Dynamic Design of a Quad-Stable Piezoelectric Energy Harvester via Bifurcation Theory
Abstract
1. Introduction
2. Modeling Analysis and Numerical Calculation
2.1. Structural Description
2.2. Static Equilibra
3. Dynamic Analyze and Bifurcation Investigation
3.1. Primary Amplitude–Frequency Curve
3.2. Amplitude Bifurcation
4. Experiment Research
4.1. Experimental Setup
4.2. Characterization
5. Conclusions
- (1)
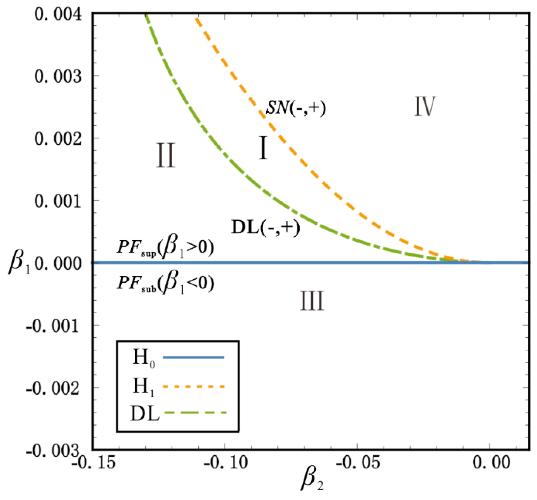
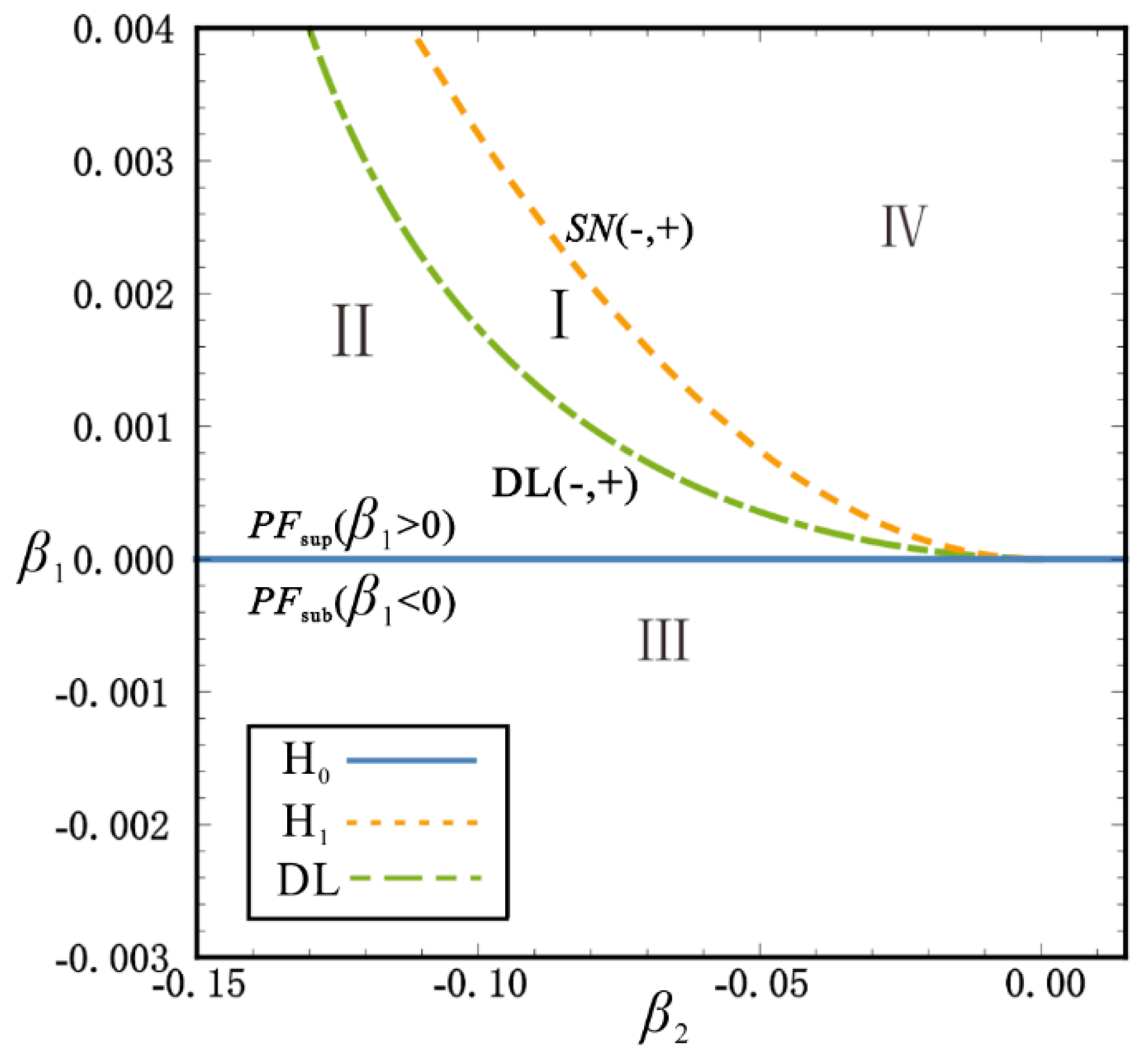
- In view of complex irrational resilience, the corresponding universal unfolding for static bifurcation analysis are determined and the parameter space of the four steady states is revealed. Bifurcation modes for each state are described in detail, including three different static bifurcation points (i.e., supercritical pitchfork bifurcation, subcritical pitchfork bifurcation, and saddle node bifurcation).
- (2)
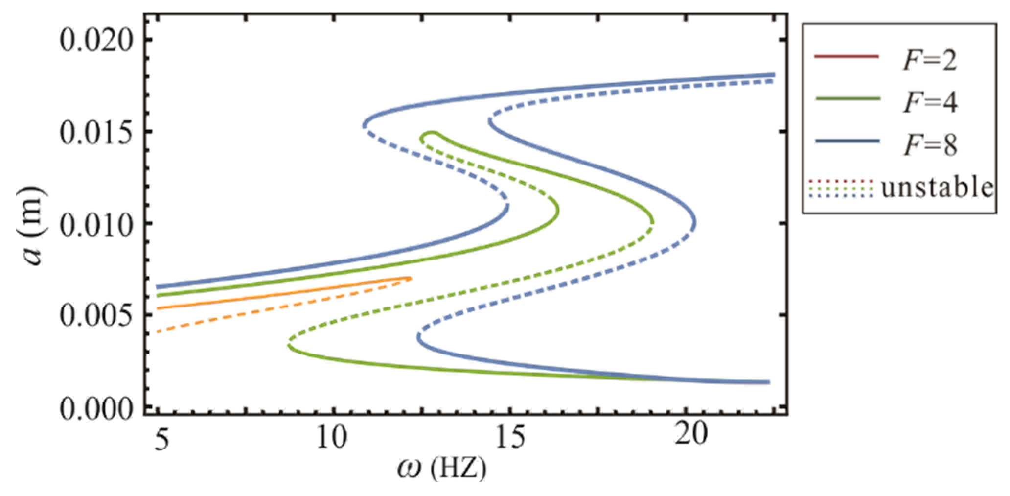
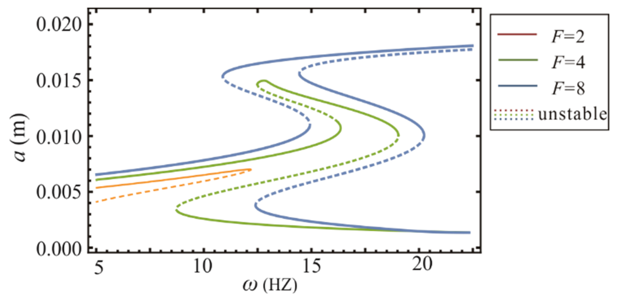
- The parameter spaces of 31 persistent sets and 47 critical states are determined. From the amplitude–frequency response curve, we found that the presence of the hysteresis set may provide additional periodic solutions, and the double limit point set may enable the movement and expansion of a certain hardening or softening characteristic frequency band. These independent bifurcation modes bring more potential for the design of the energy harvester.
- (3)
- The experimental results show that the output power of the prototype can reach 1.02 mW at the optimum parameters. Such power is sufficient to supply most micro-power electronics and makes it possible to realize the next generation of self-powered technology.
Author Contributions
Funding
Institutional Review Board Statement
Informed Consent Statement
Data Availability Statement
Conflicts of Interest
References
- Hurlebaus, S.; Gaul, L. Smart structure dynamics. Mech. Syst. Signal Process. 2006, 20, 255–281. [Google Scholar] [CrossRef]
- Khaligh, A.; Peng, Z.; Cong, Z. Kinetic Energy Harvesting Using Piezoelectric and Electromagnetic Technologies—State of the Art. IEEE Trans. Ind. Electron. 2010, 57, 850–860. [Google Scholar] [CrossRef]
- Liu, H.; Zhong, J.; Lee, C.; Lee, S.-W.; Lin, L. A comprehensive review on piezoelectric energy harvesting technology: Materials, mechanisms, and applications. Appl. Phys. Rev. 2018, 5, 041306. [Google Scholar] [CrossRef]
- Shahruz, S.M. Design of mechanical band-pass filters for energy scavenging. J. Sound Vib. 2006, 292, 987–998. [Google Scholar] [CrossRef]
- Shahruz, S.M. Limits of performance of mechanical band-pass filters used in energy scavenging. J. Sound Vib. 2006, 293, 449–461. [Google Scholar] [CrossRef]
- Roundy, S. On the effectiveness of vibration-based energy harvesting. J. Intell. Mater. Syst. Struct. 2005, 16, 809–823. [Google Scholar] [CrossRef]
- Leland, E.S.; Wright, P.K. Resonance tuning of piezoelectric vibration energy scavenging generators using compressive axial preload. Smart Mater. Struct. 2006, 15, 1413–1420. [Google Scholar] [CrossRef]
- Cottone, F.; Vocca, H.; Gammaitoni, L. Nonlinear energy harvesting. Phys. Rev. Lett. 2009, 102, 080601. [Google Scholar] [CrossRef]
- Erturk, A.; Inman, D.J. Broadband piezoelectric power generation on high-energy orbits of the bistable Duffing oscillator with electromechanical coupling. J. Sound Vib. 2011, 330, 2339–2353. [Google Scholar] [CrossRef]
- Wang, Z.; Wang, W.; Tang, L.; Tian, R.; Wang, C.; Zhang, Q.; Liu, C.; Gu, F.; Ball, A.D. A piezoelectric energy harvester for freight train condition monitoring system with the hybrid nonlinear mechanism. Mech. Syst. Signal Process. 2022, 180, 109403. [Google Scholar] [CrossRef]
- Yang, Z.; Zu, J. High-efficiency compressive-mode energy harvester enhanced by a multi-stage force amplification mechanism. Energy Convers. Manag. 2014, 88, 829–833. [Google Scholar] [CrossRef]
- Fan, K.; Tan, Q.; Zhang, Y.; Liu, S.; Cai, M.; Zhu, Y. A monostable piezoelectric energy harvester for broadband low-level excitations. Appl. Phys. Lett. 2018, 112, 123901. [Google Scholar] [CrossRef]
- Wang, J.; Zhou, S.; Zhang, Z.; Yurchenko, D. High-performance piezoelectric wind energy harvester with Y-shaped attachments. Energy Convers. Manag. 2019, 181, 645–652. [Google Scholar] [CrossRef]
- Ambrozkiewicz, B.; Czyz, Z.; Karpinski, P.; Staczek, P.; Litak, G.; Grabowski, L. Ceramic-Based Piezoelectric Material for Energy Harvesting Using Hybrid Excitation. Materials 2021, 14, 5816. [Google Scholar] [CrossRef]
- Zou, H.-X.; Zhang, W.-M.; Li, W.-B.; Hu, K.-M.; Wei, K.-X.; Peng, Z.-K.; Meng, G. A broadband compressive-mode vibration energy harvester enhanced by magnetic force intervention approach. Appl. Phys. Lett. 2017, 110, 163904. [Google Scholar] [CrossRef]
- Stanton, S.C.; McGehee, C.C.; Mann, B.P. Nonlinear dynamics for broadband energy harvesting: Investigation of a bistable piezoelectric inertial generator. Phys. D Nonlinear Phenom. 2010, 239, 640–653. [Google Scholar] [CrossRef]
- Wang, J.; Geng, L.; Zhou, S.; Zhang, Z.; Lai, Z.; Yurchenko, D. Design, modeling and experiments of broadband tristable galloping piezoelectric energy harvester. Acta Mech. Sin. 2020, 36, 592–605. [Google Scholar] [CrossRef]
- Zhou, S.; Zuo, L. Nonlinear dynamic analysis of asymmetric tristable energy harvesters for enhanced energy harvesting. Commun. Nonlinear Sci. Numer. Simul. 2018, 61, 271–284. [Google Scholar] [CrossRef]
- Wang, C.; Zhang, Q.; Wang, W.; Feng, J. A low-frequency, wideband quad-stable energy harvester using combined nonlinearity and frequency up-conversion by cantilever-surface contact. Mech. Syst. Sig. Process. 2018, 112, 305–318. [Google Scholar] [CrossRef]
- Wang, C.; Zhang, Q.; Wang, W. Wideband quin-stable energy harvesting via combined nonlinearity. AIP Adv. 2017, 7, 045314. [Google Scholar] [CrossRef]
- Qian, F.; Hajj, M.R.; Zuo, L. Bio-inspired bi-stable piezoelectric harvester for broadband vibration energy harvesting. Energy Convers. Manag. 2020, 222, 113174. [Google Scholar] [CrossRef]
- Cottone, F.; Gammaitoni, L.; Vocca, H.; Ferrari, M.; Ferrari, V. Piezoelectric buckled beams for random vibration energy harvesting. Smart Mater. Struct. 2012, 21, 035021. [Google Scholar] [CrossRef]
- Zhou, J.; Zhao, X.; Wang, K.; Chang, Y.; Xu, D.; Wen, G. Bio-inspired bistable piezoelectric vibration energy harvester: Design and experimental investigation. Energy 2021, 228, 120595. [Google Scholar] [CrossRef]
- Younesian, D.; Alam, M.-R. Multi-stable mechanisms for high-efficiency and broadband ocean wave energy harvesting. Appl. Energy 2017, 197, 292–302. [Google Scholar] [CrossRef]
- Yang, T.; Cao, Q. Dynamics and performance evaluation of a novel tristable hybrid energy harvester for ultra-low level vibration resources. Int. J. Mech. Sci. 2019, 156, 123–136. [Google Scholar] [CrossRef]
- Tian, R.; Wang, T.; Yang, X.; Zhang, Y.; Yuan, K. New force transmissibility and optimization for a nonlinear dynamic vibration absorber. Eur. Phys. J. Spec. Top. 2022, 231, 2359–2370. [Google Scholar] [CrossRef]
- Wang, T.; Tian, R.; Yang, X.; Zhang, Z.; Zhang, X.; Filippi, M. A Novel Dynamic Absorber with Variable Frequency and Damping. Shock Vib. 2021, 2021, 8833089. [Google Scholar] [CrossRef]
- Fan, K.; Tan, Q.; Liu, H.; Zhang, Y.; Cai, M. Improved energy harvesting from low-frequency small vibrations through a monostable piezoelectric energy harvester. Mech. Syst. Signal Process. 2019, 117, 594–608. [Google Scholar] [CrossRef]
- Mei, X.; Zhou, R.; Yang, B.; Zhou, S.; Nakano, K. Combining magnet-induced nonlinearity and centrifugal softening effect to realize high-efficiency energy harvesting in ultralow-frequency rotation. J. Sound Vib. 2021, 505, 116146. [Google Scholar] [CrossRef]
- Zhang, H.; Zhang, L.; Li, X.; Wang, D.; Liu, T. Singularity analysis on the periodic response of a symmetrical MEMS gyroscope. Nonlinear Dyn. 2022, 110, 1129–1149. [Google Scholar] [CrossRef]
- Zhang, H.; Li, X.; Zhang, L. Bifurcation Analysis of a Micro-Machined Gyroscope with Nonlinear Stiffness and Electrostatic Forces. Micromachines 2021, 12, 107. [Google Scholar] [CrossRef] [PubMed]
- Zhang, H.; Zhang, L.; Li, X.; Wang, D.; Liu, T. Bifurcation Analysis on the Periodic Response of a Comb Drive MEMS Resonator. Micromachines 2022, 13, 148. [Google Scholar] [CrossRef] [PubMed]
- Hou, L.; Su, X.; Chen, Y. Bifurcation Modes of Periodic Solution in a Duffing System Under Constant Force as Well as Harmonic Excitation. Int. J. Bifurc. Chaos 2019, 29, 1950173. [Google Scholar] [CrossRef]
- Chen, Y.; Leung, A. Book Review on Bifurcation and Chaos in Engineering. Appl. Math. Mech. 2000, 21, i–ii. [Google Scholar]
- Golubitsky, M. Singularities and Groups in Bifurcation Theory; Springer Science & Business Media: Berlin/Heidelberg, Germany, 1988. [Google Scholar]
- Wang, Z.; Wang, W.; Zhang, Q.; Gu, F.; David Ball, A.; Qiu, J.; Xiong, K.; Ji, H. Analysis of nonlinear vibration energy harvesters using a complex dynamic frequency method. Int. J. Appl. Electromagn. Mech. 2020, 64, 1555–1562. [Google Scholar] [CrossRef]
- Qichang, Z.; Yang, Y.; Wei, W. Theoretical Study on Widening Bandwidth of Piezoelectric Vibration Energy Harvester with Nonlinear Characteristics. Micromachines 2021, 12, 1301. [Google Scholar] [CrossRef] [PubMed]
- Han, J.; Li, L.; Jin, G.; Li, B.; Wang, W.; Zhang, Q. Nonlinear mechanism of pull-in and snap-through in microbeam due to asymmetric bias voltages. Nonlinear Dyn. 2020, 102, 19–44. [Google Scholar] [CrossRef]











Publisher’s Note: MDPI stays neutral with regard to jurisdictional claims in published maps and institutional affiliations. |
© 2022 by the authors. Licensee MDPI, Basel, Switzerland. This article is an open access article distributed under the terms and conditions of the Creative Commons Attribution (CC BY) license (https://creativecommons.org/licenses/by/4.0/).
Share and Cite
Zhang, Q.; Yan, Y.; Han, J.; Hao, S.; Wang, W. Dynamic Design of a Quad-Stable Piezoelectric Energy Harvester via Bifurcation Theory. Sensors 2022, 22, 8453. https://doi.org/10.3390/s22218453
Zhang Q, Yan Y, Han J, Hao S, Wang W. Dynamic Design of a Quad-Stable Piezoelectric Energy Harvester via Bifurcation Theory. Sensors. 2022; 22(21):8453. https://doi.org/10.3390/s22218453
Chicago/Turabian StyleZhang, Qichang, Yucheng Yan, Jianxin Han, Shuying Hao, and Wei Wang. 2022. "Dynamic Design of a Quad-Stable Piezoelectric Energy Harvester via Bifurcation Theory" Sensors 22, no. 21: 8453. https://doi.org/10.3390/s22218453
APA StyleZhang, Q., Yan, Y., Han, J., Hao, S., & Wang, W. (2022). Dynamic Design of a Quad-Stable Piezoelectric Energy Harvester via Bifurcation Theory. Sensors, 22(21), 8453. https://doi.org/10.3390/s22218453

