Using Sensors for Player Development: Assessing Biomechanical Factors Related to Pitch Command and Velocity
Abstract
1. Introduction
2. Materials and Methods
2.1. Participants
2.2. Data Collection and Analysis
2.3. Statistical Analysis
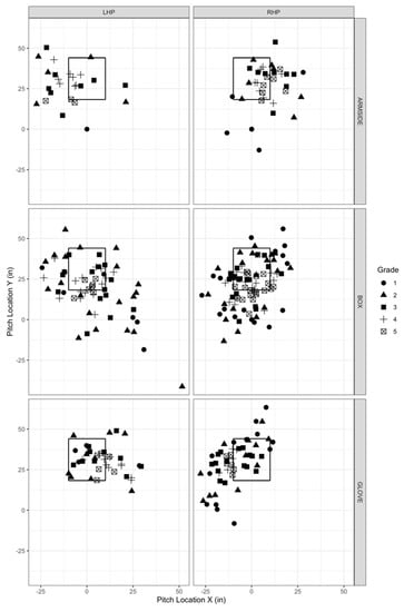
3. Results
4. Discussion
5. Conclusions
Supplementary Materials
Author Contributions
Funding
Institutional Review Board Statement
Informed Consent Statement
Data Availability Statement
Acknowledgments
Conflicts of Interest
References
- Albiero, M.L.; Kokott, W.; Dziuk, C.; Cross, J.A. Relationships between Hip Flexibility and Pitching Biomechanics in Adolescent Baseball Pitchers. J. Athl. Train. 2022, 57, 704–710. [Google Scholar] [CrossRef] [PubMed]
- Zeppieri, G., Jr.; Bruner, M.L.; Michelini, J.P.; Farmer, K.W. The Relationship Between Hip Range of Motion and Pitching Kinematics Related to Increased Elbow Valgus Loads in Collegiate Baseball Pitchers: A Pilot Study. Int. J. Sports Phys. Ther. 2021, 16, 468–476. [Google Scholar] [CrossRef] [PubMed]
- Escamilla, R.F.; Fleisig, G.S.; Groeschner, D.; Akizuki, K. Biomechanical Comparisons among Fastball, Slider, Curveball, and Changeup Pitch Types and Between Balls and Strikes in Professional Baseball Pitchers. Am. J. Sports Med. 2017, 45, 3358–3367. [Google Scholar] [CrossRef] [PubMed]
- Makhni, E.C.; Lizzio, V.A.; Meta, F.; Stephens, J.P.; Okoroha, K.R.; Moutzouros, V. Assessment of Elbow Torque and Other Parameters During the Pitching Motion: Comparison of Fastball, Curveball, and Change-up. Arthroscopy 2018, 34, 816–822. [Google Scholar] [CrossRef] [PubMed]
- Orishimo, K.F.; Kremenic, I.J.; Mullaney, M.J.; Fukunaga, T.; Serio, N.; McHugh, M.P. Role of Pelvis and Trunk Biomechanics in Generating Ball Velocity in Baseball Pitching. J. Strength Cond. Res. 2022. [Google Scholar] [CrossRef]
- Reinold, M.M.; Macrina, L.C.; Fleisig, G.S.; Aune, K.; Andrews, J.R. Effect of a 6-Week Weighted Baseball Throwing Program on Pitch Velocity, Pitching Arm Biomechanics, Passive Range of Motion, and Injury Rates. Sports Health 2018, 10, 327–333. [Google Scholar] [CrossRef]
- Urbin, M.A.; Fleisig, G.S.; Abebe, A.; Andrews, J.R. Associations between timing in the baseball pitch and shoulder kinetics, elbow kinetics, and ball speed. Am. J. Sports Med. 2013, 41, 336–342. [Google Scholar] [CrossRef]
- Matsuo, T.; Escamilla, R.F.; Fleisig, G.; Barrentine, S.W.; Andrews, J. Comparison of kinematic and temporal parameters between differnt pitch velocity groups. J. Appl. Biomech. 2001, 17, 1–13. [Google Scholar] [CrossRef]
- Stodden, D.F.; Fleisig, G.; Mclean, S.P.; Andrews, J. Relationship of biomechanical factors to baseball pitching velocity: Wihtin pitcher variation. J. Appl. Biomech. 2005, 21, 44–56. [Google Scholar] [CrossRef]
- Pavlidis, H.; Judge, J.; Long, J. Prospectus feature: Command and control. Baseball Prospectus, 23 January 2017. [Google Scholar]
- Fleisig, G.S.; Diffendaffer, A.Z.; Ivey, B.; Aune, K.T.; Laughlin, T.; Fortenbaugh, D.; Bolt, B.; Lucas, W.; Moore, K.D.; Dugas, J.R. Changes in Youth Baseball Pitching Biomechanics: A 7-Year Longitudinal Study. Am. J. Sports Med. 2018, 46, 44–51. [Google Scholar] [CrossRef]
- Escamilla, R.F.; Barrentine, S.W.; Fleisig, G.S.; Zheng, N.; Takada, Y.; Kingsley, D.; Andrews, J.R. Pitching biomechanics as a pitcher approaches muscular fatigue during a simulated baseball game. Am. J. Sports Med. 2007, 35, 23–33. [Google Scholar] [CrossRef] [PubMed]
- Fleisig, G.S.; Barrentine, S.W.; Zheng, N.; Escamilla, R.F.; Andrews, J.R. Kinematic and kinetic comparison of baseball pitching among various levels of development. J. Biomech. 1999, 32, 1371–1375. [Google Scholar] [CrossRef]
- Fleisig, G.; Barrentine, S.W.; Escamilla, R.F.; Andrews, J. Biomechanics of overhand throwing with implications for injuries. Sports Med. 1996, 21, 421–437. [Google Scholar] [CrossRef]
- Nicholson, K.F.; Collins, G.S.; Waterman, B.R.; Bullock, G.S. Machine learning and statistical prediction of fastball velocity with biomechanical predictors. J. Biomech. 2022, 134, 110999. [Google Scholar] [CrossRef]
- Aguinaldo, A.; Escamilla, R. Segmental Power Analysis of Sequential Body Motion and Elbow Valgus Loading During Baseball Pitching: Comparison between Professional and High School Baseball Players. Orthop. J. Sports Med. 2019, 7, 2325967119827924. [Google Scholar] [CrossRef] [PubMed]
- Aguinaldo, A.L.; Buttermore, J.; Chambers, H. Effects of upper trunk rotatin on shoulder joint torque among baseball pitchers of various levels. J. Appl. Biomech. 2007, 23, 42–51. [Google Scholar] [CrossRef]
- Crotin, R.L.; Kozlowski, K.; Horvath, P.; Ramsey, D.K. Altered stride length in response to increasing exertion among baseball pitchers. Med. Sci. Sports Exerc. 2014, 46, 565–571. [Google Scholar] [CrossRef]
- Ramsey, D.K.; Crotin, R.L.; White, S. Effect of stride length on overarm throwing delivery: A linear momentum response. Hum. Mov. Sci. 2014, 38, 185–196. [Google Scholar] [CrossRef]
- Akoglu, H. User's guide to correlation coefficients. Turk. J. Emerg. Med. 2018, 18, 91–93. [Google Scholar] [CrossRef]
- Glanzer, J.A.; Diffendaffer, A.Z.; Slowik, J.S.; Drogosz, M.; Lo, N.J.; Fleisig, G.S. The relationship between variability in baseball pitching kinematics and consistency in pitch location. Sports Biomech. 2021, 20, 879–886. [Google Scholar] [CrossRef]
- Arutyunyan, G.H.; Gurfinkwl, V.S.; Mirskii, M.L. Investigation of aiming at a target. Biophysics 1968, 14, 1162–1167. [Google Scholar]
- Bernstein, N.A. The Co-Ordination and Regulation of Movements, 1st ed.; Pergamon Press: Oxford, NY, USA, 1967. [Google Scholar]
- Horan, S.A.; Evans, K.; Kavanagh, J.J. Movement variability in the golf swing of male and female skilled golfers. Med. Sci. Sports Exerc. 2011, 43, 1474–1483. [Google Scholar] [CrossRef] [PubMed]
- Putnam, C. Sequential motions of the body segments in striking and throwing skills, descriptions and explanations. J. Biomech. 1993, 26, 125–135. [Google Scholar] [CrossRef]


| Biomechanical Variables | Description |
|---|---|
| Segmental Position | |
| Orientation of forearm relative to vertical at foot strike (°) | Forearm sensor orientation (approximately the angle of the long axis of the forearm) relative to vertical at the instant of foot contact |
| Orientation of upper arm relative to vertical at foot strike (°) | Upper arm sensor orientation (approximately the angle of the long axis of the upper arm) relative to horizontal at the instant of foot contact |
| Foot orientation at foot contact (°) | Pitch orientation of the foot at the instant of foot contact in degrees, where −90 is straight down, 0 is horizontal, and 90 is straight up |
| Peak rotational separation of the torso and pelvis (°) | Maximum angular difference between the rotation of the torso about vertical and the pelvis about vertical |
| Segmental Angular Velocity/Acceleration or Linear Acceleration | |
| Peak linear acceleration of the forearm (m/s2) | Peak forearm linear acceleration magnitude during the pitch cycle |
| Peak linear acceleration of the upper arm (m/s2) | Peak upper arm linear acceleration magnitude during the pitch cycle |
| Peak rotation rate of the torso about vertical (°/s) | Maximum rotation rate of the torso about a vertical axis during the pitch cycle |
| Peak rotation rate of the pelvis about vertical (°/s) | Maximum rotation rate of the pelvis about a vertical axis during the pitch cycle |
| Peak pelvis angular acceleration about vertical (°/s2) | Maximum angular acceleration of the pelvis about a vertical axis during the pitch |
| Peak torso angular acceleration about vertical (°/s2) | Maximum angular acceleration of the torso about a vertical axis during the pitch |
| Segmental Timing | |
| Time of ball release relative to foot strike (s) | Estimated time of ball release relative to the instant of lead foot contact |
| Stride time (s) | Time from when the lead foot first begins moving forward during the striding phase of the pitch cycle to instant of foot contact |
| Time of peak upper arm acceleration relative to foot strike (s) | Time from the instant of foot contact to peak upper arm acceleration |
| Time of peak rotational separation of the torso and pelvis (s) | Time of the peak rotational separation of the torso and pelvis relative to foot strike |
| Time of peak pelvis rotational acceleration relative to foot strike (s) | Time of the peak angular acceleration of the pelvis about a vertical axis relative to the instant of foot contact |
| Time of peak torso rotational acceleration relative to foot strike (s) | Time of the peak angular acceleration of the torso about a vertical axis relative to the instant of foot contact |
| Time of peak pelvis rotation rate relative to foot strike (s) | Time of the peak rotation rate of the pelvis about a vertical axis relative to the instant of foot contact |
| Time of peak torso rotation rate relative to foot strike (s) | Time of the peak rotation rate of the torso about a vertical axis relative to the instant of foot contact |
| Pitch Performance Variables | |
| Vertical break | How much the ball is moved vertically when it crosses the strike zone compared to what its position would have been without spin |
| Horizontal break | How much the ball is moved horizontally when it crosses the strike zone compared to what its position would have been without spin |
| Strike index (x-axis) | The horizontal position of the ball in the strike zone |
| Strike index (y-axis) | The vertical position of the ball in the strike zone |
| Velocity (mph) | How fast a pitch is traveling during flight |
| Spin rate (rpm) | The rate at which the ball spins during flight |
| Biomechanical Variable | Standardized Coefficient (β) | Standard Error | p-Value (CI) |
|---|---|---|---|
| Command | |||
| Forearm peak resultant acceleration (m/s2) | 0.008 | 0.003 | 0.010 (0.002–0.001) |
| Ball velocity (mph) | |||
| Time of peak rotational separation of the torso and pelvis (s) | 3.82 | 1.56 | 0.016 (0.73–6.91) |
| Peak acceleration of the forearm (m/s2) | 0.01 | 0.00 | <0.001 (0.01–0018) |
| Peak rotation rate of the torso about vertical (°/s) | 0.03 | 0.00 | <0.001 (0.03–0.04) |
| Peak rotational separation of the torso and pelvis (°) | 0.29 | 0.03 | <0.001 (0.24–0.34) |
| Orientation of upper arm relative to vertical at foot strike (°) | 0.16 | 0.02 | <0.001 (0.11–0.20) |
| Peak torso angular acceleration about vertical (°/s2) | 0.00 | 0.00 | <0.001 (0.001–0.002) |
| Peak rotation rate of the pelvis about vertical (°/s) | 0.01 | 0.00 | 0.002 (0.01–0.02) |
| Time of peak pelvis rotation rate relative to foot strike (s) | −62.59 | 21.84 | 0.005(−105.71–−19.47) |
| Orientation of forearm relative to vertical at foot strike (°) | −0.06 | 0.01 | <0.001 (−0.09–−0.03) |
| Time of ball release relative to foot strike (s) | −66.15 | 27.36 | 0.017 (−12,017–−12.13) |
| 1 | 2 | 3 | 4 | 5 | |
|---|---|---|---|---|---|
| Orientation of forearm relative to vertical at foot strike (°) | 28.1 ± 21.4 | 26.7 ± 28.4 | 28.5 ± 26.7 | 29.3 ± 27.1 | 31.4 ± 26.1 |
| Orientation of upper arm relative to vertical at foot strike (°) | 6.6 ±10.6 | 3.9 ± 15.8 | 4.4 ± 16.6 | −0.1 ± 17.8 | 5.04 ± 16.1 |
| Foot orientation at foot strike (°) | 6.9 ± 6.8 | 5.9 ± 7.46 | 6.92 ± 7.78 | 6.03 ± 6.8 | 7.1 ± 6.2 |
| Peak rotational separation of the torso and pelvis (°) | 39.7 ± 23.6 | 38.7 ± 25.2 | 35.7 ± 20.9 | 37.8 ± 22.7 | 34.7 ± 22.8 |
| Peak acceleration of the forearm (m/s2) | 1237.9 ± 172.5 | 1319.8 ± 214.0 | 1314.5 ± 249.0 | 1349.5 ± 240.0 | 1345.7 ± 179.9 |
| Peak acceleration of the upper arm (m/s2) | 1027.4 ± 175.6 | 1025.0 ± 189.0 | 1021.7 ± 172.9 | 1021.7 ± 172.9 | 1083.0 ± 222.7 |
| Peak rotation rate of the torso about vertical (°/s) | 891.9 ± 300.9 | 877.3 ± 305.1 | 920.9 ± 259.8 | 897.4 ± 299.6 | 898.6 ± 262.8 |
| Peak rotation rate of the pelvis about vertical (°/s) | 736.7 ± 72.7 | 740.0 ± 121.4 | 747.4 ± 117.6 | 759.1 ± 138.4 | 735.1 ± 93.7 |
| Peak pelvis angular acceleration about vertical (°/s2) | 6624.8 ± 1295.9 | 6503.0 ± 1641.0 | 6905.8 ± 1642.2 | 6825.3 ± 751.5 | 6477.2 ± 1267.1 |
| Peak torso angular acceleration about vertical (°/s2) | 8534.1 ± 3105.2 | 8803.8 ± 3672.2 | 9223.0 ± 3333.6 | 9219.8 ± 4062.5 | 8832.1 ± 3135.0 |
| Time of ball release relative to foot strike (s) | 0.2 ± 0.1 | 0.16 ± 0.01 | 0.2 ± 0.01 | 0.2 ±0.01 | 0.2 ± 0.01 |
| Stride time (s) | 0.5 ± 0.2 | 0.5 ± 0.1 | 0.5 ± 0.2 | 0.5 ± 0.1 | 0.4 ± 0.4 |
| Time of peak upper arm acceleration relative to foot strike (s) | 0.2 ± 0.02 | 0.2 ± 0.02 | 0.2 ± 0.02 | 0.2 ± 0.02 | 0.2 ± 0.02 |
| Time of peak rotational separation of the torso and pelvis (s) | 0.002 ± 0.05 | −0.01± 0.1 | −0.01 ± 0.1 | −0.02 ±0.2 | −0.05 ± 0.2 |
| Time of peak pelvis rotational acceleration relative to foot strike (s) | −0.03 ± 0.04 | −0.04 ± 0.03 | −0.03 ± 0.03 | −0.04 ± 0.04 | −0.04 ± 0.03 |
| Time of peak torso rotational acceleration relative to foot strike (s) | −0.07 ± 0.2 | −0.06 ± 0.2 | −0.04 ± 0.2 | −0.06 ± 0.2 | −0.05 ± 0.2 |
| Time of peak pelvis rotation rate relative to foot strike (s) | 0.05 ± 0.01 | 0.04 ± 0.02 | 0.04 ± 0.02 | 0.04 ± 0.02 | 0.04 ± 0.02 |
| Time of peak torso rotation rate relative to foot strike (s) | 0.02 ± 0.1 | −0.002 ± 0.2 | 0.02 ± 0.2 | −0.01 ± 0.2 | 0.02 ± 0.1 |
| Pitch Command Level | |||||
|---|---|---|---|---|---|
| 1 | 2 | 3 | 4 | 5 | |
| Vertical break | 2.6 ± 8.1 | 4.3 ± 9.3 | 5.8 ± 8.8 | 7.6 ± 8.6 | 7.3 ± 11.0 |
| Horizontal break | −1.2 ± 7.3 | −0.5 ± 8.9 | 0.7 ± 9.2 | −0.1 ± 10.9 | −0.9 ± 10.5 |
| Strike index (x-axis) | −0.5 ± 15.5 | 0.7 ± 16.1 | −0.3 ± 13.1 | −0.9 ± 10.8 | 0.8 ± 8.8 |
| Strike index (y-axis) | 20.3 ± 20.9 | 24.5 ± 18.6 | 23.9 ± 13.3 | 24.0 ± 9.5 | 21.7 ± 8.2 |
Publisher’s Note: MDPI stays neutral with regard to jurisdictional claims in published maps and institutional affiliations. |
© 2022 by the authors. Licensee MDPI, Basel, Switzerland. This article is an open access article distributed under the terms and conditions of the Creative Commons Attribution (CC BY) license (https://creativecommons.org/licenses/by/4.0/).
Share and Cite
Agresta, C.; Freehill, M.T.; Nakamura, B.; Guadagnino, S.; Cain, S.M. Using Sensors for Player Development: Assessing Biomechanical Factors Related to Pitch Command and Velocity. Sensors 2022, 22, 8488. https://doi.org/10.3390/s22218488
Agresta C, Freehill MT, Nakamura B, Guadagnino S, Cain SM. Using Sensors for Player Development: Assessing Biomechanical Factors Related to Pitch Command and Velocity. Sensors. 2022; 22(21):8488. https://doi.org/10.3390/s22218488
Chicago/Turabian StyleAgresta, Cristine, Michael T. Freehill, Bryson Nakamura, Samuel Guadagnino, and Stephen M. Cain. 2022. "Using Sensors for Player Development: Assessing Biomechanical Factors Related to Pitch Command and Velocity" Sensors 22, no. 21: 8488. https://doi.org/10.3390/s22218488
APA StyleAgresta, C., Freehill, M. T., Nakamura, B., Guadagnino, S., & Cain, S. M. (2022). Using Sensors for Player Development: Assessing Biomechanical Factors Related to Pitch Command and Velocity. Sensors, 22(21), 8488. https://doi.org/10.3390/s22218488

