STV-SC: Segmentation and Temporal Verification Enhanced Scan Context for Place Recognition in Unstructured Environment
Abstract
1. Introduction
- We propose a range image-based 3D point cloud segmentation method introducing both geometry and intensity constraints for unstructured objects removal.
- An efficient three-stage loop detection algorithm for fast loop candidate search is proposed while leveraging the STV process for perception aliasing rejection.
- Thorough experiments on KITTI dataset [15] show that our method outperforms scan context and other state-of-the-art approaches. The algorithm is also integrated to a SLAM system to verify online place recognition ability.
2. Related Works
3. Materials and Methods
3.1. System Overview
3.2. Segmentation

3.3. Segment Scan Context
3.4. Three-Stage Search Algorithm
| Algorithm 1 Tree-stage search process |
|
4. Experimental Results and Discussion
4.1. Experimental Setup
4.2. Statistical Analysis
4.3. Dynamic Threshold Evaluation
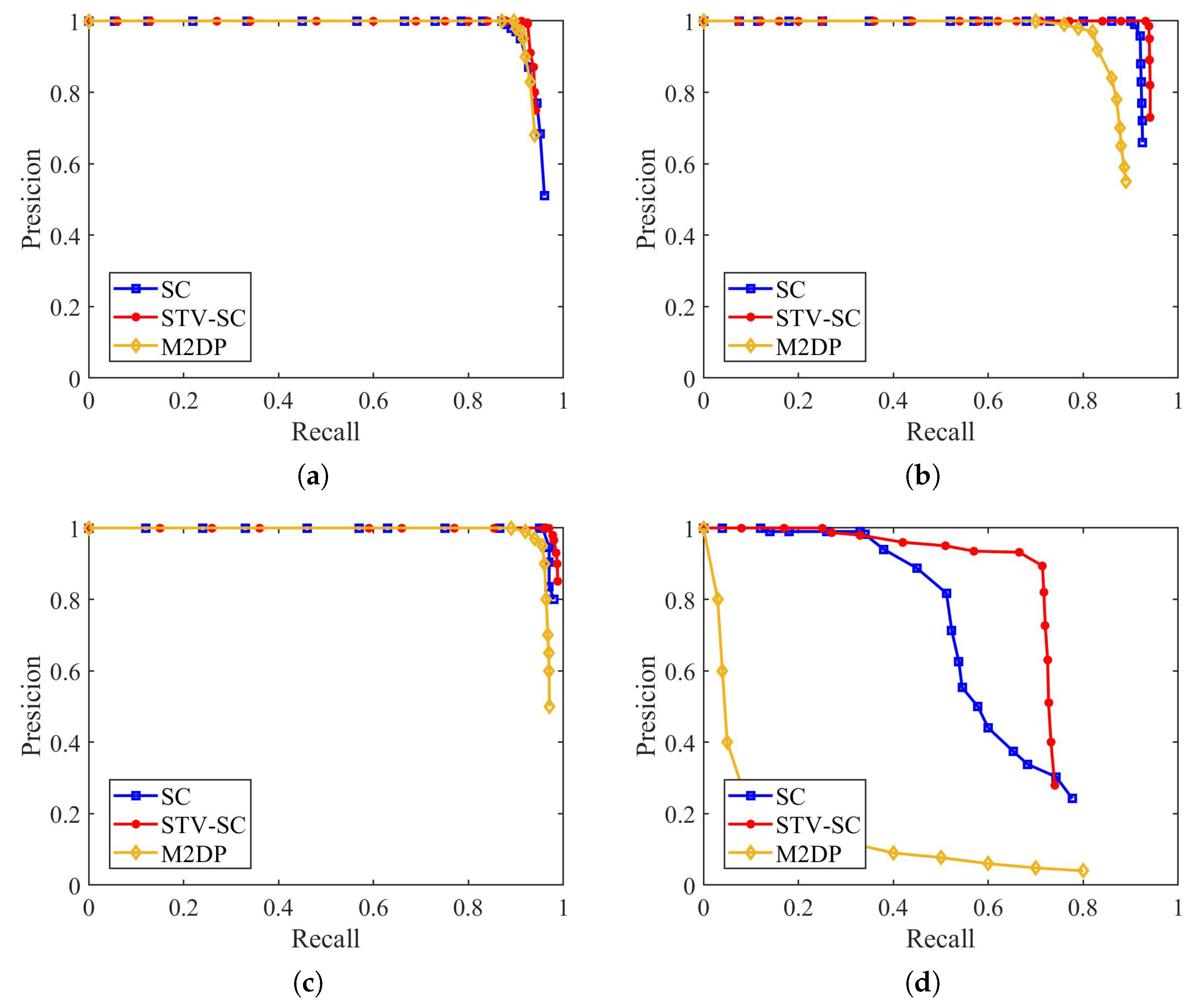
4.4. Precision Recall Evaluation
4.5. Time-Consumption Analysis
4.6. Online Loop-Closure Performance
5. Conclusions
Author Contributions
Funding
Institutional Review Board Statement
Informed Consent Statement
Data Availability Statement
Conflicts of Interest
Abbreviations
| SLAM | Simultaneous Localization and Mapping |
| STV | Segmentation and Temporal Verification |
| SC | Scan Context |
| LOAM | Lidar Odometry and Mapping |
References
- Cadena, C.; Carlone, L.; Carrillo, H.; Latif, Y.; Scaramuzza, D.; Neira, J.; Reid, I.; Leonard, J.J. Past, Present, and Future of Simultaneous Localization and Mapping: Toward the Robust-Perception Age. IEEE Trans. Robot. 2016, 32, 1309–1332. [Google Scholar] [CrossRef]
- Saeedi, S.; Trentini, M.; Seto, M.; Li, H. Multiple-robot simultaneous localization and mapping: A review. J. Field Robot. 2016, 33, 3–46. [Google Scholar] [CrossRef]
- Cattaneo, D.; Vaghi, M.; Valada, A. Lcdnet: Deep loop closure detection and point cloud registration for lidar slam. IEEE Trans. Robot. 2022, 38, 2074–2093. [Google Scholar] [CrossRef]
- Taketomi, T.; Uchiyama, H.; Ikeda, S. Visual SLAM algorithms: A survey from 2010 to 2016. IPSJ Trans. Comput. Vis. Appl. 2017, 9, 16. [Google Scholar] [CrossRef]
- He, L.; Wang, X.; Zhang, H. M2DP: A novel 3D point cloud descriptor and its application in loop closure detection. In Proceedings of the 2016 IEEE/RSJ International Conference on Intelligent Robots and Systems (IROS), Vancouver, BC, Canada, 24–28 September 2016; pp. 231–237. [Google Scholar]
- Steder, B.; Ruhnke, M.; Grzonka, S.; Burgard, W. Place recognition in 3D scans using a combination of bag of words and point feature based relative pose estimation. In Proceedings of the 2011 IEEE/RSJ International Conference on Intelligent Robots and Systems, San Francisco, CA, USA, 25–30 September 2011; pp. 1249–1255. [Google Scholar]
- Kim, G.; Kim, A. Scan context: Egocentric spatial descriptor for place recognition within 3d point cloud map. In Proceedings of the 2018 IEEE/RSJ International Conference on Intelligent Robots and Systems (IROS), Madrid, Spain, 1–5 October 2018; pp. 4802–4809. [Google Scholar]
- Uy, M.A.; Lee, G.H. Pointnetvlad: Deep point cloud based retrieval for large-scale place recognition. In Proceedings of the IEEE Conference on Computer Vision and Pattern Recognition, Salt Lake City, UT, USA, 18–22 June 2018; pp. 4470–4479. [Google Scholar]
- Ma, J.; Zhang, J.; Xu, J.; Ai, R.; Gu, W.; Chen, X. OverlapTransformer: An Efficient and Yaw-Angle-Invariant Transformer Network for LiDAR-Based Place Recognition. IEEE Robot. Autom. Lett. 2022, 7, 6958–6965. [Google Scholar] [CrossRef]
- Dubé, R.; Dugas, D.; Stumm, E.; Nieto, J.; Siegwart, R.; Cadena, C. Segmatch: Segment based place recognition in 3d point clouds. In Proceedings of the 2017 IEEE International Conference on Robotics and Automation (ICRA), Singapore, 29 May–3 June 2017; pp. 5266–5272. [Google Scholar]
- Kong, X.; Yang, X.; Zhai, G.; Zhao, X.; Zeng, X.; Wang, M.; Liu, Y.; Li, W.; Wen, F. Semantic graph based place recognition for 3d point clouds. In Proceedings of the 2020 IEEE/RSJ International Conference on Intelligent Robots and Systems (IROS), Las Vegas, NV, USA, 24 October 2020–24 January 2021; pp. 8216–8223. [Google Scholar]
- Li, L.; Kong, X.; Zhao, X.; Huang, T.; Li, W.; Wen, F.; Zhang, H.; Liu, Y. SSC: Semantic scan context for large-scale place recognition. In Proceedings of the 2021 IEEE/RSJ International Conference on Intelligent Robots and Systems (IROS), Prague, Czech Republic, 27 September–1 October 2021; pp. 2092–2099. [Google Scholar]
- Li, L.; Kong, X.; Zhao, X.; Huang, T.; Li, W.; Wen, F.; Zhang, H.; Liu, Y. RINet: Efficient 3D Lidar-Based Place Recognition Using Rotation Invariant Neural Network. IEEE Robot. Autom. Lett. 2022, 7, 4321–4328. [Google Scholar] [CrossRef]
- Shan, T.; Englot, B. Lego-loam: Lightweight and ground-optimized lidar odometry and mapping on variable terrain. In Proceedings of the 2018 IEEE/RSJ International Conference on Intelligent Robots and Systems (IROS), Madrid, Spain, 1–5 October 2018; pp. 4758–4765. [Google Scholar]
- Geiger, A.; Lenz, P.; Urtasun, R. Are we ready for autonomous driving? the kitti vision benchmark suite. In Proceedings of the 2012 IEEE Conference on Computer Vision and Pattern Recognition, Providence, RI, USA, 16–21 June 2012; pp. 3354–3361. [Google Scholar]
- Rublee, E.; Rabaud, V.; Konolige, K.; Bradski, G. ORB: An efficient alternative to SIFT or SURF. In Proceedings of the 2011 International Conference on Computer Vision, Barcelona, Spain, 6–13 November 2011; pp. 2564–2571. [Google Scholar]
- Lowe, D.G. Object recognition from local scale-invariant features. In Proceedings of the Seventh IEEE International Conference on Computer Vision, Kerkyra, Corfu, Greece, 20–25 September 1999; pp. 1150–1157. [Google Scholar]
- Arandjelovic, R.; Gronat, P.; Torii, A.; Pajdla, T.; Sivic, J. NetVLAD: CNN architecture for weakly supervised place recognition. In Proceedings of the IEEE Conference on Computer Vision and Pattern Recognition, Las Vegas, NV, USA, 27–30 June 2016; pp. 5297–5307. [Google Scholar]
- Kendall, A.; Grimes, M.; Cipolla, R. Posenet: A convolutional network for real-time 6-dof camera relocalization. In Proceedings of the IEEE International Conference on Computer Vision, Santiago, Chile, 7–13 December 2015; pp. 2938–2946. [Google Scholar]
- Lajoie, P.-Y.; Ramtoula, B.; Chang, Y.; Carlone, L.; Beltrame, G. DOOR-SLAM: Distributed, online, and outlier resilient SLAM for robotic teams. IEEE Robot. Autom. Lett. 2020, 5, 1656–1663. [Google Scholar] [CrossRef]
- Anoosheh, A.; Sattler, T.; Timofte, R.; Pollefeys, M.; Van Gool, L. Night-to-day image translation for retrieval-based localization. In Proceedings of the 2019 International Conference on Robotics and Automation (ICRA), Montreal, QC, Canada, 20–24 May2019; pp. 5958–5964. [Google Scholar]
- Milford, M.J.; Wyeth, G.F. SeqSLAM: Visual route-based navigation for sunny summer days and stormy winter nights. In Proceedings of the 2012 IEEE International Conference on Robotics and Automation, St. Paul, MN, USA, 14–18 May 2012; pp. 1643–1649. [Google Scholar]
- Arshad, S.; Kim, G.-W. An Appearance and Viewpoint Invariant Visual Place Recognition for Seasonal Changes. In Proceedings of the 2020 20th International Conference on Control, Automation and Systems (ICCAS), Busan, Korea, 13–16 October 2020; pp. 1206–1211. [Google Scholar]
- Rusu, R.B.; Blodow, N.; Beetz, M. Fast point feature histograms (FPFH) for 3D registration. In Proceedings of the 2009 IEEE International Conference on Robotics and Automation, Kobe, Japan, 12–17 May 2009; pp. 3212–3217. [Google Scholar]
- Bosse, M.; Zlot, R. Place recognition using keypoint voting in large 3D lidar datasets. In Proceedings of the 2013 IEEE International Conference on Robotics and Automation, Karlsruhe, Germany, 6–10 May 2013; pp. 2677–2684. [Google Scholar]
- Wang, H.; Wang, C.; Xie, L. Intensity scan context: Coding intensity and geometry relations for loop closure detection. In Proceedings of the 2020 IEEE International Conference on Robotics and Automation (ICRA), Paris, France, 31 May–31 August 2020; pp. 2095–2101. [Google Scholar]
- Li, Y.; Su, P.; Cao, M.; Chen, H.; Jiang, X.; Liu, Y. Semantic Scan Context: Global Semantic Descriptor for LiDAR-based Place Recognition. In Proceedings of the 2021 IEEE International Conference on Real-time Computing and Robotics (RCAR), Xining, China, 15–19 July 2021; pp. 251–256. [Google Scholar]
- Himmelsbach, M.; Hundelshausen, F.V.; Wuensche, H.-J. Fast segmentation of 3D point clouds for ground vehicles. In Proceedings of the 2010 IEEE Intelligent Vehicles Symposium, La Jolla, CA, USA, 21–24 June 2010; pp. 560–565. [Google Scholar]
- Bogoslavskyi, I.; Stachniss, C. Fast range image-based segmentation of sparse 3D laser scans for online operation. In Proceedings of the 2016 IEEE/RSJ International Conference on Intelligent Robots and Systems (IROS), Daejeon, Korea, 9–14 October 2016; pp. 163–169. [Google Scholar]
- Kashani, A.G.; Olsen, M.J.; Parrish, C.E.; Wilson, N. A review of LiDAR radiometric processing: From ad hoc intensity correction to rigorous radiometric calibration. Sensors 2015, 15, 28099–28128. [Google Scholar] [CrossRef] [PubMed]
- Zhang, J.; Singh, S. LOAM: Lidar odometry and mapping in real-time. In Proceedings of the Robotics: Science and Systems, University of California, Berkeley, CA, USA, 12–16 July 2014; pp. 1–9. [Google Scholar]
- Kaess, M.; Johannsson, H.; Roberts, R.; Ila, V.; Leonard, J.J.; Dellaert, F. iSAM2: Incremental smoothing and mapping using the Bayes tree. Int. J. Robot. Res. 2012, 31, 216–235. [Google Scholar] [CrossRef]










| Parameter | Value |
|---|---|
| Maximum radius () | 80 |
| Number of rings () | 20 |
| Number of sectors () | 60 |
| Segmentation threshold () | 60 |
| Segmentation threshold () | 0.5 |
| Re-identification threshold () | 0.2–0.3 |
| Frames of temporal verification () | 2 |
| Parameter | Sequence 00 | Sequence 08 | ||||
|---|---|---|---|---|---|---|
| (°) | Precision | Recall | Precision | Recall | ||
| 50 | - | - | 0.875 | 0.653 | 0.998 | 0.916 |
| 55 | - | - | 0.880 | 0.707 | 0.998 | 0.916 |
| 55 | 20 | 0.5 | 0.881 | 0.711 | 0.998 | 0.916 |
| 60 | - | - | 0.894 | 0.714 | 0.946 | 0.912 |
| 60 | 10 | 1 | 0.915 | 0.714 | 0.998 | 0.916 |
| 65 | - | - | 0.720 | 0.714 | 0.934 | 0.919 |
| 65 | 10 | 1 | 0.809 | 0.714 | 0.948 | 0.918 |
| Sequence 00 | Sequence 05 | Sequence 06 | Sequence 08 | |||||
|---|---|---|---|---|---|---|---|---|
| Methods | Precision | Recall | Precision | Recall | Precision | Recall | Precision | Recall |
| Scan Context | 1.000 | 0.870 | 1.000 | 0.900 | 1.000 | 0.956 | 0.900 | 0.550 |
| STV-SC | 1.000 | 0.912 | 1.000 | 0.931 | 1.000 | 0.970 | 0.900 | 0.714 |
| M2DP | 1.000 | 0.896 | 1.000 | 0.761 | 1.000 | 0.890 | 0.900 | 0.020 |
Publisher’s Note: MDPI stays neutral with regard to jurisdictional claims in published maps and institutional affiliations. |
© 2022 by the authors. Licensee MDPI, Basel, Switzerland. This article is an open access article distributed under the terms and conditions of the Creative Commons Attribution (CC BY) license (https://creativecommons.org/licenses/by/4.0/).
Share and Cite
Tian, X.; Yi, P.; Zhang, F.; Lei, J.; Hong, Y. STV-SC: Segmentation and Temporal Verification Enhanced Scan Context for Place Recognition in Unstructured Environment. Sensors 2022, 22, 8604. https://doi.org/10.3390/s22228604
Tian X, Yi P, Zhang F, Lei J, Hong Y. STV-SC: Segmentation and Temporal Verification Enhanced Scan Context for Place Recognition in Unstructured Environment. Sensors. 2022; 22(22):8604. https://doi.org/10.3390/s22228604
Chicago/Turabian StyleTian, Xiaojie, Peng Yi, Fu Zhang, Jinlong Lei, and Yiguang Hong. 2022. "STV-SC: Segmentation and Temporal Verification Enhanced Scan Context for Place Recognition in Unstructured Environment" Sensors 22, no. 22: 8604. https://doi.org/10.3390/s22228604
APA StyleTian, X., Yi, P., Zhang, F., Lei, J., & Hong, Y. (2022). STV-SC: Segmentation and Temporal Verification Enhanced Scan Context for Place Recognition in Unstructured Environment. Sensors, 22(22), 8604. https://doi.org/10.3390/s22228604

