Cost-Driven Design of Printed Wideband Antennas with Reduced Silver Ink Consumption for the Internet of Things
Abstract
1. Introduction
2. Materials and Methods
2.1. Nanoparticle Silver Ink
2.2. Substrate Characterization
2.3. Manufacturing Process
2.4. Electromagnetic Modeling
3. Antenna Design
3.1. Design Requirements
3.2. Antenna Topology
3.2.1. Unmeshed Antenna
3.2.2. Meshed Antenna
4. Results and Discussion
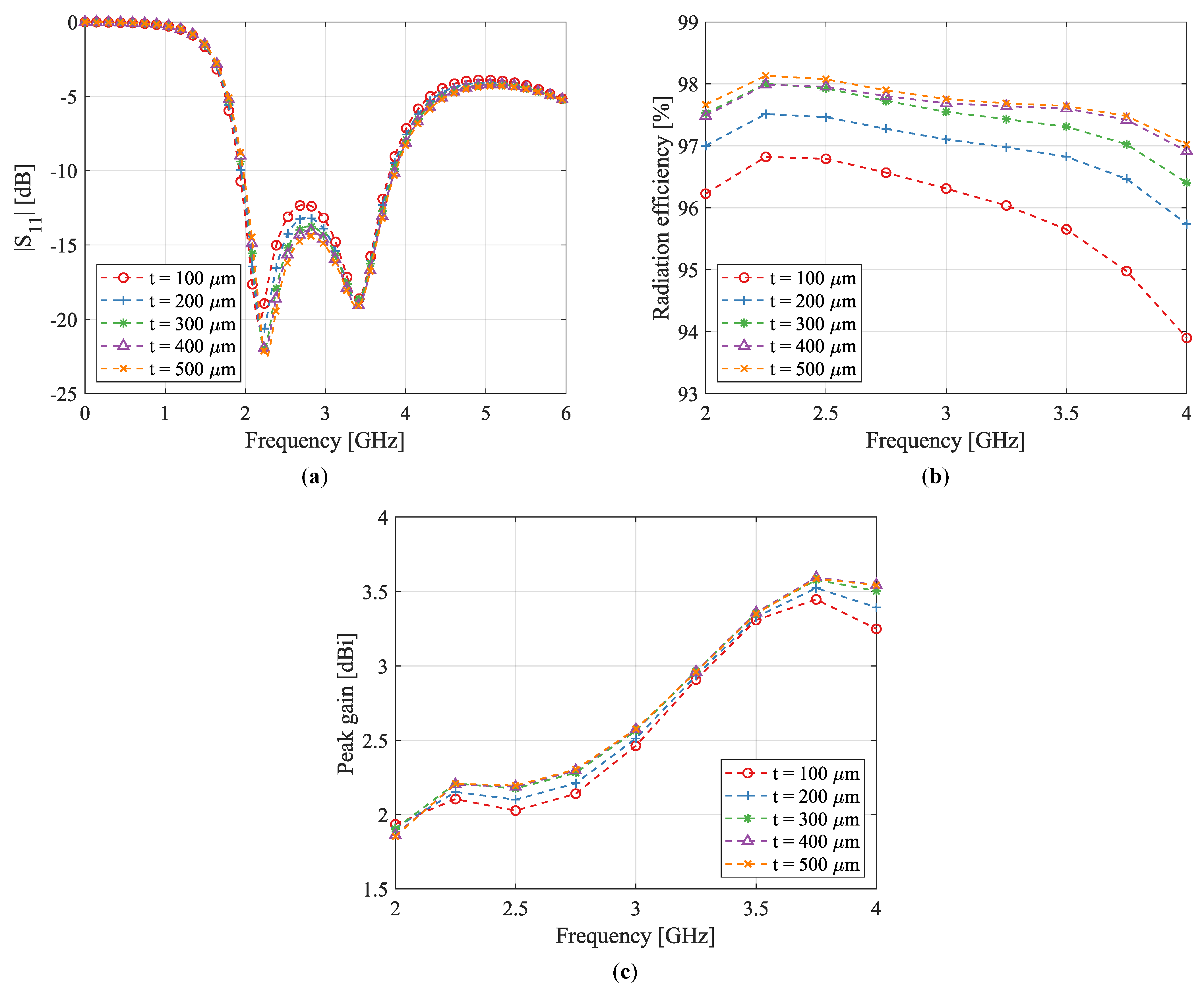
4.1. Determination of Optimal Mesh Line Width
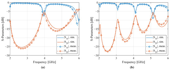
4.2. Experimental Comparison of All Prototypes
4.3. Radiation Performance of Prototype I (P-I)
4.4. Radiation Performance of Prototype IV (P-IV)
5. Conclusions
Author Contributions
Funding
Institutional Review Board Statement
Informed Consent Statement
Data Availability Statement
Conflicts of Interest
Abbreviations
| AUT | Antenna under test |
| CPR | Coplanar resonator |
| CPW | Coplanar waveguide |
| DGS | Defected ground structure |
| FD | Frequency domain |
| IoT | Internet of Things |
| ISM | Industrial, scientific and medical |
| MMF | Metal mesh film |
| PET | Polyethylene terephthalate |
| RF | Radio frequency |
| RFID | Radio frequency identification |
| UHD | Ultra-high definition |
| UV | Ultraviolet |
| UWB | Ultra-wideband |
| VNA | Vector network analyzer |
References
- Al-Fuqaha, A.; Guizani, M.; Mohammadi, M.; Aledhari, M.; Ayyash, M. Internet of things: A survey on enabling technologies, protocols, and applications. IEEE Commun. Surv. Tutor. 2015, 17, 2347–2376. [Google Scholar] [CrossRef]
- Picallo, I.; Klaina, H.; Lopez-Iturri, P.; Sánchez, A.; Méndez-Giménez, L.; Falcone, F. Implementation of radiating elements for radiofrequency front-ends by screen-printing techniques for internet of things applications. Sensors 2019, 19, 3626. [Google Scholar] [CrossRef] [PubMed]
- Hussain, N.; Kim, N. Integrated Microwave and mm-Wave MIMO Antenna Module with 360° Pattern Diversity For 5G Internet-of-Things. IEEE Internet Things J. 2022. [Google Scholar] [CrossRef]
- Choo, H. Antenna Design for Microwave and Millimeter Wave Applications: Latest Advances and Prospects. Appl. Sci. 2021, 11, 5556. [Google Scholar] [CrossRef]
- de Cos Gómez, M.E.; Fernández Álvarez, H.; Puerto Valcarce, B.; García González, C.; Olenick, J.; Las-Heras Andrés, F. Zirconia-based ultra-thin compact flexible CPW-fed slot antenna for IoT. Sensors 2019, 19, 3134. [Google Scholar] [CrossRef]
- Awais, Q.; Chattha, H.T.; Jamil, M.; Jin, Y.; Tahir, F.A.; Rehman, M.U. A novel dual ultrawideband CPW-fed printed antenna for Internet of Things (IoT) applications. Wirel. Commun. Mob. Comput. 2018, 2018, 2179571. [Google Scholar] [CrossRef]
- Godlinski, D.; Zichner, R.; Zöllmer, V.; Baumann, R.R. Printing technologies for the manufacturing of passive microwave components: Antennas. IET Microwaves Antennas Propag. 2017, 11, 2010–2015. [Google Scholar] [CrossRef]
- Li, Q.; Zhang, J.; Li, Q.; Li, G.; Tian, X.; Luo, Z.; Qiao, F.; Wu, X.; Zhang, J. Review of printed electrodes for flexible devices. Front. Mater. 2019, 5, 77. [Google Scholar] [CrossRef]
- Machiels, J.; Appeltans, R.; Bauer, D.K.; Segers, E.; Henckens, Z.; Van Rompaey, W.; Adons, D.; Peeters, R.; Geiβler, M.; Kuehnoel, K.; et al. Screen Printed Antennas on Fiber-Based Substrates for Sustainable HF RFID Assisted E-Fulfilment Smart Packaging. Materials 2021, 14, 5500. [Google Scholar] [CrossRef]
- Smith, S.; Oberholzer, A.; Land, K.; Korvink, J.G.; Mager, D. Functional screen printed radio frequency identification tags on flexible substrates, facilitating low-cost and integrated point-of-care diagnostics. Flex. Print. Electron. 2018, 3, 025002. [Google Scholar] [CrossRef]
- Kim, S. Inkjet-printed electronics on paper for RF identification (RFID) and sensing. Electronics 2020, 9, 1636. [Google Scholar] [CrossRef]
- Abutarboush, H.F.; Shamim, A. A reconfigurable inkjet-printed antenna on paper substrate for wireless applications. IEEE Antennas Wirel. Propag. Lett. 2018, 17, 1648–1651. [Google Scholar] [CrossRef]
- Fernández-Salmerón, J.; Rivadeneyra, A.; Martínez-Martí, F.; Capitán-Vallvey, L.F.; Palma, A.J.; Carvajal, M.A. Passive UHF RFID tag with multiple sensing capabilities. Sensors 2015, 15, 26769–26782. [Google Scholar] [CrossRef] [PubMed]
- Whittow, W.G.; Chauraya, A.; Vardaxoglou, J.; Li, Y.; Torah, R.; Yang, K.; Beeby, S.; Tudor, J. Inkjet-printed microstrip patch antennas realized on textile for wearable applications. IEEE Antennas Wirel. Propag. Lett. 2014, 13, 71–74. [Google Scholar] [CrossRef]
- Jaakkola, K.; Ermolov, V.; Karagiannidis, P.; Hodge, S.; Lombardi, L.; Zhang, X.; Grenman, R.; Sandberg, H.; Lombardo, A.; Ferrari, A.C. Screen-printed and spray coated graphene-based RFID transponders. 2D Mater. 2019, 7, 015019. [Google Scholar] [CrossRef]
- Sun, H.; Xiao, G.; Lang, S.; Zhang, Z.; Tao, Y. Screen printed HF RFID antennas on polyethylene terephthalate film. IEEE J. Radio Freq. Identif. 2019, 3, 91–97. [Google Scholar] [CrossRef]
- Rosker, E.S.; Sandhu, R.; Hester, J.; Goorsky, M.S.; Tice, J. Printable materials for the realization of high performance RF components: Challenges and opportunities. Int. J. Antennas Propag. 2018. [Google Scholar] [CrossRef]
- Ostfeld, A.E.; Deckman, I.; Gaikwad, A.M.; Lochner, C.M.; Arias, A.C. Screen printed passive components for flexible power electronics. Sci. Rep. 2015, 5, 15959. [Google Scholar] [CrossRef]
- Khan, S.; Lorenzelli, L.; Dahiya, R.S. Technologies for printing sensors and electronics over large flexible substrates: A review. IEEE Sens. J. 2014, 15, 3164–3185. [Google Scholar] [CrossRef]
- Cummins, G.; Desmulliez, M.P. Inkjet printing of conductive materials: A review. Circuit World 2012, 38, 193–213. [Google Scholar] [CrossRef]
- Islam, M.T.; Alam, T.; Yahya, I.; Cho, M. Flexible radio-frequency identification (RFID) tag antenna for sensor applications. Sensors 2018, 18, 4212. [Google Scholar] [CrossRef] [PubMed]
- Mo, L.; Guo, Z.; Yang, L.; Zhang, Q.; Fang, Y.; Xin, Z.; Chen, Z.; Hu, K.; Han, L.; Li, L. Silver nanoparticles based ink with moderate sintering in flexible and printed electronics. Int. J. Mol. Sci. 2019, 20, 2124. [Google Scholar] [CrossRef]
- Kirtania, S.G.; Younes, B.A.; Hossain, A.R.; Karacolak, T.; Sekhar, P.K. CPW-Fed Flexible Ultra-Wideband Antenna for IoT Applications. Micromachines 2021, 12, 453. [Google Scholar] [CrossRef] [PubMed]
- Abutarboush, H.F.; Li, W.; Shamim, A. Flexible-Screen-Printed Antenna with Enhanced Bandwidth by Employing Defected Ground Structure. IEEE Antennas Wirel. Propag. Lett. 2020, 19, 1803–1807. [Google Scholar] [CrossRef]
- Lamminen, A.; Arapov, K.; de With, G.; Haque, S.; Sandberg, H.G.; Friedrich, H.; Ermolov, V. Graphene-flakes printed wideband elliptical dipole antenna for low-cost wireless communications applications. IEEE Antennas Wirel. Propag. Lett. 2017, 16, 1883–1886. [Google Scholar] [CrossRef]
- Sidén, J.; Fein, M.; Koptyug, A.; Nilsson, H.E. Printed antennas with variable conductive ink layer thickness. IET Microwaves Antennas Propag. 2007, 1, 401–407. [Google Scholar] [CrossRef]
- Sidén, J.; Olsson, T.; Koptioug, A.; Nilsson, H.E. Reduced amount of conductive ink with gridded printed antennas. In Proceedings of the Polytronic 2005–5th International Conference on Polymers and Adhesives in Microelectronics and Photonics, Warsaw, Poland, 23–26 October 2005; pp. 86–89. [Google Scholar]
- Ta, S.X.; Nguyen, K.K.; Dao-Ngoc, C.; Nguyen-Trong, N. Single-Layer, Dual-Band, Circularly Polarized, Proximity-Fed Meshed Patch Antenna. IEEE Access 2022, 10, 94560–94567. [Google Scholar]
- Tung, P.D.; Jung, C.W. Optically transparent wideband dipole and patch external antennas using metal mesh for UHD TV applications. IEEE Trans. Antennas Propag. 2019, 68, 1907–1917. [Google Scholar] [CrossRef]
- Yu, S.; Lee, S.; Lee, H.; Park, Y.B. Study of Mesh Pattern for Optically Transparent Flexible Antenna with Feedline. Appl. Sci. 2021, 11, 10002. [Google Scholar] [CrossRef]
- Zhang, Y.; Shen, S.; Chiu, C.Y.; Murch, R. Hybrid RF-solar energy harvesting systems utilizing transparent multiport micromeshed antennas. IEEE Trans. Microw. Theory Tech. 2019, 67, 4534–4546. [Google Scholar] [CrossRef]
- Xi, B.; Liang, X.; Chen, Q.; Wang, K.; Geng, J.; Jin, R. Optical transparent antenna array integrated with solar cell. IEEE Antennas Wirel. Propag. Lett. 2020, 19, 457–461. [Google Scholar] [CrossRef]
- Declercq, F.; Rogier, H.; Hertleer, C. Permittivity and loss tangent characterization for garment antennas based on a new matrix-pencil two-line method. IEEE Trans. Antennas Propag. 2008, 56, 2548–2554. [Google Scholar] [CrossRef]
- Simons, R.N. Coplanar Waveguide Circuits, Components, and Systems; John Wiley & Sons: Hoboken, NJ, USA, 2004; Volume 165. [Google Scholar]
- Suherman, P.M.; Jackson, T.J.; Lancaster, M.J. Comparison of techniques for microwave characterization of BST thin films. IEEE Trans. Microw. Theory Tech. 2007, 55, 397–401. [Google Scholar] [CrossRef]
- Pozar, D.M. Microwave Engineering; John Wiley & Sons: Hoboken, NJ, USA, 2011. [Google Scholar]
- De Cos, M.; Las-Heras, F. Polypropylene-based dual-band CPW-fed monopole antenna [antenna applications corner]. IEEE Antennas Propag. Mag. 2013, 55, 264–273. [Google Scholar] [CrossRef]
- Clasen, G.; Langley, R. Meshed patch antennas. IEEE Trans. Antennas Propag. 2004, 52, 1412–1416. [Google Scholar] [CrossRef]















| Antenna Prototype | No. of Ground Holes | No. of Patch Holes | Patch Hole Width [mm] | Patch Hole Length [mm] |
|---|---|---|---|---|
| P-II | (8 × 5) | (10 × 16) | 2.22 | 2.18 |
| P-III | (8 × 5) | (16 × 20) | 1.35 | 1.72 |
| P-IV | (8 × 5) | (20 × 32) | 1.06 | 1.04 |
| Antenna Prototype | Dimensions [mm] | Ink Surface Area [cm2] | Ink/Total Surface Ratio [%] | Ink Reduction () * [%] | Covered Frequencies [GHz] † |
|---|---|---|---|---|---|
| P-I | 36.10 × 61.80 | 12.97 | 58.1 | - | 1.75–3.81 |
| P-II | 34.76 × 58.03 | 1.77 | 8.8 | 85.8 | 1.75–2.35 3.18–4.04 |
| P-III | 34.76 × 58.03 | 2.07 | 10.3 | 83.2 | 1.88–2.53 2.99–3.66 |
| P-IV | 34.76 × 58.03 | 2.46 | 12.2 | 79.8 | 1.88–4.10 |
| Ref. | Printing Technology | Substrate Type | Dimensions [mm] | Dimensions w.r.t. [-] * | Covered Frequencies [GHz] | Peak Rad. Eff. [%] | Peak Gain [dBi] | Ink Surface Area [cm2] † | Ink/Total Surface Ratio [%] |
|---|---|---|---|---|---|---|---|---|---|
| [5] | Inkjet printing | Ceramic | 66.00 × 62.00 | 0.60 × 0.56 1.29 × 1.21 | 2.48–2.94 (17.0%) 4.87–6.82 (33.4%) | 88 86 | 5.2 4.6 | 24.93 | 60.9 |
| [23] | Inkjet printing | PET | 47.00 × 25.00 | 1.08 × 0.57 2.60 × 1.38 | 3.04–10.70 (111.7%) 15.20–18.00 (16.9%) | 98 95 | 4.3 5.7 | 5.89 | 50.2 |
| [24] | Screen printing | Kapton | 40.00 × 55.00 | 0.58 × 0.80 | 1.77–6.95 (118.8%) | 90 | 5.9 | 9.79 | 44.5 |
| [25] | Screen printing | PET | 60.00 × 50.00 | 0.70 × 0.58 | 2.00–5.00 (85.7%) | 86 | 2.0 | 14.26 | 47.5 |
| This work ‡ | Screen printing | PET | 34.76 × 58.03 | 0.35 × 0.58 | 1.88–4.10 (74.2%) | 97.5 | 3.3 | 2.46 | 12.2 |
Publisher’s Note: MDPI stays neutral with regard to jurisdictional claims in published maps and institutional affiliations. |
© 2022 by the authors. Licensee MDPI, Basel, Switzerland. This article is an open access article distributed under the terms and conditions of the Creative Commons Attribution (CC BY) license (https://creativecommons.org/licenses/by/4.0/).
Share and Cite
Claus, N.; Verhaevert, J.; Rogier, H. Cost-Driven Design of Printed Wideband Antennas with Reduced Silver Ink Consumption for the Internet of Things. Sensors 2022, 22, 7929. https://doi.org/10.3390/s22207929
Claus N, Verhaevert J, Rogier H. Cost-Driven Design of Printed Wideband Antennas with Reduced Silver Ink Consumption for the Internet of Things. Sensors. 2022; 22(20):7929. https://doi.org/10.3390/s22207929
Chicago/Turabian StyleClaus, Nicolas, Jo Verhaevert, and Hendrik Rogier. 2022. "Cost-Driven Design of Printed Wideband Antennas with Reduced Silver Ink Consumption for the Internet of Things" Sensors 22, no. 20: 7929. https://doi.org/10.3390/s22207929
APA StyleClaus, N., Verhaevert, J., & Rogier, H. (2022). Cost-Driven Design of Printed Wideband Antennas with Reduced Silver Ink Consumption for the Internet of Things. Sensors, 22(20), 7929. https://doi.org/10.3390/s22207929

