Concrete Multi-Type Defect Classification Algorithm Based on MSSMA-SVM
Abstract
1. Introduction
2. Theoretical Description and Algorithmic Steps
2.1. LDV Measurement Principle
2.2. Feature Extraction
- Nodal energy ratio variation rate;
- Nodal energy ratio;
- Wavelet packet singular entropy.
2.2.1. Nodal Energy Ratio Variation Rate
2.2.2. Nodal Energy Ratio
2.2.3. Wavelet Packet Singular Entropy and Pearson Correlation Coefficients
2.3. SVM Defect Classification Combined with Intelligent Optimization Algorithm
2.4. Mixed Strategy Slime Mold Algorithm (MSSMA)
2.4.1. Improved Population Initialization Strategy
2.4.2. Improved Population Individual Selection Strategy
2.4.3. Improved Location Updates Strategy
- Set the number of population individuals N and the maximum number of iterations tmax;
- Initialize the parent population location using Sobol sequence;
- Perform mutation and crossover operations on the parent population to generate offspring;
- Calculate the fitness of all individuals in parent and offspring populations, sort the fitness values of all individuals in parent and offspring populations in ascending order, and select the top N outstanding individuals;Update the weights W and linear decay factors ZMSSMA;
- Select the update equation to update the location of the population based on the conditional threshold;
- Update the parameters p, and .
- Determine whether the termination condition is satisfied, and output the optimal global solution of the search if the condition is satisfied. Otherwise, return to step 3 to continue the calculation.
2.5. The Flow of MSSMA-SVM Algorithm
- Wavelet packet decomposition is performed on the training samples, and the original signal is decomposed into sub-signals of different frequency bands. The features are extracted by the feature extraction method described in Section 2.2 as training samples;
- The training samples are input into the SVM model for training, and the learning parameters of the SVM are adjusted using the MSSMA algorithm during the training process;
- Feature extraction is performed on the test set by the same method, and the test samples are input to the trained SVM model for classification tests to obtain classification results.
3. Experimental Environment and Testing
3.1. Fabrication of Experimental Test Blocks
3.2. Experimental Environment and Test
4. Experimental Results and Analysis
4.1. Measurement Signal Analysis
4.2. Algorithm Performance Analysis
4.2.1. The Effect of Decomposition Layers
4.2.2. Impact of Features on Classification Performance
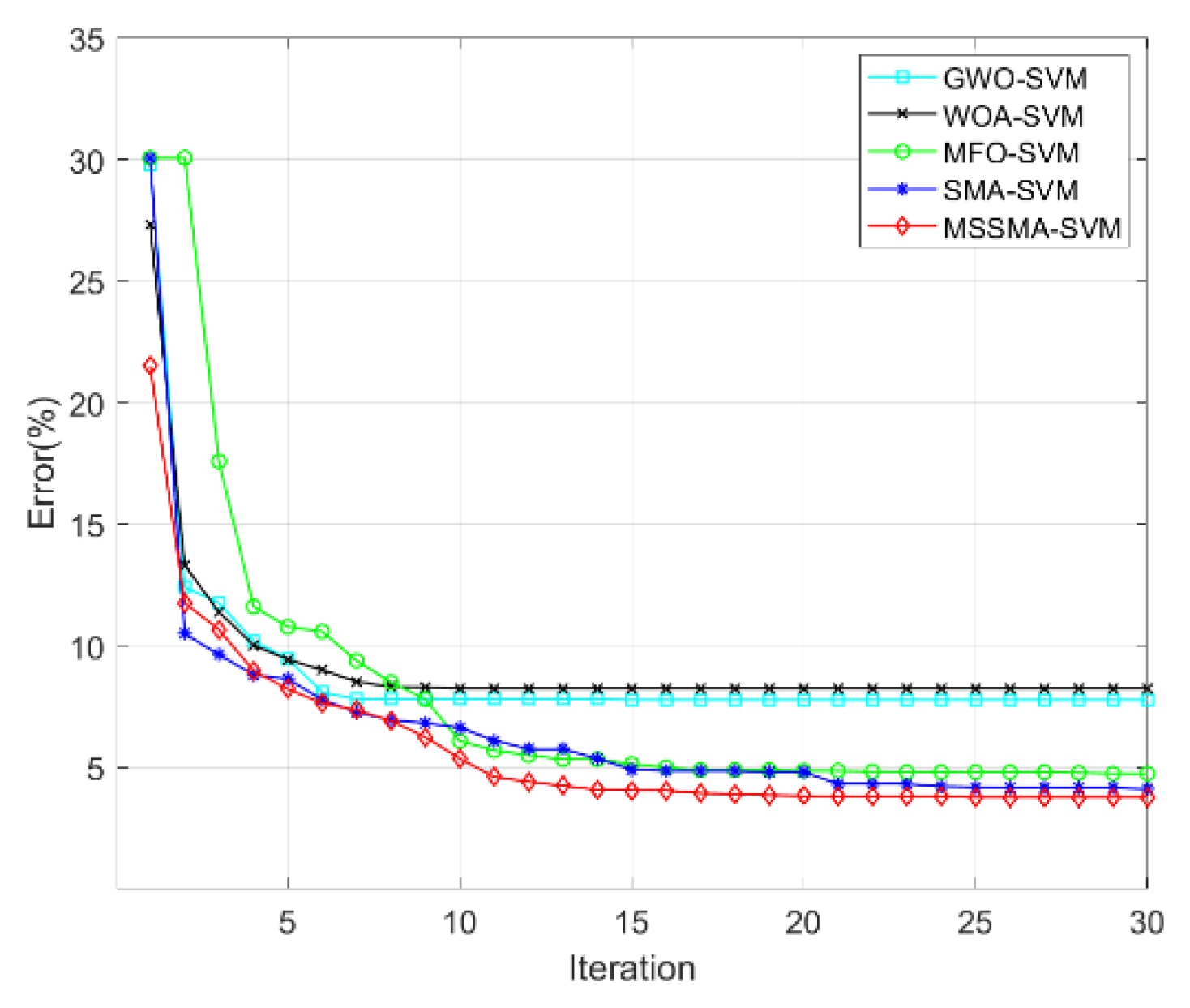
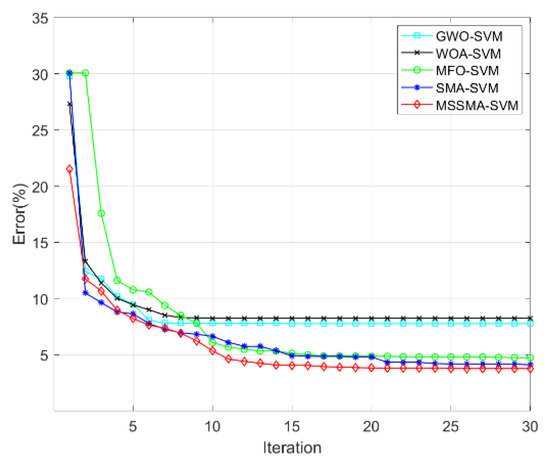
4.2.3. Performance Comparison of Similar Algorithms
4.2.4. Performance Comparison with Existing Algorithms
5. Conclusions
Author Contributions
Funding
Institutional Review Board Statement
Informed Consent Statement
Data Availability Statement
Conflicts of Interest
References
- Hu, S.F.; Zhao, Y.H.; Qin, T.; An, C.; Ge, S. Study on the leakage of the clay dam using Ground penetrating radar and Electromagnetic method. In Proceedings of the 2018 17th International Conference on Ground Penetrating Radar (GPR), Rapperswil, Switzerland, 18–21 June 2018. [Google Scholar]
- Le Bastard, C.; Pan, J.; Wang, Y.; Sun, M.; Todkar, S.S.; Baltazart, V.; Pinel, N.; Ihamouten, A.; Derobert, X.; Bourlier, C. A Linear Prediction and Support Vector Regression-Based Debonding Detection Method Using Step-Frequency Ground Penetrating Radar. IEEE Geosci. Remote Sens. Lett. 2018, 16, 367–371. [Google Scholar] [CrossRef]
- Zou, L.L.; Yi, L.; Sato, M. On the Use of Lateral Wave for the Interlayer Debonding Detec-ting in an Asphalt Airport Pavement Using a Multistatic GPR System. IEEE Trans. Geosci. Remote Sens. 2020, 58, 4215–4225. [Google Scholar] [CrossRef]
- Yin, J.; Lu, Y.; Gong, Z.; Jiang, Y.; Yao, J. Edge Detection of High-Voltage Porcelain Insulators in Infrared Image Using Dual Parity Morphological Gradients. IEEE Access 2019, 7, 32728–32734. [Google Scholar] [CrossRef]
- Yang, M. Defect detection method of automobile cylinder parts based on infrared nondestructive testing. Autom. Instrum. 2021, 8, 35–40. (In Chinese) [Google Scholar] [CrossRef]
- Qing, J.T.; Wei, M.F. Numerical Simulation of Linear Frequency Modulation Infrared Thermal Wave Detection for GFRP/Nomex Honeycomb Sandwich Structure. In Proceedings of the 2020 5th International Conference on Mechanical, Control and Computer Engineering (ICMCCE), Harbin, China, 25–27 December 2020. [Google Scholar]
- Demcenko, A.; Visser, H.A.; Akkerman, R. Ultrasonic measurements of undamaged concrete layer thickness in a deteriorated concrete structure. NDT E Int. 2016, 77, 63–72. [Google Scholar] [CrossRef]
- Meola, C.; Boccardi, S.; Carlomagno, G.M. Nondestructive Testing with Infrared Thermography. Infrared Thermogr. Eval. Aerosp. Compos. Mater. 2017, 34, 85–125. [Google Scholar] [CrossRef]
- Rhim, H.C.; Kim, D.Y.; Cho, C.S.; Kim, D.H. Effect of Steel Plates on Estimation of the Compressive Strength of Concrete via Ultrasonic Testing. Materials 2020, 13, 887. [Google Scholar] [CrossRef]
- Tarraf, J.; Mustapha, S.; Fakih, M.A.; Harb, M.; Wang, H.; Ayoub, G.; Hamade, R. Application of Ultrasonic Waves Towards the Inspection of Similar and Dissimilar Friction Stir Welded Joints. J. Mater. Process. Technol. 2018, 225, 570–583. [Google Scholar] [CrossRef]
- Zhang, G.; Zang, C.P.; Li, F.; Liu, C.H. Continuous scanning laser vibration test methodfor ODS of thin-walled cylindrical structure. J. Aerosp. Power. 2020, 35, 938–943. (In Chinese) [Google Scholar] [CrossRef]
- Liu, C.; Zang, C.; Zhou, B. Extension of continuous scanning laser Doppler vibrometry measurement for complex structures with curved surfaces. Chin. J. Aeronaut. 2020, 33, 3220–3227. (In Chinese) [Google Scholar] [CrossRef]
- Yasuda, N.; Misaki, N.; Shimada, Y.; Kotyaev, O. Applicability of non-contact inspection using laser ablation-induced vibration in a reinforced concrete tunnel lining. Tunn. Undergr. Space Technol. 2021, 113, 103977. [Google Scholar] [CrossRef]
- Yasuda, N.; Misaki, N.; Shimada, Y.; Yamaoka, D. Detection and characteristics estimation of defects in concrete structures using laser ablation-induced vibration. Tunn. Undergr. Space Technol. 2020, 103, 103460. [Google Scholar] [CrossRef]
- Sugimoto, K.; Sugimoto, T.; Utagawa, N.; Kuroda, C. Detection Effect of Resonance Frequency of Both Laser Doppler Vibrometer and Internal Defect of Concrete Structure by Spatial Spectral Entropy. In Proceedings of the 2018 IEEE International Ultrasonics Symposium (IUS), Kobe, Japan, 22–25 October 2018. [Google Scholar]
- Hoang, N.D.; Nguyen, Q.L. A Novel Approach for Automatic Detection of Concrete Surface Voids Using Image Texture Analysis and History-Based Adaptive Differential Evolution Optimized Support Vector Machine. Adv. Civ. Eng. 2020, 2020, 4190682. [Google Scholar] [CrossRef]
- Butcher, J.; Day, C.; Austin, J.; Haycock, P.; Verstraeten, D.; Schrauwen, B. Defect Detection in Reinforced Concrete Using Random Neural Architectures. Comput. Civ. Infrastruct. Eng. 2013, 29, 191–207. [Google Scholar] [CrossRef]
- Zhao, J.; Hu, T.; Zheng, R.; Ba, P.; Mei, C.; Zhang, Q. Defect Recognition in Concrete Ultrasonic Detection Based on Wavelet Packet Transform and Stochastic Configuration Networks. IEEE Access 2021, 9, 9284–9295. [Google Scholar] [CrossRef]
- Słoński, M.; Schabowicz, K.; Krawczyk, E. Detection of Flaws in Concrete Using Ultrasonic Tomography and Convolutional Neural Networks. Materials 2020, 13, 1557. [Google Scholar] [CrossRef]
- Hu, T.; Zhao, J.; Zheng, R.; Wang, P.; Li, X.; Zhang, Q. Ultrasonic based concrete defects identification via wavelet packet transform and GA-BP neural network. Peer. J. Comput. Sci. 2021, 7, e635. [Google Scholar] [CrossRef]
- Zhao, D.; Xu, Z.S. Concrete defect detection based on multi-resolution singular entropy. J. Syst. Simul. 2017, 29, 761–766. (In Chinese) [Google Scholar] [CrossRef]
- Chen, D.; Montano, V.; Huo, L.; Fan, S.; Song, G. Detection of subsurface voids in concrete-filled steel tubular (CFST) structure using percussion approach. Constr. Build. Mater. 2020, 262, 119761. [Google Scholar] [CrossRef]
- Ge, J.; Yang, C.; Wang, P.; Shi, Y. Defect classification based on wavelet packet energy through pulsed alternating current field measurement technique. Electron. Lett. 2020, 56, 1016–1019. [Google Scholar] [CrossRef]
- Yang, H.B.; Wang, H.Y.; Shen, X.H. Singularity spectrum method for detecting weak signals under chaotic background. Comput. Meas. Control 2012, 23, 101–104. (In Chinese) [Google Scholar] [CrossRef]
- Chittilappilly, A.J.; Subramaniam, K. SVM based defect detection for industrial applications. In Proceedings of the 2017 4th International Conference on Advanced Computing and Communication Systems (ICACCS), Coimbatore, India, 6–7 January 2017. [Google Scholar]
- Li, S.; Chen, H.; Wang, M.; Heidari, A.A.; Mirjalili, S. Slime mould algorithm: A new method for stochastic optimization. Future Gener. Comput. Syst. 2020, 111, 300–323. [Google Scholar] [CrossRef]
- Agushaka, J.O.; Ezugwu, E.S. Influence of Initializing Krill Herd Algorithm with Low Discrepancy Sequences. IEEE Acess 2020, 8, 210886–210909. [Google Scholar] [CrossRef]
- Song, Y.M.; Li, Y. Improved bat algorithm based on Gaussian disturbance and exponential decreasing strategy. Appl. Res. Comput. 2020, 37, 1384–1389. (In Chinese) [Google Scholar] [CrossRef]
- Cheng, L.; Li, D.; Li, X.; Yu, S. The Optimal Wavelet Basis Function Selection in Feature Extraction of Motor Imagery Electroencephalogram Based on Wavelet Packet Transformation. IEEE Access 2019, 99, 174465–174481. [Google Scholar] [CrossRef]
- Mirjalili, S.; Mirjalili, S.M.; Lewis, A. Grey Wolf Optimizer. Adv. Eng. Softw. 2014, 69, 46–61. [Google Scholar] [CrossRef]
- Mirjalili, S.; Lewis, A. The Whale Optimization Algorithm. Adv. Eng. Softw. 2016, 95, 51–67. [Google Scholar] [CrossRef]
- Mirjalili, S. Moth-flame optimization algorithm: A novel nature-inspired heuristic paradigm. Knowl. Based Syst. 2015, 89, 228–249. [Google Scholar] [CrossRef]








| Level | Data1 | Data2 | Data3 | Data4 | Total |
|---|---|---|---|---|---|
| L2 | 75.00% | 13.33% | 15.00% | 10.00% | 28.33% |
| L3 | 91.67% | 5.00% | 21.67% | 8.33% | 31.68% |
| L4 | 83.33% | 91.67% | 96.67% | 91.67% | 90.83% |
| L5 | 96.67% | 66.67% | 96.67% | 58.33% | 79.58% |
| Feature | Data1 | Data2 | Data3 | Data4 | Total |
|---|---|---|---|---|---|
| feature-1 | 21.67% | 12.67% | 36.67% | 66.67% | 34.17% |
| feature-2 | 78.83% | 88.33% | 95.00% | 91.67% | 88.83% |
| feature-3 | 71.67% | 90.00% | 90.00% | 73.33% | 81.25% |
| feature-all | 83.33% | 91.67% | 96.67% | 91.67% | 90.83% |
| Model | Values | Data1 | Data2 | Data3 | Data4 | Total |
|---|---|---|---|---|---|---|
| SVM | AVG | 88.33% | 91.67% | 96.67% | 91.67% | 90.83% |
| STD | \ | \ | \ | \ | \ | |
| GWO-SVM | AVG | 95.43% | 90.70% | 95.60% | 93.47% | 93.80% |
| STD | 3.80 | 3.96 | 1.57 | 4.71 | 3.50 | |
| WOA-SVM | AVG | 92.63% | 87.83% | 94.70% | 90.07% | 91.31% |
| STD | 4.18 | 3.99 | 1.53 | 4.78 | 3.58 | |
| MFO-SVM | AVG | 94.67% | 90.22% | 95.33% | 91.89% | 93.03% |
| STD | 4.45 | 5.32 | 1.69 | 5.07 | 3.74 | |
| SMA-SVM | AVG | 96.20% | 93.43% | 95.53% | 94.47% | 94.91% |
| STD | 7.81 | 1.59 | 6.45 | 7.24 | 5.25 | |
| MSSMA-SVM | AVG | 98.13% | 93.67% | 96.67% | 96.67% | 96.29% |
| STD | 0.74 | 0.85 | 0.02 | 0.04 | 0.18 |
| Algorithm | Parameter Setting |
|---|---|
| BP | training times = 500; goal = 0.005; learning rate = 0.01 |
| RF | ntree = 200; mtry = 2 |
| SCN | hidden layer nodes = 50; learning rate = 0.01 |
| maximum number of random configurations = 100, | |
| random weight range = [0.5, 1, 5, 10, 30, 50, 100], | |
| inequality constraint coefficient = [0.9, 0.99, 0.999, 0.9999, 0.99999, 0.999999] |
| Model | Values | Data1 | Data2 | Data3 | Data4 | Total |
|---|---|---|---|---|---|---|
| BP | AVG | 89.54% | 96.04% | 96.59% | 82.13% | 91.08% |
| RF | AVG | 81.99% | 95.59% | 95.15% | 97.47% | 92.55% |
| SCN | AVG | 89.60% | 91.20% | 91.23% | 88.17% | 90.05% |
| MSSMA-SVM | AVG | 98.13% | 93.67% | 96.67% | 96.67% | 96.29% |
Publisher’s Note: MDPI stays neutral with regard to jurisdictional claims in published maps and institutional affiliations. |
© 2022 by the authors. Licensee MDPI, Basel, Switzerland. This article is an open access article distributed under the terms and conditions of the Creative Commons Attribution (CC BY) license (https://creativecommons.org/licenses/by/4.0/).
Share and Cite
Tian, X.; Ao, J.; Ma, Z.; Jian, B.; Ma, C. Concrete Multi-Type Defect Classification Algorithm Based on MSSMA-SVM. Sensors 2022, 22, 9145. https://doi.org/10.3390/s22239145
Tian X, Ao J, Ma Z, Jian B, Ma C. Concrete Multi-Type Defect Classification Algorithm Based on MSSMA-SVM. Sensors. 2022; 22(23):9145. https://doi.org/10.3390/s22239145
Chicago/Turabian StyleTian, Xu, Jun Ao, Zizhu Ma, Bijian Jian, and Chunbo Ma. 2022. "Concrete Multi-Type Defect Classification Algorithm Based on MSSMA-SVM" Sensors 22, no. 23: 9145. https://doi.org/10.3390/s22239145
APA StyleTian, X., Ao, J., Ma, Z., Jian, B., & Ma, C. (2022). Concrete Multi-Type Defect Classification Algorithm Based on MSSMA-SVM. Sensors, 22(23), 9145. https://doi.org/10.3390/s22239145
