A Wideband and Low-Power Distributed Cascode Mixer Using Inductive Feedback
Abstract
1. Introduction
2. Circuit Design
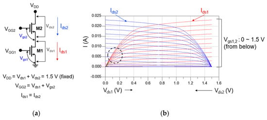
2.1. Bias Selection of Cascode Drain Mixer
2.2. Selection of Transistor Size and Stage Number
2.3. Design of Gate Line Inductance and Inductive Positive Feedback Inductance
2.4. Final Distributed Mixer Design
3. Fabrication and Measurement
4. Conclusions
Funding
Institutional Review Board Statement
Informed Consent Statement
Acknowledgments
Conflicts of Interest
References
- Chettri, L.; Bera, R. A comprehensive survey on internet of things (IoT) Toward 5G Wireless Systems. IEEE J. Internet Things 2020, 7, 16–32. [Google Scholar] [CrossRef]
- Shanmugam, R. Design and analysis of a frequency reconfigurable penta-band antenna for WLAN and 5G applications. J. Electro. Eng. Sci. 2021, 21, 228–235. [Google Scholar] [CrossRef]
- ITU. Handbook on National Spectrum Management; ITU: Geneva, Switzerland, 2015. [Google Scholar]
- Pozar, D. Microwave Engineering; Wiley: Hoboken, NJ, USA, 2012. [Google Scholar]
- Beyer, J.B.; Prasad, S.N.; Becker, R.C.; Nordman, J.E.; Hohenwarter, G.K. MESFET distributed amplifier design guidelines. IEEE Trans. Microw. Theory Tech. 1984, 32, 268–275. [Google Scholar] [CrossRef]
- Kim, J.; Kwon, Y. A high-performance GaN-modified nonuniform distributed power amplifier. IEEE Trans. Microw. Theory Techn. 2020, 68, 1729–1740. [Google Scholar] [CrossRef]
- Kim, J.; Park, H.; Lee, S.; Kim, J.; Lee, W.; Lee, C.; Kwon, Y. 6–18 GHz, 26-W GaN HEMT compact power-combined non-uniform distributed amplifier. Electron. Lett. 2016, 52, 2040–2042. [Google Scholar] [CrossRef]
- El-Aassar, O.; Rebeiz, G.M. A 120-GHz Bandwidth CMOS distributed power amplifier with multi-drive intra-stack coupling. IEEE Microw. Wirel. Compon. Lett. 2020, 30, 782–785. [Google Scholar] [CrossRef]
- Thome, F.; Leuther, A. First demonstration of distributed amplifier MMICs with more than 300-GHz bandwidth. IEEE J. Solid-State Circuits 2021, 56, 2647–2655. [Google Scholar] [CrossRef]
- Kim, J. A wideband triple-stacked CMOS distributed power amplifier using double inductive peaking. IEEE Microw. Wireless Compon. Lett. 2019, 29, 787–790. [Google Scholar] [CrossRef]
- Kim, J. A mHEMT power-reconfigurable distributed amplifier using a gain cell switching technique. IEEE Access 2021, 9, 113007–113016. [Google Scholar] [CrossRef]
- Yang, H.-Y.; Tsai, J.-H.; Wang, C.-H.; Lin, C.-S.; Lin, W.-H.; Lin, K.-Y.; Huang, T.-W.; Wang, H. Design and analysis of a 0.8–77.5-GHz ultrabroadband distributed drain mixer using 0.13-μm CMOS technology. IEEE Trans. Microw. Theory Techn. 2009, 57, 562–572. [Google Scholar] [CrossRef]
- Thome, F.; Wagner, S.; Leuther, A. A 1–170-GHz distributed down-converter MMIC in 35-nm gate-length InGaAs mHEMT technology. IEEE Microw. Wireless Compon. Lett. 2022, 32, 748–751. [Google Scholar] [CrossRef]
- Testa, P.V.; Riess, V.; Carta, C.; Ellinger, F. A 130 nm-SiGe-BiCMOS low-power receiver based on distributed amplifier techniques for broadband applications from 140 GHz to 200 GHz. IEEE Open J. Circ. Sys. 2021, 2, 508–519. [Google Scholar] [CrossRef]
- Mazor, N.; Socher, E. A SiGe distributed millimeter-wave frequency tripler. IEEE Microw. Wirel. Compon. Lett. 2014, 24, 893–895. [Google Scholar] [CrossRef]
- Park, K.; Lee, S.; Jeon, S. A new compact CMOS distributed digital attenuator. IEEE Trans. Microw. Theory Techn. 2020, 68, 4631–4640. [Google Scholar] [CrossRef]
- Lee, I.; Kim, Y.; Jeon, S. 108–316- and 220–290-GHz ultrabroadband distributed frequency doublers. IEEE Trans. Microw. Theory Techn. 2020, 68, 1000–1011. [Google Scholar] [CrossRef]
- Bae, J.; Lee, J.; Nguyen, C. A 10–67-GHz CMOS dual-function switching attenuator with improved flatness and large attenuation Range. IEEE Trans. Microw. Theory Techn. 2013, 61, 4118–4129. [Google Scholar] [CrossRef]
- Kim, J.; Kwon, Y. Low Conversion Loss 94GHz CMOS Resistive Mixer. Electron. Lett. 2015, 51, 1464–1466. [Google Scholar] [CrossRef]
- Sulivan, P.J.; Xavier, B.A.; Ku, W.H. Low voltage performance of a microwave CMOS Gilbert cell mixer. IEEE J. Solid-State Circuits 1997, 32, 1151–1155. [Google Scholar] [CrossRef]
- Ellinger, F.; Rodoni, L.C.; Sialm, G.; Kromer, C.; von Buren, G.; Schmatz, M.L.; Menolfi, C.; Toifl, T.; Morf, T.; Kossel, M.; et al. 30-40-GHz drain-pumped passive-mixer MMIC fabricated on VLSI SOI CMOS technology. IEEE Trans. Microw. Theory Techn. 2004, 52, 1382–1391. [Google Scholar] [CrossRef]
- Jyo, T.; Nagatani, M.; Ida, M.; Mutoh, M.; Wakita, H.; Terao, N.; Nosaka, H. A DC to 194-GHz distributed mixer in 250-nm InP DHBT technology. IEEE MTT-S Int. Microw. Symp. Dig. 2020, 771–774. [Google Scholar]
- Liu, Y.-C.; Chang, Y.-W.; Yeh, Y.-C.; Weng, S.-H.; Tsai, J.-H.; Chang, H.-Y. A 2-to-67 GHz 0-dBm LO power broadband distributed NMOS-HBT Darlington mixer in 0.18 μm SiGe process. In Proceedings of the 2016 IEEE MTT-S International Microwave Symposium (IMS), San Francisco, CA, USA, 22–27 May 2016; pp. 1–4. [Google Scholar]
- Lin, Y.-S.; Lu, C.-L.; Wang, Y.-H. A 5 to 45 GHz distributed mixer with cascoded complementary switching pairs. IEEE Microw. Wireless Compon. Lett. 2013, 23, 495–497. [Google Scholar] [CrossRef]
- Hu, J.; Ma, K. Analysis and design of a broadband receiver front end for 0.1-to-40-GHz application. IEEE Trans. Circuits Syst. I Reg. Pap. 2021, 68, 2393–2403. [Google Scholar] [CrossRef]
- Lee, H.; Jeon, S. A GaAs p-HEMT distributed drain mixer with low LO drive power, high isolation, and zero power consumption. IEEE Access 2021, 9, 158420–158425. [Google Scholar] [CrossRef]
- Kim, J.; Kwon, Y. Intermodulation analysis of dual-gate FET mixers. IEEE Trans. Microw. Theory Tech. 2002, 50, 1544–1555. [Google Scholar]
- Kim, J.; Choi, W.; Park, Y.; Kwon, Y. 60 GHz broadband image rejection receiver using varactor tuning. In Proceedings of the 2010 IEEE Radio Frequency Integrated Circuits Symposium 2010, Anaheim, CA, USA, 23–25 May 2010; pp. 381–384. [Google Scholar]
- Maas, S.A. Microwave Mixers; Artech House: Boston, MA, USA, 1993; pp. 280–283. [Google Scholar]
- Weidong, L.; Chenming, H. BSIM4 and MOSFET Modeling for IC Simulation; World Scientific: Singapore, 2011. [Google Scholar]
- Hsieh, H.-H.; Lu, L.-H. A 40-GHz low-noise amplifier with a positive-feedback network in 0.18-μm CMOS. IEEE Trans. Microw. Theory Techn. 2009, 57, 1895–1902. [Google Scholar] [CrossRef]
- Ellinger, F. 26.5-30 GHz resistive mixer in 90-nm VLSI SOI CMOS technology with high linearity for WLAN. IEEE Trans. Microw. Theory Tech. 2005, 53, 2559–2565. [Google Scholar] [CrossRef]
- Jung, D.Y.; Park, C.S. Cgs compensating V-band resistive mixer with low conversion loss at low LO power. Electron. Lett. 2010, 46, 458–459. [Google Scholar] [CrossRef]



















| Stage Number | 1 | 2 | 3 | 4 |
|---|---|---|---|---|
| Fcut-off (GHz) | 125 | 81 | 63 | 54 |
| Reference | Frequency (GHz) | Technology | CG (dB) | LO Power (dBm) | LO-RF Isolation (dB) | DC Power Consumption (mW) | Chip Size (mm2) | Topology |
|---|---|---|---|---|---|---|---|---|
| [12] | 0.8–77.5 | 130 nm CMOS | −5.5 ± 1.0 | 10 | >13 | 0 | 0.388 | Drain mixer |
| [13] | 1–170 | 35 nm mHEMT | −4.2–1.0 | −1 | >20 | 180 | 1.5 | Source feedback mixer |
| [19] | 0–194 | 250 nm InP HBT | −4.4–5.7 | 2 | - | 125 | 0.8 | Single balanced mixer |
| [20] | 2–67 | 180 nm SiGe BiCMOS | 1.7–4.8 | 0 | >10 | 17.5 | 0.42 | Darlington cell |
| [21] | 5–45 | 180 nm CMOS | −12.2 ± 1.0 | 8 | 33–47 | 1.4 | 0.66 | Cascoded switching pairs |
| [22] | 0.1–40 | 150 nm GaAs pHEMT | −6.0 ± 1.0 | 10 | >15 | 0 | 0.9 | Symmetric drain mixer |
| [23] | 5.4–21.8 | 250 nm GaAs pHEMT | −4.0–−7.4 | 2 | >23.5 | 0 | 6.4 | Balanced drain mixer |
| This work | 4–30, 54–66 | 130 nm CMOS | −2.8–3.3 | 8–10 | >15 | 10–12 | 0.56 | Cascode mixer with inductive feedback |
| −8.0–2.9 | 8–10 | >20 | 4.5 |
Publisher’s Note: MDPI stays neutral with regard to jurisdictional claims in published maps and institutional affiliations. |
© 2022 by the author. Licensee MDPI, Basel, Switzerland. This article is an open access article distributed under the terms and conditions of the Creative Commons Attribution (CC BY) license (https://creativecommons.org/licenses/by/4.0/).
Share and Cite
Kim, J. A Wideband and Low-Power Distributed Cascode Mixer Using Inductive Feedback. Sensors 2022, 22, 9022. https://doi.org/10.3390/s22229022
Kim J. A Wideband and Low-Power Distributed Cascode Mixer Using Inductive Feedback. Sensors. 2022; 22(22):9022. https://doi.org/10.3390/s22229022
Chicago/Turabian StyleKim, Jihoon. 2022. "A Wideband and Low-Power Distributed Cascode Mixer Using Inductive Feedback" Sensors 22, no. 22: 9022. https://doi.org/10.3390/s22229022
APA StyleKim, J. (2022). A Wideband and Low-Power Distributed Cascode Mixer Using Inductive Feedback. Sensors, 22(22), 9022. https://doi.org/10.3390/s22229022

