Efficient Model Assisted Probability of Detection Estimations in Eddy Current NDT with ACA-SVD Based Forward Solver
Abstract
1. Introduction
2. ACA-SVD Based BEM Forward Solver for Eddy Current NDE
2.1. BEM Model
2.2. ACA-SVD Algorithm
2.3. Validation of the ACA-SVD Based BEM Soler
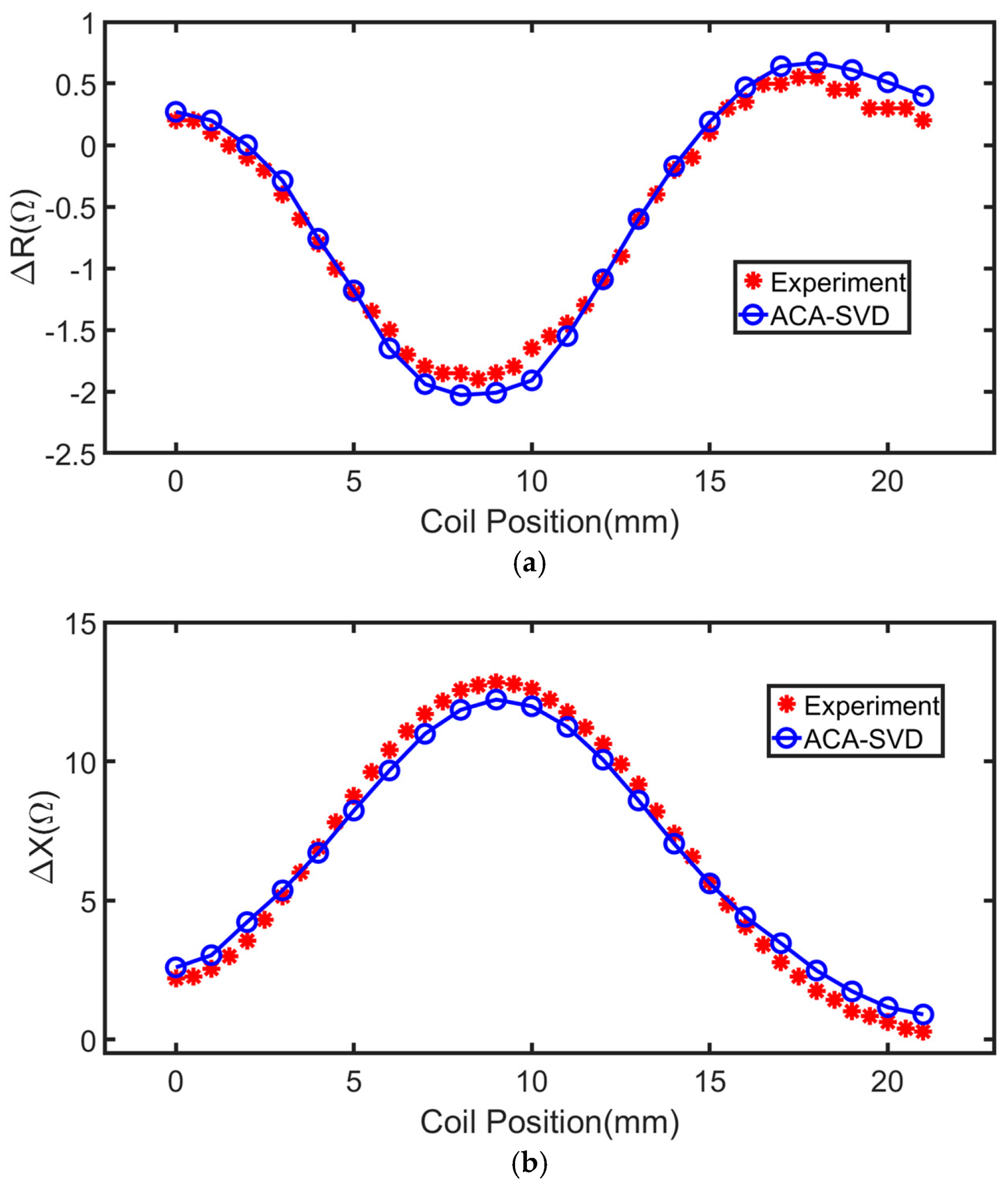
2.3.1. Coil with a Finite Cross Section Placed above the Conducting Plate
2.3.2. Coil with a Finite Cross Section Placed above the Thick Plate with a Surface Slot
3. PoD Analysis
4. Conclusions
Author Contributions
Funding
Institutional Review Board Statement
Informed Consent Statement
Data Availability Statement
Acknowledgments
Conflicts of Interest
References
- Luo, H.; Hanagud, S. An integral equation for changes in the structural dynamics characteristics of damaged structures. Int. J. Solids Struct. 1997, 34, 4557–4579. [Google Scholar] [CrossRef]
- Kharkovsky, S.; Zoughi, R. Microwave and millimeter wave nondestructive testing and evaluation-Overview and recent advances. IEEE Instrum. Meas. Mag. 2007, 10, 26–38. [Google Scholar] [CrossRef]
- Nsengiyumva, W.; Zhong, S.; Lin, J.; Zhang, Q.; Zhong, J.; Huang, Y. Advances, limitations and prospects of nondestructive testing and evaluation of thick composites and sandwich structures: A state-of-the-art review. Compos. Struct. 2021, 256, 112951. [Google Scholar] [CrossRef]
- Xie, S.; Duan, Z.; Li, J.; Tong, Z.; Tian, M.; Chen, Z. A novel magnetic force transmission eddy current array probe and its application for nondestructive testing of defects in pipeline structures. Sens. Actuators A Phys. 2020, 309, 112030. [Google Scholar] [CrossRef]
- Ciampa, F.; Mahmoodi, P.; Pinto, F.; Meo, M. Recent advances in active infrared thermography for non-destructive testing of aerospace components. Sensors 2018, 18, 609. [Google Scholar] [CrossRef] [PubMed]
- Bakhtiari, S.; Chien, H.T.; Heifetz, A.; Elmer, T.W. Nondestructive testing research and development efforts at Argonne National Laboratory: An overview. Mater. Eval. 2018, 76, 911–920. [Google Scholar]
- Saniie, J.; Mohamed, M.A. Ultrasonic flaw detection based on mathematical morphology. IEEE Trans. Ultrason. Ferroelectr. Freq. Control 1994, 41, 150–160. [Google Scholar] [CrossRef]
- Abbate, A.; Koay, J.; Frankel, J.; Schroeder, S.C.; Das, P. Signal detection and noise suppression using a wavelet transform signal processor: Application to ultrasonic flaw detection. IEEE Trans. Ultrason. Ferroelectr. Freq. Control 1997, 44, 14–26. [Google Scholar] [CrossRef]
- Kurz, J.H.; Jungert, A.; Dugan, S.; Dobmann, G.; Boller, C. Reliability considerations of NDT by probability of detection (POD) determination using ultrasound phased array. Eng. Fail. Anal. 2013, 35, 609–617. [Google Scholar] [CrossRef]
- Rentala, V.K.; Mylavarapu, P.; Gautam, J.P. Issues in estimating probability of detection of NDT techniques—A model assisted approach. Ultrasonics 2018, 87, 59–70. [Google Scholar] [CrossRef]
- Bato, M.R.; Hor, A.; Rautureau, A.; Bes, C. Experimental and numerical methodology to obtain the probability of detection in eddy current NDT method. NDT E Int. 2020, 114, 102300. [Google Scholar] [CrossRef]
- Aldrin, J.C.; Sabbagh, H.A.; Murphy, R.K.; Sabbagh, E.H.; Knopp, J.S.; Lindgren, E.A.; Cherry, M.R. Demonstration of model-assisted probability of detection evaluation methodology for eddy current nondestructive evaluation. In Proceedings of the Review of Progress in Quantitative Nondestructive Evaluation, Burlington, VT, USA, 17–22 July 2011; AIP Conference Proceedings: Melville, NY, USA, 2012; Volume 1430, pp. 1733–1740. [Google Scholar]
- Aldrin, J.C.; Medina, E.A.; Lindgren, E.A.; Buynak, C.F.; Knopp, J.S. Case studies for model-assisted probabilistic reliability assessment for structural health monitoring systems. In Proceedings of the Review of Progress in Quantitative Nondestructive Evaluation, San Diego, CA, USA, 18–23 July 2010; AIP Conference Proceedings: Melville, NY, USA, 2011; Volume 1335, pp. 1589–1596. [Google Scholar]
- Rosell, A. Efficient finite element modelling of eddy current probability of detection with transmitter–receiver sensors. NDT E Int. 2015, 75, 48–56. [Google Scholar] [CrossRef]
- Rajesh, S.N.; Udpa, L.; Udpa, S.S. Numerical model based approach for estimating probability of detection in NDE applications. IEEE Trans. Magn. 1993, 29, 1857–1860. [Google Scholar] [CrossRef]
- Chebout, M.; Azizi, H.; Mekideche, M.R. A model assisted probability of detection approach for ECNDT of hidden defect in aircraft structures. Prog. Electromagn. Res. Lett. 2021, 95, 1–8. [Google Scholar] [CrossRef]
- Reboud, C.; Pichenot, G.; Paillard, S.; Jenson, F. Statistical study of ECT detection around fasteners using simulation based POD curves. In Proceedings of the Review of Progress in Quantitative Nondestructive Evaluation, Kinston, RI, USA, 26–31 July 2009; AIP Conference Proceedings: Melville, NY, USA, 2010; Volume 1211, pp. 1903–1910. [Google Scholar]
- Hall, W.S. The Boundary Element Method; Springer: Dordrecht, The Netherlands, 1994; pp. 61–83. [Google Scholar]
- Bowler, J.R. Eddy-current interaction with an ideal crack. I. The forward problem. J. Appl. Phys. 1994, 75, 8128–8137. [Google Scholar] [CrossRef]
- Theodoulidis, T.P.; Poulakis, N.; Dragogias, A. Rapid computation of eddy current signals from narrow cracks. NDT E Int. 2009, 43, 13–19. [Google Scholar] [CrossRef]
- Baskaran, P.; Pasadas, D.J.; Ramos, H.G.; Ribeiro, A.L. Integration of multiple response signals into the probability of detection modelling in eddy current NDE of flaws. NDT E Int. 2021, 118, 102401. [Google Scholar] [CrossRef]
- Baskaran, P.; Pasadas, D.J.; Ribeiro, A.L.; Ramos, H.G. Probability of detection modelling in eddy current NDE of flaws integrating multiple correlated variables. NDT E Int. 2021, 123, 102499. [Google Scholar] [CrossRef]
- Chew, W.C.; Tong, M.S.; Hu, B. Integral Equation Methods for Electromagnetic and Elastic Waves, 1st ed.; Morgan & Claypool: London, UK, 2008; pp. 107–160. [Google Scholar]
- Chew, W.C.; Jin, J.M.; Lu, C.C.; Michielssen, E.; Song, J.M. Fast solution methods in electromagnetics. IEEE Trans. Antennas Propag. 1997, 45, 533–543. [Google Scholar] [CrossRef]
- Song, J.M.; Lu, C.C.; Chew, W.C. Multilevel fast multipole algorithm for electromagnetic scattering by large complex objects. IEEE Trans. Antennas Propag. 1997, 45, 1488–1493. [Google Scholar] [CrossRef]
- Song, J.M.; Chew, W.C. Multilevel fast-multipole algorithm for solving combined field integral equations of electromagnetic scattering. Microw. Opt. Technol. Lett. 1995, 10, 14–19. [Google Scholar] [CrossRef]
- Bebendorf, M. Approximation of boundary element matrices. Numer. Math. 2000, 86, 565–589. [Google Scholar] [CrossRef]
- Tamayo, J.M.; Heldring, A.; Rius, J.M. Multilevel adaptive cross approximation (MLACA). IEEE Trans. Antennas Propag. 2011, 59, 4600–4608. [Google Scholar] [CrossRef]
- Bao, Y.; Liu, Z.W.; Bowler, J.R.; Song, J. Multilevel adaptive cross approximation for efficient modeling of 3D arbitrary shaped eddy current NDE problems. NDT E Int. 2019, 104, 1–9. [Google Scholar] [CrossRef]
- Bao, Y.; Liu, Z.W.; Song, J. Adaptive cross approximation algorithm for accelerating BEM in eddy current nondestructive evaluation. J. Nondestruct. Eval. 2018, 37, 68. [Google Scholar] [CrossRef]
- Hackbusch, W. A sparse matrix arithmetic based on H-matrices. Part I: Introduction to H-matrices. Computing 1999, 62, 89–108. [Google Scholar] [CrossRef]
- Chai, W.W.; Jiao, D. An H2-matrix-based integral-equation solver of reduced complexity and controlled accuracy for solving electrodynamic problems. IEEE Trans. Antennas Propag. 2009, 57, 3147–3159. [Google Scholar] [CrossRef]
- Bao, Y.; Song, J.M. Multilevel kernel degeneration–adaptive cross approximation method to model eddy current NDE problems. J. Nondestruct. Eval. 2022, 41, 17. [Google Scholar] [CrossRef]
- Bao, Y.; Wan, T.; Liu, Z.; Bowler, J.R.; Song, J. Integral equation fast solver with truncated and degenerated kernel for computing flaw signals in eddy current non-destructive testing. NDT E Int. 2021, 124, 102544. [Google Scholar] [CrossRef]
- Bebendorf, M.; Kunis, S. Recompression techniques for adaptive cross approximation. J. Integral Equ. Appl. 2009, 21, 331–357. [Google Scholar] [CrossRef]
- Stratton, J.A. Electromagnetic Theory; McGraw-Hill: New York, NY, USA, 1941. [Google Scholar]
- Yang, M. Efficient Method for Solving Boundary Integral Equation in Diffusive Scalar Problem and Eddy Current Nondestructive Evaluation. Ph.D. Dissertation, Iowa State University, Ames, IA, USA, 2010. [Google Scholar]
- Bao, Y.; Song, J.M. Analysis of electromagnetic non-destructive evaluation modelling using Stratton-Chu formulation-based fast algorithm. Philos. Trans. R. Soc. A 2020, 378, 20190583. [Google Scholar] [CrossRef] [PubMed]
- Rao, S.M.; Wilton, D.R.; Glisson, A.W. Electromagnetic scattering by surfaces of arbitrary shape. IEEE Trans. Antennas Propag. 1982, 30, 409–428. [Google Scholar] [CrossRef]
- Saad, Y.; Schultz, M.H. GMRES: A generalized minimal residual algorithm for solving nonsymmetric linear systems. SIAM J. Sci. Stat. Comput. 1986, 7, 856–869. [Google Scholar] [CrossRef]
- Börm, S.; Grasedyck, L. Hybrid cross approximation of integral operators. Numer. Math. 2005, 101, 221–249. [Google Scholar] [CrossRef]
- Theodoulidis, T.P.; Bowler, J.R. Eddy current coil interaction with a right-angled conductive wedge. Proc. R. Soc. 2005, 461, 3123–3139. [Google Scholar] [CrossRef]
- Dodd, C.V.; Deeds, W.E. Analytical solutions to eddy-current probe-coil problems. J. Appl. Phys. 1968, 39, 2829–2838. [Google Scholar] [CrossRef]
- Sabbagh, H.A.; Burke, S.K. Benchmark problems in eddy-current NDE. In Proceedings of the Review of Progress in Quantitative Nondestructive Evaluation, Brunswick, ME, USA, 28 July–2 August 1992; AIP Conference Proceedings: Melville, NY, USA, 1992; Volume 28, pp. 217–224. [Google Scholar]
- Virkkunen, I.; Koskinen, T.; Papula, S.; Sarikka, T.; Hänninen, H. Comparison of â versus a and Hit/Miss POD-Estimation methods: A European viewpoint. J. Nondestruct. Eval. 2019, 38, 89. [Google Scholar] [CrossRef]
- Stigler, S.M. The epic story of maximum likelihood. Stat. Sci. 2007, 22, 592–620. [Google Scholar] [CrossRef]







| Coil Parameters | C5 | C27 |
|---|---|---|
| Inner Radius (mm) | 9.33 | 7.04 |
| Outer Radius (mm) | 18.04 | 12.4 |
| Liftoff Distance (mm) | 3.32 | 3.43 |
| Thickness (mm) | 10.05 | 5.04 |
| Number of Turns | 1910 | 556 |
| Coil Parameters | B1 | B2 |
|---|---|---|
| Conductivity (MS/m) | 25.5 | 21.8 |
| Thickness (mm) | 140 | 65 |
| Method | |
|---|---|
| ACA-SVD (,) | |
| ACA () | |
| BEM [30] | |
| Experiment [42] | |
| Theodoulidis and Bowler [42] | |
| Dodd and Deeds [43] |
Publisher’s Note: MDPI stays neutral with regard to jurisdictional claims in published maps and institutional affiliations. |
© 2022 by the authors. Licensee MDPI, Basel, Switzerland. This article is an open access article distributed under the terms and conditions of the Creative Commons Attribution (CC BY) license (https://creativecommons.org/licenses/by/4.0/).
Share and Cite
Bao, Y.; Xu, M.; Qiu, J.; Song, J. Efficient Model Assisted Probability of Detection Estimations in Eddy Current NDT with ACA-SVD Based Forward Solver. Sensors 2022, 22, 7625. https://doi.org/10.3390/s22197625
Bao Y, Xu M, Qiu J, Song J. Efficient Model Assisted Probability of Detection Estimations in Eddy Current NDT with ACA-SVD Based Forward Solver. Sensors. 2022; 22(19):7625. https://doi.org/10.3390/s22197625
Chicago/Turabian StyleBao, Yang, Minxuan Xu, Jiahao Qiu, and Jiming Song. 2022. "Efficient Model Assisted Probability of Detection Estimations in Eddy Current NDT with ACA-SVD Based Forward Solver" Sensors 22, no. 19: 7625. https://doi.org/10.3390/s22197625
APA StyleBao, Y., Xu, M., Qiu, J., & Song, J. (2022). Efficient Model Assisted Probability of Detection Estimations in Eddy Current NDT with ACA-SVD Based Forward Solver. Sensors, 22(19), 7625. https://doi.org/10.3390/s22197625
