRef]
- Saha, B.; Goebel, K. Battery Data Set; NASA AMES Prognostics Data Repository: Washington, DC, USA, 2007. [Google Scholar]
- Saha, B.; Goebel, K. Uncertainty management for diagnostics and prognostics of batteries using Bayesian techniques. In Proceedings of the 2008 IEEE Aerospace Conference, Big Sky, MT, USA, 1–8 March 2008; IEEE: Piscataway, NJ, USA, 2008; pp. 1–8. [Google Scholar]

























| Type | Nominal Voltage | Nominal Capacity | Upper/Lower Cut-Off Voltage |
|---|---|---|---|
| 18650 | 3.6 V | 2.54 Ah | 4.2 V/2.5 V |
| Battery Number | Temperature/°C | Rated Capacity/Ahr | Termination Voltage/V | Cycles |
|---|---|---|---|---|
| #5 | 24 | 2 | 2.7 | 168 |
| #6 | 24 | 2 | 2.5 | 168 |
| #7 | 24 | 2 | 2.2 | 168 |
| 24 | 2 | 2.5 | 132 |
| Hyperparameter | Value |
|---|---|
| Maximum epochs | 10 |
| Minimum batch size | 16 |
| Dropout value | 0.7 |
| Max itration number | 10 |
| Iter | Number of Layer | Number of Units | Initial Learn Rate | Regularization |
|---|---|---|---|---|
| 1 | 2 | 174 | 0.02042 | |
| 2 | 2 | 200 | 0.066371 | |
| 3 | 3 | 64 | 0.054394 | |
| 4 | 1 | 68 | 0.44111 | |
| 5 | 3 | 197 | 0.9156 | |
| 6 | 1 | 87 | 0.095566 | |
| 7 | 1 | 54 | 0.0322 | |
| 8 | 1 | 62 | 0.01005 | |
| 9 | 4 | 113 | 0.010022 | |
| 10 | 1 | 61 | 0.25309 |
| Type | Filter | Kernel Size | Stride | Value |
|---|---|---|---|---|
| Convolution | 32 | (10,1) | 1 | - |
| Activation (eLu) | - | - | - | - |
| Pooling | - | (10,1) | 2 | - |
| Convolution | 32 | (10,1) | 1 | - |
| Activation (eLu) | - | - | - | - |
| Pooling | - | (10,1) | 2 | - |
| Learning rate | - | - | - | 0.001 |
| Minimum Batch Size | - | - | - | 30 |
| Maximum Epochs | - | - | - | 60 |
| Learning rate drop factor | - | - | - | 0.8 |
| Gradient threshold | - | - | - | 1 |
| Method | B0005 | B0006 | B0007 | Battery Test |
|---|---|---|---|---|
| LSTM | 0.0246 | 0.0118 | 0.03721 | 0.0204 |
| CNN-LSTM | 0.0161 | 0.0102 | 0.0164 | 0.0110 |
Publisher’s Note: MDPI stays neutral with regard to jurisdictional claims in published maps and institutional affiliations. |
© 2022 by the authors. Licensee MDPI, Basel, Switzerland. This article is an open access article distributed under the terms and conditions of the Creative Commons Attribution (CC BY) license (https://creativecommons.org/licenses/by/4.0/).
Share and Cite
Mei, P.; Karimi, H.R.; Chen, F.; Yang, S.; Huang, C.; Qiu, S. A Learning-Based Vehicle-Cloud Collaboration Approach for Joint Estimation of State-of-Energy and State-of-Health. Sensors 2022, 22, 9474. https://doi.org/10.3390/s22239474
Mei P, Karimi HR, Chen F, Yang S, Huang C, Qiu S. A Learning-Based Vehicle-Cloud Collaboration Approach for Joint Estimation of State-of-Energy and State-of-Health. Sensors. 2022; 22(23):9474. https://doi.org/10.3390/s22239474
Chicago/Turabian StyleMei, Peng, Hamid Reza Karimi, Fei Chen, Shichun Yang, Cong Huang, and Song Qiu. 2022. "A Learning-Based Vehicle-Cloud Collaboration Approach for Joint Estimation of State-of-Energy and State-of-Health" Sensors 22, no. 23: 9474. https://doi.org/10.3390/s22239474
APA StyleMei, P., Karimi, H. R., Chen, F., Yang, S., Huang, C., & Qiu, S. (2022). A Learning-Based Vehicle-Cloud Collaboration Approach for Joint Estimation of State-of-Energy and State-of-Health. Sensors, 22(23), 9474. https://doi.org/10.3390/s22239474

