Recent Advances in Design and Implementation of Satellite Gateways for Massive Uncoordinated Access Networks
Abstract
:1. Introduction
- Increased flexibility of the air-interface, by supporting quadrature phase shift keying (QPSK) modulation and time domain pilot insertion, as opposed to the overlaid BPSK data and signaling channels as used in E-SSA,
- Reduction of the signal envelope peak-to-average ratio by implementing a quasi-constant envelope (CE) spread-spectrum waveform [11]. This feature enables a cost reduction of the transmitters by improving the power efficiency. In particular, it allows the non-linear power amplifiers to operate closer to the saturation point without distorting the transmitted signal. This scheme also provides a sharper power spectrum in the presence of non-linearity at the transmitter, hence much lower spectral side lobes, in order to better exploit the available bandwidth especially in the case of narrowband channels,
- Implementation of the MMSE receiver based on the multi-stage detector/despreader (MSD) approximation [9], which ensures a better performance when coupled with the QPSK modulation at the transmitter,
- Implementation of a more robust preamble searching and detection algorithm, in order to deal with harsher channel conditions (e.g., larger frequency offsets and Doppler rate values, typical of Low Earth Orbit (LEO) or Medium Earth Orbit (MEO) satellites scenarios).
2. Scenario Overview and Organization of the Paper
3. ME-SSA Transmitter Design and Waveform Definition
3.1. QPSK Modulation
3.2. Quasi Constant Envelope Waveform
3.3. MASSIVE Waveform Definition
4. ME-SSA Receiver Design
4.1. Recevier Block Scheme Overview
4.2. Preamble Searcher
- A coherent PS strategy, where the coherent integration time is equivalent to the preamble duration, is sufficient in the case of a GEO satellite,
- A non-coherent PS strategy is instead needed for LEO or MEO scenarios where the Doppler effect has to be taken into account. Here, the preamble is divided into contiguous segments, where coherent integration is carried out on each segment. Then, the resulting values are combined, according to the differential post detection integration (DPDI) approach [14].
4.2.1. Coherent PS
4.2.2. Non-Coherent PS
4.3. Burst Demodulator
- For each of the bursts, its samples are extracted by the memory window according to the time estimate of the PS and corrected by the associated frequency.
- A Doppler rate and further coarse frequency estimation on the preamble is carried out.
- The TFI is checked to tune the receiver parameters on the specific burst features.
- Input samples are despread recovering the received noisy symbols.
- Fine Doppler rate, frequency and phase are estimated and corrected by exploiting the pilot symbols.
- Finally, decoding is carried out and CRC is checked to assess if the burst is correctly demodulated.
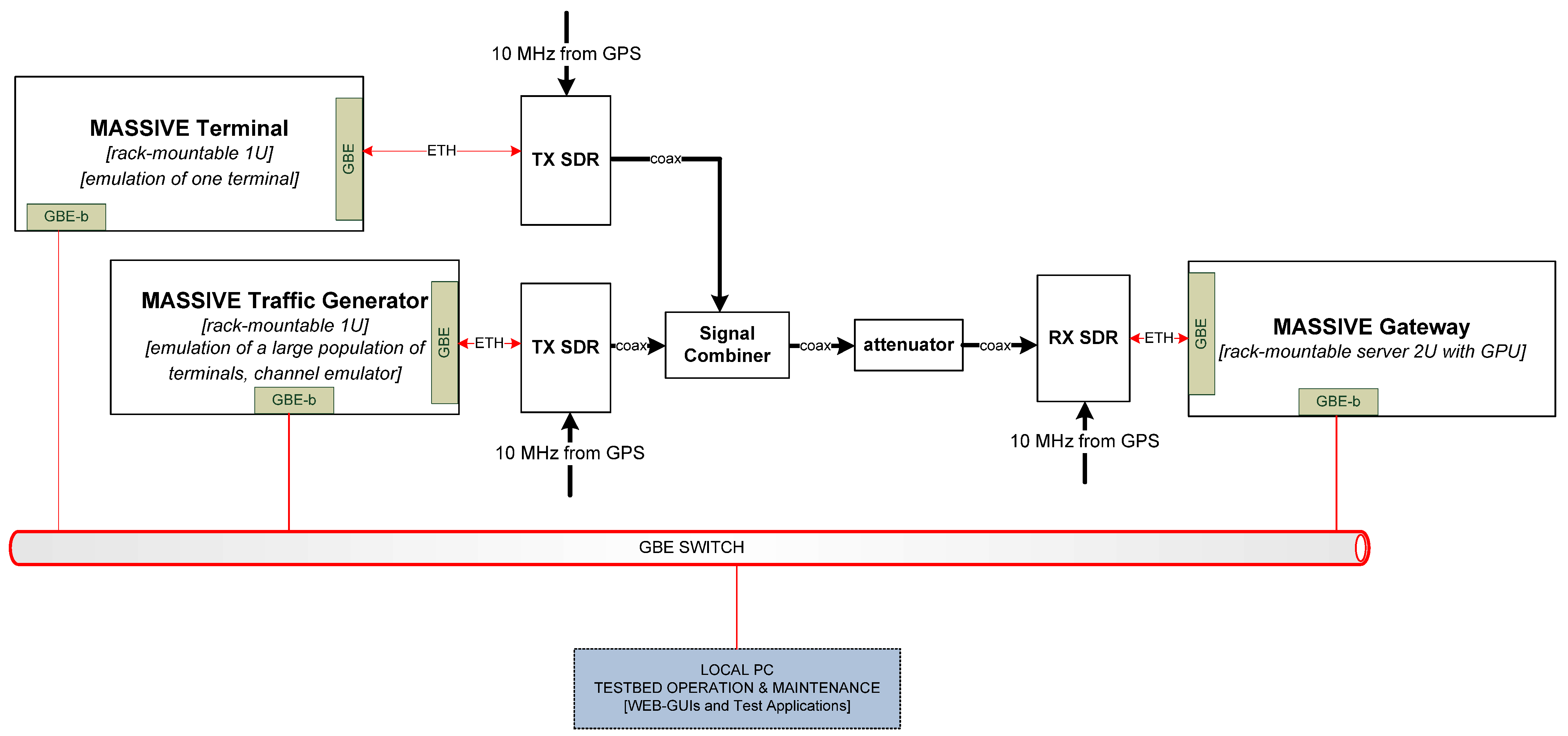
5. MASSIVE Test-Bed
5.1. Test Bed for the Evaluation of the Performance
- MASSIVE terminal, a single-unit (1U) rack-mountable server which emulates one terminal,
- MASSIVE traffic generator (TGR), a single-unit rack-mountable server with the aim to emulate the aggregated traffic from a large population of terminals and with the possibility to add a software emulation of the propagation channel,
- MASSIVE gateway, a 2U rack-mountable server equipped with CPU–GPUs with the purpose of emulating the receiver part of the system,
- The SDR radio devices, one per server, which implement the RF front-end.
5.2. Receiver Implementation Architecture
- Sample-level operations are better suited for implementation on the GPU,
- Symbol-level operations are better suited for implementation on the CPU.
- First, as the throughput increases, the advantages of utilizing MSD become more prominent, but processing is more demanding and the MAI due to the cancellation residual is also increasing,
- Second, as the spreading factor increases, the use of vector operations becomes more beneficial because of the burst sizes, therefore, the associated contiguous memory becomes bigger, but there are more burst boundaries per sample window, leading to more operations needing to be performed per second.
6. Simulation Results
6.1. Validaton of the MASSIVE Test-Bed
6.1.1. Validation of MASSIVE Waveforms
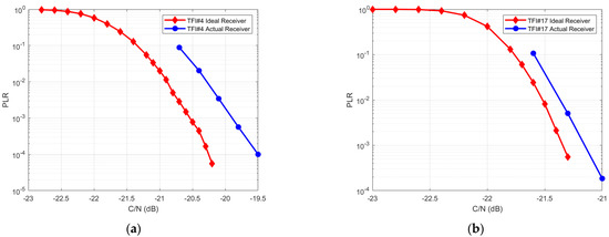
6.1.2. Validation of the ME-SSA Receiver and Implementation Loss Analysis
- The dispatcher logic was replaced with a “dispatch if full” logic. This meant that the scheduler accumulated chunks until a certain size was reached. When the vector was full it was delivered to the burst demodulator block,
- The size of the vectors was under a fine-tuning procedure which had the goal of finding a trade-off between providing a sufficient number of interfering bursts to the burst demodulator based on MSD while not significantly impacting the real-time functioning of the system.
6.2. Performance Results
6.2.1. Effect of Power Randomization
6.2.2. GEO and Non-GEO Scenarios
6.2.3. QPSK with SUMF Receiver
- Use Case #1: QPSK modulation can be chosen in order to double the data rate per-terminal, at the expense of reducing the number of simultaneous transmitting terminals by half.
- Use Case #2: BPSK modulation can be chosen in order to double the number of simultaneous transmitting terminals, at the expense of reducing the data rate per-terminal by half.
7. Concluding Remarks
- The PS, resilient to non-GEO scenario environments, and its adaptive threshold mechanism to better handle MDs and FAs in the case of an MSD demodulator,
- The single stages of MSD, which is the most resource demanding block of the receiver chain, in order to optimize their behavior as much as possible, trying not to increase the complexity beyond measure, while remaining adherent to the specifications,
- The weight calculation block, in order to find and implement the algorithm to calculate the weights to best approximate MMSE in the MSD approach.
8. Future Perspectives
Author Contributions
Funding
Institutional Review Board Statement
Informed Consent Statement
Data Availability Statement
Acknowledgments
Conflicts of Interest
References
- Centenaro, M.; Costa, C.E.; Granelli, F.; Sacchi, C.; Vangelista, L. A Survey on Technologies, Standards and Open Challenges in Satellite IoT. IEEE Commun. Surv. Tutor. 2021, 23, 1693–1720. [Google Scholar] [CrossRef]
- Arcidiacono, A.; Finocchiaro, D.; De Gaudenzi, R.; del Rio-Herrero, O.; Cioni, S.; Andrenacci, M.; Andreotti, R. Is Satellite Ahead of Terrestrial in Deploying NOMA for Massive Machine-Type Communications? Sensors 2021, 21, 4290. [Google Scholar] [CrossRef] [PubMed]
- De Gaudenzi, R.; Del Rio Herrero, O.; Gallinaro, G.; Cioni, S.; Arapoglou, P.D. Random access schemes for satellite networks, from VSAT to M2M: A survey. Int. J. Satell. Commun. Netw. 2018, 36, 66–107. [Google Scholar] [CrossRef]
- De Gaudenzi, R.; del Rio Herrero, O.; Gallinaro, G. Enhanced spread ALOHA physical layer design and performance. Int. J. Satell. Commun. Netw. 2014, 32, 457–473. [Google Scholar] [CrossRef]
- ETSI TS 102 721-3 V1.1.1 (2011-12): Satellite Earth Stations and Systems; Air Interface for S-band Mobile Interactive Multimedia (S-MIM). Part 3: Physical Layer Specification, Return Link Asynchronous Access. Available online: https://www.etsi.org/deliver/etsi_ts/102700_102799/10272103/01.01.01_60/ts_10272103v010101p.pdf (accessed on 16 November 2021).
- Scalise, S.; Blasco, F.L.; Cioni, S.; Esa, N.A.; Andrenacci, M. From S-MIM to F-SIM: Making Satellite Interactivity Affordable at Ku and Ka-band. Int. J. Satell. Commun. Netw. 2016, 34, 575–601. [Google Scholar]
- Caire, G.; Muller, R.; Tanaka, T. Iterative Multiuser Joint Decoding: Optimal Power Allocation and Low-Complexity Implementation. IEEE Trans. Inf. Theory 2004, 50, 1950–1973. [Google Scholar] [CrossRef]
- Caire, G.; Guemghar, S.; Roumy, A.; Verdu, S. Maximizing the spectral efficiency of coded CDMA under successive decoding. IEEE Trans. Inf. Theory 2004, 50, 152–164. [Google Scholar] [CrossRef]
- Gallinaro, G.; Alagha, N.; De Gaudenzi, R.; Kansanen, K.; Müller, R.; Salvo Rossi, P. ME-SSA: An Advanced Random Access for the Satellite Return Channel. In Proceedings of the 2015 IEEE International Conference on Communications (ICC), London, UK, 8–12 June 2015. [Google Scholar]
- ESA ARTES Project: MASSIVE: Satellite Gateway Development for Massive Uncoordinated Access Networks. 2020. Available online: https://artes.esa.int/projects/massive (accessed on 16 November 2021).
- Mueller, R. On Random CDMA with Constant Envelope. In Proceedings of the 2011 IEEE International Symposium on Information Theory Proceedings, St. Petersburg, Russia, 31 July–5 August 2011. [Google Scholar]
- De Gaudenzi, R.; Gallinaro, G.; Vernucci, A. Performance Assessment of the “Blind MOE” CDMA Interference-Mitigation Technique in a Realistic S-UMTS Environment. In Proceedings of the ECSC 5 Conference, Toulouse, France, 3–5 November 1999. [Google Scholar]
- ETSI TS 125 211 V3.12.0 (2002-09): Universal Mobile Telecommunications System (UMTS). Physical Channels and Mapping of Transport Channels onto Physical Channels (FDD). Available online: https://www.etsi.org/deliver/etsi_ts/125200_125299/125211/03.12.00_60/ts_125211v031200p.pdf (accessed on 16 November 2021).
- Villanti, M.; Salmi, P.; Corazza, G.E. Differential Post Detection Integration Techniques for Robust Code Acquisition. IEEE Trans. Commun. 2007, 55, 2172–2184. [Google Scholar] [CrossRef]
- Viterbi, A.J. CDMA, Principles of Spread Spectrum Communications; Addison-Wesley Wireless Communications Series; Addison-Wesley: Reading, MA, USA, 1995. [Google Scholar]
- Sessler, G.M.A.; Jondral, F.K. Low complexity polynomial expansion multiuser detector for CDMA systems. IEEE Trans. Veh. Technol. 2005, 54, 1379–1391. [Google Scholar] [CrossRef]
- Muller, R.R.; Verdu, S. Design and analysis of low-complexity interference mitigation on vector channels. IEEE J. Sel. Areas Commun. 2001, 19, 1429–1441. [Google Scholar] [CrossRef]
- Cottatellucci, L.; Debbah, M.; Gallinaro, G.; Neri, M. Interference Mitigation Techniques for Broadband Satellite Systems. In Proceedings of the 24th AIAA International Communications Satellite Systems Conference, San Diego, CA, USA, 11–14 June 2006. [Google Scholar] [CrossRef]
- Pérez-Fontán, F.; Vázquez-Castro, M.; Cabado, C.E.; García, J.P.; Kubista, E. Statistical modeling of the LMS channel. IEEE Trans. Veh. Technol. 2001, 50, 1549–1567. [Google Scholar] [CrossRef]
















| WF ID | ModCod | SF |
|---|---|---|
| TFI#25 | QPSK1/3 | 16 |
| TFI#9 | QPSK1/3 | 32 |
| TFI#4 | BPSK1/3 | 64 |
| TFI#5 | QPSK1/3 | 64 |
| TFI#7 | QPSK2/3 | 64 |
| TFI#6 | QPSK1/2 | 64 |
| TFI#17 | QPSK1/3 | 128 |
| TFI#33 | QPSK1/3 | 256 |
| WF | SF | MODCOD | C/N [dB] | MAC Load [pkt/s] @PLR = 10−3 SUMF | MAC Load [pkt/s] @PLR = 10−3 with MSD | Percentage Improvement |
|---|---|---|---|---|---|---|
| TFI#25 | 16 | QPSK1/3 | −12.0 | 79 | 119 | 50.63% |
| TFI#9 | 32 | QPSK1/3 | −15.1 | 102 | 124 | 21.56% |
| TFI#7 | 64 | QPSK2/3 | −11.8 | 175 | 210 | 20.00% |
| WF | SF | MODCOD | C/N [dB] | Measured PLR No Power Randomized | Measured PLR Power Randomized |
|---|---|---|---|---|---|
| TFI#25 | 16 | QPSK1/3 | −11.4 | 0.03553 | 0.00338 |
| TFI#9 | 32 | QPSK1/3 | −15.4 | 0.08752 | 0.00000 |
| TFI#4 | 64 | BPSK1/3 | −19.9 | 0.57831 | 0.00005 |
| TFI#5 | 64 | QPSK1/3 | −16.6 | 0.54291 | 0.00054 |
| TFI#7 | 64 | QPSK2/3 | −11.2 | 0.00764 | 0.00155 |
| TFI#6 | 64 | QPSK1/2 | −13.7 | 0.00084 | 0.00064 |
| TFI#17 | 128 | QPSK1/3 | −21.1 | 0.16193 | 0.00043 |
| TFI#33 | 256 | QPSK1/3 | −23.2 | 0.01181 | 0.00776 |
| TFI#9 and TFI#5 | 32 | QPSK1/3 | −10.0 | 0.23406 | 0.00155 |
| 64 |
Publisher’s Note: MDPI stays neutral with regard to jurisdictional claims in published maps and institutional affiliations. |
© 2022 by the authors. Licensee MDPI, Basel, Switzerland. This article is an open access article distributed under the terms and conditions of the Creative Commons Attribution (CC BY) license (https://creativecommons.org/licenses/by/4.0/).
Share and Cite
Isca, A.; Alagha, N.; Andreotti, R.; Andrenacci, M. Recent Advances in Design and Implementation of Satellite Gateways for Massive Uncoordinated Access Networks. Sensors 2022, 22, 565. https://doi.org/10.3390/s22020565
Isca A, Alagha N, Andreotti R, Andrenacci M. Recent Advances in Design and Implementation of Satellite Gateways for Massive Uncoordinated Access Networks. Sensors. 2022; 22(2):565. https://doi.org/10.3390/s22020565
Chicago/Turabian StyleIsca, Agostino, Nader Alagha, Riccardo Andreotti, and Marco Andrenacci. 2022. "Recent Advances in Design and Implementation of Satellite Gateways for Massive Uncoordinated Access Networks" Sensors 22, no. 2: 565. https://doi.org/10.3390/s22020565
APA StyleIsca, A., Alagha, N., Andreotti, R., & Andrenacci, M. (2022). Recent Advances in Design and Implementation of Satellite Gateways for Massive Uncoordinated Access Networks. Sensors, 22(2), 565. https://doi.org/10.3390/s22020565

