Statistical Analysis of Silicon Photomultiplier Output Signals
Abstract
1. Introduction
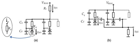
2. Modeling of SiPM Signals
2.1. Approximation of Output Pulse
2.2. Stochastic Process of Photon Detection
2.3. Statistical Analysis
3. Experimental Study
3.1. Test Setup
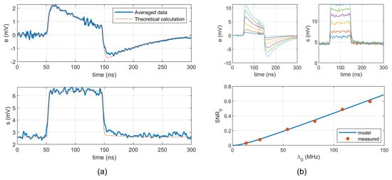
3.2. Event Rate and DC Current
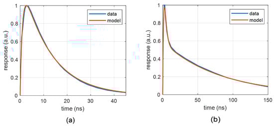
3.3. Pulse Analysis
4. Discussion
- The rise time of is longer than the rise time of even for an ideal square optical pulse, which may affect the accuracy of pulse arrival time estimation. In fact, the waveform for is given by the first integral in (21). Therefore, the estimated corresponds to the original waveform (1) since is its lossy derivative.
- As a consequence of (6), starts to decrease after reaching its maximum. Therefore, there exists some optimum pulse width , above which the amplitude of does not grow.
Author Contributions
Funding
Institutional Review Board Statement
Informed Consent Statement
Data Availability Statement
Conflicts of Interest
Abbreviations
| APD | Avalanche photodiode |
| SPAD | Single-photon avalanche detector |
| SiPM | Silicon photomultiplier |
| LIDAR | Light detection and ranging |
| PDE | Photon detection efficiency |
| DCR | Dark count rate |
| FPGA | Field programmable gate array |
| VCSEL | Vertical-cavity surface-emitting laser |
| LED | Light-emitting diode |
References
- McIntyre, R.J. Recent developments in silicon avalanche photodiodes. Measurement 1985, 3, 146–152. [Google Scholar] [CrossRef]
- Renker, D. Geiger-mode avalanche photodiodes, history, properties and problems. Nucl. Instrum. Methods Phys. Res. Sect. A Accel. Spectrometers Detect. Assoc. Equip. 2006, 567, 48–56. [Google Scholar] [CrossRef]
- Acerbi, F.; Gundacker, S. Understanding and simulating SiPMs. Nucl. Instrum. Methods Phys. Res. Sect. A Accel. Spectrometers Detect. Assoc. Equip. 2019, 926, 16–35. [Google Scholar] [CrossRef]
- Frach, T.; Prescher, G.; Degenhardt, C.; De Gruyter, R.; Schmitz, A.; Ballizany, R. The digital silicon photomultiplier—Principle of operation and intrinsic detector performance. In Proceedings of the 2009 IEEE Nuclear Science Symposium Conference Record (NSS/MIC), Orlando, FL, USA, 24 October–1 November 2009; pp. 1959–1965. [Google Scholar] [CrossRef]
- Villa, F.; Zou, Y.; Dalla Mora, A.; Tosi, A.; Zappa, F. SPICE electrical models and simulations of silicon photomultipliers. IEEE Trans. Nucl. Sci. 2015, 62, 1950–1960. [Google Scholar] [CrossRef]
- Acerbi, F.; Paternoster, A.; Regazzoni, V.; Zorzi, N.; Piemonte, C. High-Density Silicon Photomultipliers: Performance and Linearity Evaluation for High Efficiency and Dynamic-Range Applications. IEEE J. Quantum Electron. 2018, 54, 1–7. [Google Scholar] [CrossRef]
- Yeom, J.Y.; Vinke, R.; Pavlov, N.; Bellis, S.; Wall, L.; O’Neill, K.; Jackson, C.; Levin, C.S. Fast timing silicon photomultipliers for scintillation detectors. IEEE Photonics Technol. Lett. 2013, 25, 1309–1312. [Google Scholar] [CrossRef]
- Riu, J.; Sicard, M.; Royo, S.; Comerón, A. Silicon photomultiplier detector for atmospheric lidar applications. Opt. Lett. 2012, 37, 1229–1231. [Google Scholar] [CrossRef]
- Candan, C.; Tiken, M.; Berberoglu, H.; Orhan, E.; Yeniay, A. Experimental study on km-range long-distance measurement using silicon photomultiplier sensor with low peak power laser pulse. Appl. Sci. 2021, 11, 403. [Google Scholar] [CrossRef]
- Zimmermann, R.; Braun, F.; Achtnich, T.; Lambercy, O.; Gassert, R.; Wolf, M. Silicon photomultipliers for improved detection of low light levels in miniature near-infrared spectroscopy instruments. Biomed. Opt. Express 2013, 4, 659. [Google Scholar] [CrossRef]
- Kalashnikov, D.; Krivitsky, L. Measurement of photon correlations with multipixel photon counters. J. Opt. Soc. Am. B 2014, 31, B25. [Google Scholar] [CrossRef]
- Eckert, P.; Schultz-Coulon, H.C.; Shen, W.; Stamen, R.; Tadday, A. Characterisation studies of silicon photomultipliers. Nucl. Instrum. Methods Phys. Res. Sect. A Accel. Spectrometers Detect. Assoc. Equip. 2010, 620, 217–226. [Google Scholar] [CrossRef]
- Adamo, G.; Parisi, A.; Stivala, S.; Tomasino, A.; Agrò, D.; Curcio, L.; Giaconia, G.C.; Busacca, A.; Fallica, G. Silicon photomultipliers signal-to-noise ratio in the continuous wave regime. IEEE J. Sel. Top. Quantum Electron. 2014, 20, 284–290. [Google Scholar] [CrossRef]
- Piemonte, C.; Gola, A. Overview on the main parameters and technology of modern Silicon Photomultipliers. Nucl. Instrum. Methods Phys. Res. Sect. A Accel. Spectrometers Detect. Assoc. Equip. 2019, 926, 2–15. [Google Scholar] [CrossRef]
- Marano, D.; Belluso, M.; Bonanno, G.; Billotta, S.; Grillo, A.; Garozzo, S.; Romeo, G.; Catalano, O.; La Rosa, G.; Sottile, G.; et al. Silicon photomultipliers electrical model extensive analytical analysis. IEEE Trans. Nucl. Sci. 2014, 61, 23–34. [Google Scholar] [CrossRef]
- Condorelli, G.; Sanfilippo, D.; Valvo, G.; Mazzillo, M.; Bongiovanni, D.; Piana, A.; Carbone, B.; Fallica, G. Extensive electrical model of large area silicon photomultipliers. NUclear Instruments Methods Phys. Res. Sect. A Accel. Spectrometers. Detect. Assoc. Equip. 2011, 654, 127–134. [Google Scholar] [CrossRef]
- Calò, P.P.; Ciciriello, F.; Petrignani, S.; Marzocca, C. SiPM readout electronics. Nucl. Instrum. Methods Phys. Res. Sect. A Accel. Spectrometers Detect. Assoc. Equip. 2019, 926, 57–68. [Google Scholar] [CrossRef]
- Jha, A.K.; Van Dam, H.T.; Kupinski, M.A.; Clarkson, E. Simulating silicon photomultiplier response to scintillation light. IEEE Trans. Nucl. Sci. 2013, 60, 336–351. [Google Scholar] [CrossRef]
- Peng, P.; Qiang, Y.; Ross, S.; Burr, K. Characterization of silicon photomultipliers and validation of the electrical model. Nucl. Instrum. Methods Phys. Res. Sect. A Accel. Spectrometers Detect. Assoc. Equip. 2018, 887, 144–149. [Google Scholar] [CrossRef]
- Dolinsky, S.; Fu, G.; Ivan, A. Timing resolution performance comparison of different SiPM devices. Nucl. Instrum. Methods Phys. Res. Sect. A Accel. Spectrometers Detect. Assoc. Equip. 2015, 801, 11–20. [Google Scholar] [CrossRef]
- Agishev, R.; Comerón, A.; Bach, J.; Rodriguez, A.; Sicard, M.; Riu, J.; Royo, S. Lidar with SiPM: Some capabilities and limitations in real environment. Opt. Laser Technol. 2013, 49, 86–90. [Google Scholar] [CrossRef]
- Vinogradov, S.L. Evaluation of performance of silicon photomultipliers in lidar applications. Photon Count. Appl. 2017 2017, 10229, 102290L. [Google Scholar] [CrossRef]
- Sommer, M.; Krist, P.; Kakona, M.; Ploc, O. Novel Model for Analysis and Optimization of Silicon Photomultiplier-Based Scintillation Systems. IEEE Trans. Nucl. Sci. 2021, 68, 2771–2778. [Google Scholar] [CrossRef]
- Jha, A.K.; Kupinski, M.A.; Van Dam, H.T. Monte Carlo simulation of silicon photomultiplier output in response to scintillation induced light. In Proceedings of the 2011 IEEE Nuclear Science Symposium Conference Record, Valencia, Spain, 23–29 October 2011; pp. 1693–1696. [Google Scholar] [CrossRef]
- Tontini, A.; Gasparini, L.; Perenzoni, M. Numerical model of spad-based direct time-of-flight flash lidar CMOS image sensors. Sensors 2020, 20, 5203. [Google Scholar] [CrossRef] [PubMed]
- Vinogradov, S. Analytical model of SiPM time resolution and order statistics with crosstalk. Nucl. Instrum. Methods Phys. Res. Sect. A Accel. Spectrometers. Detect. Assoc. Equip. 2015, 787, 229–233. [Google Scholar] [CrossRef]
- Vinogradov, S. Analytical models of probability distribution and excess noise factor of solid state photomultiplier signals with crosstalk. Nucl. Instrum. Methods Phys. Res. Sect. A Accel. Spectrometers. Detect. Assoc. Equip. 2012, 695, 247–251. [Google Scholar] [CrossRef]
- Seifert, S.; Van Dam, H.T.; Vinke, R.; Dendooven, P.; Löhner, H.; Beekman, F.J.; Schaart, D.R. A comprehensive model to predict the timing resolution of SiPM-based scintillation detectors: Theory and experimental validation. IEEE Trans. Nucl. Sci. 2012, 59, 190–204. [Google Scholar] [CrossRef]
- Incoronato, A.; Locatelli, M.; Zappa, F. Statistical modelling of spads for time-of-flight lidar. Sensors 2021, 21, 4481. [Google Scholar] [CrossRef]
- Rosado, J. Modeling the Nonlinear Response of Silicon Photomultipliers. IEEE Sens. J. 2019, 19, 12031–12039. [Google Scholar] [CrossRef]
- Morciano, A.; Perenzoni, M.; D’Amico, S. Signal-to-Noise Ratio in Pulsed Mode SiPMs for LiDAR Applications. In Proceedings of the 2021 International Conference on IC Design and Technology, ICICDT 2021, Dresden, Germany, 15–17 September 2021; pp. 2–5. [Google Scholar] [CrossRef]
- Tolt, G.; Grönwall, C.; Henriksson, M. Peak detection approaches for time-correlated single-photon counting three-dimensional lidar systems. Opt. Eng. 2018, 57, 1. [Google Scholar] [CrossRef]
- Klanner, R. Characterisation of SiPMs. Nucl. Instrum. Methods Phys. Res. Sect. A Accel. Spectrometers. Detect. Assoc. Equip. 2019, 926, 36–56. [Google Scholar] [CrossRef]
- Biasing and Readout of ON Semiconductor SiPM Sensors. Available online: https://www.onsemi.com/pub/Collateral/AND9782-D.PDF (accessed on 20 September 2022).
- Barbarino, G.; de Asmundis, R.; De Rosa, G.; Mollo, C.M.; Russo, S.; Vivolo, D. Silicon Photo Multipliers Detectors Operating in Geiger Regime: An Unlimited Device for Future Applications; IntechOpen: London, UK, 2011; pp. 183–226. [Google Scholar]
- Corsi, F.; Marzocca, C.; Perrotta, A.; Dragone, A.; Foresta, M.; Del Guerra, A.; Marcatili, S.; Llosa, G.; Collazzuol, G.; Dalla Betta, G.F.; et al. Electrical characterization of silicon photo-multiplier detectors for optimal front-end design. IEEE Nucl. Sci. Symp. Conf. Rec. 2006, 2, 1276–1280. [Google Scholar] [CrossRef]
- RB-Series SiPM Sensors. Available online: https://www.onsemi.com/pdf/datasheet/microrb-series-d.pdf (accessed on 20 September 2022).
- Rosado, J. Performance of SiPMs in the nonlinear region. Nucl. Instrum. Methods Phys. Res. Sect. A Accel. Spectrometers. Detect. Assoc. Equip. 2018, 912, 39–42. [Google Scholar] [CrossRef]
- Girard, O.; Haefeli, G.; Kuonen, A.; Pescatore, L.; Schneider, O.; Stramaglia, M.E. Characterisation of Silicon Photomultipliers Based on Statistical Analysis of Pulse-Shape and Time Distributions. 2018. Available online: https://arxiv.org/abs/1808.05775 (accessed on 20 September 2022).
- Parzen, E. Stochastic Processes; SIAM: Philadelphia, PA, USA, 1999. [Google Scholar]
- Gronwall, C.; Gustafsson, F. Modelling of Laser Radar Systems. Technical Report. 2006. Available online: http://www.control.isy.liu.se/research/reports/2006/2743.pdf (accessed on 20 September 2022).













| Parameter | Typical |
|---|---|
| Breakdown Voltage | 25 V |
| Overvoltage | 7 V (10 V max) |
| Number of Microcells | 620 |
| Responsivity (905 nm, typ. ) | 240 kA/W |
| Dark Count Rate | 2.6 MHz |
| Dark Current | 1.5 A |
| Afterpulsing | 1% |
Publisher’s Note: MDPI stays neutral with regard to jurisdictional claims in published maps and institutional affiliations. |
© 2022 by the authors. Licensee MDPI, Basel, Switzerland. This article is an open access article distributed under the terms and conditions of the Creative Commons Attribution (CC BY) license (https://creativecommons.org/licenses/by/4.0/).
Share and Cite
Kolka, Z.; Barcik, P.; Biolkova, V. Statistical Analysis of Silicon Photomultiplier Output Signals. Sensors 2022, 22, 9134. https://doi.org/10.3390/s22239134
Kolka Z, Barcik P, Biolkova V. Statistical Analysis of Silicon Photomultiplier Output Signals. Sensors. 2022; 22(23):9134. https://doi.org/10.3390/s22239134
Chicago/Turabian StyleKolka, Zdenek, Peter Barcik, and Viera Biolkova. 2022. "Statistical Analysis of Silicon Photomultiplier Output Signals" Sensors 22, no. 23: 9134. https://doi.org/10.3390/s22239134
APA StyleKolka, Z., Barcik, P., & Biolkova, V. (2022). Statistical Analysis of Silicon Photomultiplier Output Signals. Sensors, 22(23), 9134. https://doi.org/10.3390/s22239134

