Physics-Based Forward Modeling of Ocean Surface Swell Effects on SMAP L1-C NRCS Observations †
Abstract
1. Introduction
2. Backscatter NRCS Model
2.1. Two-Scale (Composite) Model (TSM)
2.2. Small Slope Approximation for Cross-Polarization
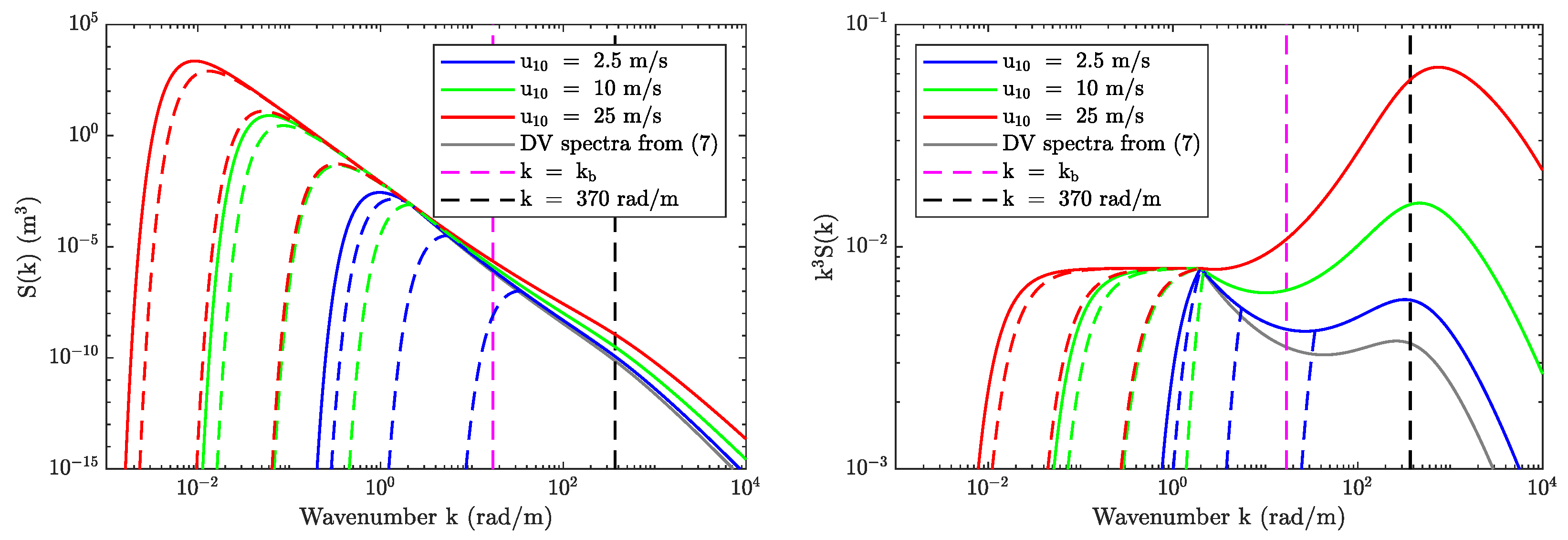
2.3. 2D Wind-Driven Sea Surface Spectrum
2.4. Combined Wind and Swell Model
3. Data Sources
3.1. SMAP Mission and L1-C SAR High-Resolution Radar Data
3.2. NOAA WW3 Data
3.3. NDBC 2D Buoy Spectra
4. SMAP Data Processing and Wind-Driven Model Predictions
5. Calculating Swell-Only Mean-Square Slopes (MSS)
5.1. 1D Normalized Swell Spectrum
5.2. Swell Spreading Function
5.3. 2D Swell Spectrum
6. Results, Additional Refinements, and Discussion
6.1. Fetch-Limited Seas
6.2. Durden–Vesecky Spectrum Modifications
6.3. Results and Discussion
7. Conclusions
Author Contributions
Funding
Institutional Review Board Statement
Informed Consent Statement
Data Availability Statement
Conflicts of Interest
References
- Apel, J.R. Principles of Ocean Physics, 5th ed.; Academic Press: London, UK, 1999; Volume 38. [Google Scholar]
- Dickey, T.D. The Emergence of Concurrent High-Resolution Physical and Bio-Optical Measurements in the Upper Ocean and their Applications. Rev. Geophys. 1991, 29, 383–413. [Google Scholar] [CrossRef]
- Wright, J. A New Model for Sea Clutter. IEEE Trans. Antennas Propag. 1968, 16, 217–223. [Google Scholar] [CrossRef]
- Bryan, K. Climate and the Ocean Circulation 3: The Ocean Model. Mon. Weather Rev. 1969, 97, 806–827. [Google Scholar] [CrossRef]
- Tolman, H.L.; Accensi, M.; Alves, J.H.; Ardhuin, F.; Barbariol, F.; Benetazzo, A.; Bennis, A.C.; Bidlot, J.; Booij, N.; Boutin, G.; et al. User Manual and System Documentation of WAVEWATCH III (R) Version 5.16; National Centers for Environmental Prediction: College Park, MD, USA, 2016.
- Part VII: ECMWF Wave Model. In IFS Documentation CY45R1; Number 7 in IFS Documentation; ECMWF: Reading, UK, 2018.
- Zhang, J.; Wang, W.; Guan, C. Analysis of the Global Swell Distributions using ECMWF Re-analyses Wind Wave Data. J. Ocean Univ. China 2011, 10, 325–330. [Google Scholar] [CrossRef]
- Zheng, K.; Sun, J.; Guan, C.; Shao, W. Analysis of the Global Swell and Wind Sea Energy Distribution Using WAVEWATCH III. Adv. Meteorol. 2016, 2016, 8419580. [Google Scholar] [CrossRef]
- Gjevik, B.; Rygg, O.; Krogstad, H.E.; Lygre, A. Long Period Swell Wave Events on the Norwegian Shelf. J. Phys. Oceanogr. 1988, 18, 724–737. [Google Scholar] [CrossRef][Green Version]
- Chen, G.; Chapron, B.; Ezraty, R.; Vandemark, D. A Global View of Swell and Wind Sea Climate in the Ocean by Satellite Altimeter and Scatterometer. J. Atmos. Ocean. Technol. 2002, 19, 1849–1859. [Google Scholar] [CrossRef]
- Collard, F.; Ardhuin, F.; Chapron, B. Persistency of Ocean Swell Fields Observed from Space. arXiv 2008, arXiv:0812.2318. [Google Scholar]
- Guo, J.; He, Y.; Perrie, W.; Shen, H.; Chu, X. A New Model to Estimate Significant Wave Heights with ERS-1/2 Scatterometer Data. Chin. J. Oceanol. Limnol. 2009, 27, 112. [Google Scholar] [CrossRef]
- Hwang, P.A.; Plant, W.J. An Analysis of the Effects of Swell and Surface Roughness Spectra on Microwave Backscatter from the Ocean. J. Geophys. Res. Oceans 2010, 115. [Google Scholar] [CrossRef]
- Valenzuela, G.R. Theories for the Interaction of Electromagnetic and Oceanic Waves—A Review. Bound.-Layer Meteorol. 1978, 13, 61–85. [Google Scholar] [CrossRef]
- Hasselmann, K.; Raney, R.K.; Plant, W.J.; Alpers, W.; Shuchman, R.A.; Lyzenga, D.R.; Rufenach, C.L.; Tucker, M.J. Theory of synthetic aperture radar ocean imaging: A MARSEN view. J. Geophys. Res. Oceans 1985, 90, 4659–4686. [Google Scholar] [CrossRef]
- Swift, C.; Wilson, L. Synthetic Aperture Radar Imaging of Moving Ocean Waves. IEEE Trans. Antennas Propag. 1979, 27, 725–729. [Google Scholar] [CrossRef]
- Alpers, W.R.; Ross, D.B.; Rufenach, C.L. On the Detectability of Ocean Surface Waves by Real and Synthetic Aperture Radar. J. Geophys. Res. Oceans 1981, 86, 6481–6498. [Google Scholar] [CrossRef]
- Hasselmann, K.; Hasselmann, S. On the Nonlinear Mapping of an Ocean Wave Spectrum into a Synthetic Aperture Radar Image Spectrum and its Inversion. J. Geophys. Res. Oceans 1991, 96, 10713–10729. [Google Scholar] [CrossRef]
- Evans, D.L.; Apel, J.; Arvidson, R.; Bindschadler, R.; Carsey, F.; Dozier, J.; Jezek, K.; Kasischke, E.; Li, F.; Melack, J.; et al. Spacebourne Synthetic Aperture Radar: Current Status and Future Directions; Technical Report NASA Technical Memorandum 4679; National Aeronautics and Space Administration: Washington, DC, USA, 1995.
- Entekhabi, D.; Njoku, E.G.; O’Neill, P.E.; Kellogg, K.H.; Crow, W.T.; Edelstein, W.N.; Entin, J.K.; Goodman, S.D.; Jackson, T.J.; Johnson, J.; et al. The Soil Moisture Active Passive (SMAP) Mission. Proc. IEEE 2010, 98, 704–716. [Google Scholar] [CrossRef]
- Wijesundara, S.N.; Johnson, J.T. Swell Effects on Near-Coastal Smap L-Band High-Resolution NRCS Data. In Proceedings of the 2019 IEEE International Geoscience and Remote Sensing Symposium (IGARSS), Yokohama, Japan, 28 July–2 August 2019; pp. 672–675. [Google Scholar]
- Valenzuela, G.R. Scattering of Electromagnetic Waves From a Tilted Slightly Rough Surface. Radio Sci. 1968, 3, 1057–1066. [Google Scholar] [CrossRef]
- Plant, W.J. A Two-Scale Model of Short Wind-Generated Waves and Scatterometry. J. Geophys. Res. Oceans 1986, 91, 10735–10749. [Google Scholar] [CrossRef]
- Johnson, J.T.; Shin, R.T.; Kong, J.A.; Tsang, L.; Pak, K. A Numerical Study of the Composite Surface Model for Ocean Backscattering. IEEE Trans. Geosci. Remote Sens. 1998, 36, 72–83. [Google Scholar] [CrossRef]
- Elfouhaily, T.M.; Guérin, C.A. A Critical Survey of Approximate Scattering Wave Theories from Random Rough Surfaces. Waves Random Media 2004, 14, R1–R40. [Google Scholar] [CrossRef]
- Cox, C.; Munk, W. Measurement of the Roughness of the Sea Surface from Photographs of the Sun’s Glitter. J. Opt. Soc. Am. 1954, 44, 838–850. [Google Scholar] [CrossRef]
- Durden, S.L.; Vesecky, J.F. A Numerical Study of the Separation Wavenumber in the Two-Scale Scattering Approximation. IEEE Trans. Geosci. Remote Sens. 1990, 28, 271–272. [Google Scholar] [CrossRef]
- Brown, G. Backscattering From a Gaussian-Distributed Perfectly Conducting Rough Surface. IEEE Trans. Antennas Propag. 1978, 26, 472–482. [Google Scholar] [CrossRef]
- Lyzenga, D. Effects of wave breaking on SAR signatures observed near the edge of the Gulf Stream. In Proceedings of the 1996 International Geoscience and Remote Sensing Symposium (IGARSS’96), Lincoln, NE, USA, 31 May 1996; Volume 2, pp. 908–910. [Google Scholar]
- Voronovich, A.G.; Zavorotny, V.U. Theoretical model for scattering of radar signals in Ku- and C-bands from a rough sea surface with breaking waves. Waves Random Media 2001, 11, 247–269. [Google Scholar] [CrossRef]
- Hwang, P.A.; Fois, F. Surface roughness and breaking wave properties retrieved from polarimetric microwave radar backscattering. J. Geophys. Res. Oceans 2015, 120, 3640–3657. [Google Scholar] [CrossRef]
- Voronovich, A.G. Wave Scattering from Rough Surfaces; Wave Phenomena; Springer: New York, NY, USA, 1994. [Google Scholar]
- Guérin, C.; Johnson, J.T. A Simplified Formulation for Rough Surface Cross-Polarized Backscattering Under the Second-Order Small-Slope Approximation. IEEE Trans. Geosci. Remote Sens. 2015, 53, 6308–6314. [Google Scholar] [CrossRef]
- Pierson, W.J.; Moskowitz, L. A Proposed Spectral Form for Fully Developed Wind Seas Based on the Similarity Theory of S. A. Kitaigorodskii. J. Geophys. Res. 1964, 69, 5181–5190. [Google Scholar] [CrossRef]
- Hasselmann, K.; Barnett, T.P.; Bouws, E.; Carlson, H.; Cartwright, D.E.; Enke, K.; Ewing, J.A.; Gienapp, H.; Hasselmann, D.E.; Kruseman, P.; et al. Measurements of Wind-Wave Growth and Swell Decay during the Joint North Sea Wave Project (JONSWAP); Technical Report; Deutches Hydrographisches Institute: Hamburg, Germany, 1973.
- Durden, S.; Vesecky, J. A Physical Radar Cross-Section Model for a Wind-Driven Sea with Swell. IEEE J. Ocean. Eng. 1985, 10, 445–451. [Google Scholar] [CrossRef]
- Elfouhaily, T.; Chapron, B.; Katsaros, K.; Vandemark, D. A Unified Directional Spectrum for Long and Short Wind-driven Waves. J. Geophys. Res. Oceans 1997, 102, 15781–15796. [Google Scholar] [CrossRef]
- Yurovskaya, M.V.; Dulov, V.A.; Chapron, B.; Kudryavtsev, V.N. Directional Short Wind Wave Spectra Derived from the Sea Surface Photography. J. Geophys. Res. Oceans 2013, 118, 4380–4394. [Google Scholar] [CrossRef]
- Ryabkova, M.; Karaev, V.; Guo, J.; Titchenko, Y. A Review of Wave Spectrum Models as Applied to the Problem of Radar Probing of the Sea Surface. J. Geophys. Res. Oceans 2019, 124, 7104–7134. [Google Scholar] [CrossRef]
- Hwang, P.A.; Ainsworth, T.L. L-Band Ocean Surface Roughness. IEEE Trans. Geosci. Remote Sens. 2020, 58, 3988–3999. [Google Scholar] [CrossRef]
- Zhou, X.; Chong, J.; Yang, X.; Li, W.; Guo, X. Ocean Surface Wind Retrieval using SMAP L-Band SAR. IEEE J. Sel. Top. Appl. Earth Obs. Remote Sens. 2017, 10, 65–74. [Google Scholar] [CrossRef]
- Yueh, S.H.; Tang, W.; Fore, A.G.; Neumann, G.; Hayashi, A.; Freedman, A.; Chaubell, J.; Lagerloef, G.S.E. L-Band Passive and Active Microwave Geophysical Model Functions of Ocean Surface Winds and Applications to Aquarius Retrieval. IEEE Trans. Geosci. Remote Sens. 2013, 51, 4619–4632. [Google Scholar] [CrossRef]
- Yueh, S.H.; Chaubell, J. Sea Surface Salinity and Wind Retrieval Using Combined Passive and Active L-Band Microwave Observations. IEEE Trans. Geosci. Remote Sens. 2012, 50, 1022–1032. [Google Scholar] [CrossRef]
- Isoguchi, O.; Shimada, M. An L-Band Ocean Geophysical Model Function Derived From PALSAR. IEEE Trans. Geosci. Remote Sens. 2009, 47, 1925–1936. [Google Scholar] [CrossRef]
- Yueh, S.H. Modeling of Wind Direction Signals in Polarimetric Sea Surface Brightness Temperatures. IEEE Trans. Geosci. Remote Sens. 1997, 35, 1400–1418. [Google Scholar] [CrossRef]
- Phillips, O.M. On the Generation of Waves by Turbulent Wind. J. Fluid Mech. 1957, 2, 417–445. [Google Scholar] [CrossRef]
- West, R. Soil Moisture Active Passive (SMAP), Algorithm Theoretical Basis Document (ATBD), SMAP Level 1 Radar Data Products; Technical Report v.1; Jet Propulsion Laboratory, California Institute of Technology: Pasadena, CA, USA, 2012.
- Weiss, B.; Madatyan, M. Soil Moisture Active Passive (SMAP) Project Level 1C_S0_HiRes Product Specification Document Revision C; Technical Report D-72554; Jet Propulsion Laboratory, California Institute of Technology: Pasadena, CA, USA, 2016.
- SMAP Data 2015 (NASA). Dataset: SMAP_L1C_S0_HiRes_V3. Available online: https://asf.alaska.edu/ (accessed on 5 May 2017). [CrossRef]
- Tracy, B.; Devaliere, E.; Hanson, J.; Nicolini, T.; Tolman, H. Wind Sea and Swell Delineation for Numerical Wave Modeling. In Proceedings of the 10th International Workshop on Wave Hindcasting and Forecasting & Coastal Hazard Symposium, North Shore, HI, USA, 11–16 November 2007. [Google Scholar]
- Chawla, A.; Cao, D.; Gerald, V.M.; Spindler, T.; Tolman, H.L. Operational Implementation of a Multi-grid Wave Forecast System. In Proceedings of the 10th International Workshop on Wave Hindcasting and Forecasting & Coastal Hazerd Symposium, North Shore, HI, USA, 11–16 November.
- US DOC/NOAA/NWS/NDBC > National Data Buoy Center (1971). Meteorological and Oceanographic Data Collected from the National Data Buoy Center Coastal-Marine Automated Network (C-MAN) and Moored (Weather) Buoys. Subset 2014/2015 05-07. NOAA National Centers for Environmental Information. Dataset. Available online: https://www.ncei.noaa.gov/archive/accession/NDBC-CMANWx (accessed on 1 January 2017).
- Montoya, R.; Osorio Arias, A.; Ortiz Royero, J.; Ocampo-Torres, F. A wave parameters and directional spectrum analysis for extreme winds. Ocean Eng. 2013, 67, 100–118. [Google Scholar] [CrossRef]
- Lucas, C.; Soares, C.G. On the Modelling of Swell Spectra. Ocean Eng. 2015, 108, 749–759. [Google Scholar] [CrossRef]
- Hanson, J.L.; Phillips, O.M. Automated Analysis of Ocean Surface Directional Wave Spectra. J. Atmos. Ocean. Technol. 2001, 18, 277–293. [Google Scholar] [CrossRef]
- Wang, D.W.; Hwang, P.A. An Operational Method for Separating Wind Sea and Swell from Ocean Wave Spectra. J. Atmos. Ocean. Technol. 2001, 18, 2052–2062. [Google Scholar] [CrossRef]
- Portilla, J.; Ocampo-Torres, F.J.; Monbaliu, J. Spectral Partitioning and Identification of Wind Sea and Swell. J. Atmos. Ocean. Technol. 2009, 26, 107–122. [Google Scholar] [CrossRef]
- Hwang, P.A.; Ocampo-Torres, F.J.; García-Nava, H. Wind Sea and Swell Separation of 1D Wave Spectrum by a Spectrum Integration Method. J. Atmos. Ocean. Technol. 2012, 29, 116–128. [Google Scholar] [CrossRef]
- Kuik, A.J.; van Vledder, G.P.; Holthuijsen, L.H. A Method for the Routine Analysis of Pitch-and-Roll Buoy Wave Data. J. Phys. Oceanogr. 1988, 18, 1020–1034. [Google Scholar] [CrossRef]
- Zavorotny, V.U. WW3 MSS Extension up to the L-Band Cutoff; Technical Report; NOAA/CIRES/University of Colorado: Boulder, CO, USA, 2019.
- Wang, T.; Zavorotny, V.U.; Johnson, J.; Ruf, C.; Yi, Y. Modeling of Sea State Conditions for Improvement of Cygnss L2 Wind Speed Retrievals. In Proceedings of the 2018 IEEE International Geoscience and Remote Sensing Symposium (IGARSS 2018), Valencia, Spain, 22–27 July 2018; pp. 8288–8291. [Google Scholar]
- Quilfen, Y.; Chapron, B.; Collard, F.; Vandemark, D. Relationship between ERS Scatterometer Measurement and Integrated Wind and Wave Parameters. J. Atmos. Ocean. Technol. 2004, 21, 368–373. [Google Scholar] [CrossRef]




















| Month | Start Orbit | End Orbit | # of Data Files | Size (GB) |
|---|---|---|---|---|
| 04 | 01056_A | 01308_A | 504 | 650.8 |
| 05 | 01308_D | 01761_D | 837 | 1251.2 |
| 06 | 01762_A | 02200_A | 785 | 1198.6 |
| 07 | 02200_D | 02301_D | 200 | 308.8 |
| Partition # | (m) | (s) | (m) | (deg) | (deg) | (-) |
|---|---|---|---|---|---|---|
| 0 | 2.91 | 11.28 | 198.59 | 325.99 | 33.22 | 0.13 |
| 1 | 2.80 | 11.55 | 208.36 | 326.48 | 24.49 | 0.15 |
| 2 | 0.62 | 9.21 | 132.51 | 1.83 | 6.94 | 0 |
| 3 | 0.37 | 13.72 | 293.87 | 191.07 | 10.12 | 0 |
| 4 | 0.34 | 11.03 | 189.83 | 193.14 | 7.73 | 0 |
Publisher’s Note: MDPI stays neutral with regard to jurisdictional claims in published maps and institutional affiliations. |
© 2022 by the authors. Licensee MDPI, Basel, Switzerland. This article is an open access article distributed under the terms and conditions of the Creative Commons Attribution (CC BY) license (https://creativecommons.org/licenses/by/4.0/).
Share and Cite
Wijesundara, S.N.; Johnson, J.T. Physics-Based Forward Modeling of Ocean Surface Swell Effects on SMAP L1-C NRCS Observations. Sensors 2022, 22, 699. https://doi.org/10.3390/s22020699
Wijesundara SN, Johnson JT. Physics-Based Forward Modeling of Ocean Surface Swell Effects on SMAP L1-C NRCS Observations. Sensors. 2022; 22(2):699. https://doi.org/10.3390/s22020699
Chicago/Turabian StyleWijesundara, Shanka N., and Joel T. Johnson. 2022. "Physics-Based Forward Modeling of Ocean Surface Swell Effects on SMAP L1-C NRCS Observations" Sensors 22, no. 2: 699. https://doi.org/10.3390/s22020699
APA StyleWijesundara, S. N., & Johnson, J. T. (2022). Physics-Based Forward Modeling of Ocean Surface Swell Effects on SMAP L1-C NRCS Observations. Sensors, 22(2), 699. https://doi.org/10.3390/s22020699

