Smartphone Sensor-Based Human Motion Characterization with Neural Stochastic Differential Equations and Transformer Model
Abstract
1. Introduction
2. Methods
2.1. Preliminaries
2.1.1. Neural Stochastic Differential Equations
2.1.2. Transformer Model
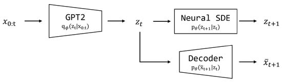
2.2. Problem Formulation and Training
2.2.1. Generative Component: Neural SDEs and Decoder
2.2.2. Variational Distributions
2.2.3. Training Based on Variational Approximation
| Algorithm 1: Training Procedure |
|
3. Experiments
3.1. Data Collection
- (a)
- A straight corridor (about 75 m) for walking and running motion and a place unobstructed by people for the other motions (squats and jumping jacks) were chosen.
- (b)
- A smartphone was placed on the left side of the subject’s left leg, in a location similar to the trousers pocket.
- (c)
- MATLAB Mobile was used for accessing built-in sensors on the iPhone with a sampling rate of 30 Hz.
- (d)
- Motions were executed by each subjects.
- (e)
- During step (d), the raw sensor data were collected by the gyroscope sensor.
- (f)
- After acquiring the sensor data, the data were automatically uploaded to a cloud server provided by MathWorks, and the data were accessed via the computer used to train the model.
3.2. Experimental Results
4. Discussion and Conclusions
4.1. Discussion
4.1.1. User Identification
4.1.2. Optimized Initial Latent States
4.1.3. Other Related Topics: Characterizing Multiple Motions, Normal Latent Region, and Motion Switching
4.2. Conclusions
Author Contributions
Funding
Institutional Review Board Statement
Informed Consent Statement
Data Availability Statement
Conflicts of Interest
Appendix A. Details about Architecture and Hyper-Parameters
| Name | Symbol | Value |
|---|---|---|
| Batch size | B | 128 |
| Sequence length | T | 90 |
| Embedding size | E | 16 |
| Latent dimensions | k | 2 |
| GPT2 number of layers | – | 2 |
| GPT2 number of heads | – | 1 |
| Drift MLP sizes | – | [32,32] |
| Initial diffusion std | 0.2 | |
| Initial state std | 0.2 | |
| Decoder MLP sizes | – | [256,256] |
| Learning rate | 0.001 | |
| KL loss scale | 1.0 | |
| Contrast loss scale | 100.0 |
References
- Wang, J.M.; Fleet, D.J.; Hertzmann, A. Gaussian process dynamical models for human motion. IEEE Trans. Pattern Anal. Mach. Intell. 2007, 30, 283–298. [Google Scholar] [CrossRef] [PubMed]
- Kim, T.; Park, J.; Heo, S.; Sung, K.; Park, J. Characterizing dynamic walking patterns and detecting falls with wearable sensors using Gaussian process methods. Sensors 2017, 17, 1172. [Google Scholar] [CrossRef] [PubMed]
- Kim, J.; Lee, J.; Jang, W.; Lee, S.; Kim, H.; Park, J. Two-stage latent dynamics modeling and filtering for characterizing individual walking and running patterns with smartphone sensors. Sensors 2019, 19, 2712. [Google Scholar] [CrossRef] [PubMed]
- Uddin, M.Z.; Soylu, A. Human activity recognition using wearable sensors, discriminant analysis, and Long Short-Term Memory-based neural structured learning. Sci. Rep. 2021, 11, 16455. [Google Scholar]
- Mukherjee, D.; Mondal, R.; Singh, P.K.; Sarkar, R.; Bhattacharjee, D. EnsemConvNet: A deep learning approach for human activity recognition using smartphone sensors for healthcare applications. Multimed. Tools Appl. 2020, 79, 31663–31690. [Google Scholar] [CrossRef]
- Ronao, C.A.; Cho, S.B. Human activity recognition with smartphone sensors using deep learning neural networks. Expert Syst. Appl. 2016, 59, 235–244. [Google Scholar] [CrossRef]
- Jiang, W.; Yin, Z. Human activity recognition using wearable sensors by deep convolutional neural networks. In Proceedings of the 23rd ACM International Conference on Multimedia, Brisbane, Australia, 26–30 October 2015; ACM: New York, NY, USA, 2015; pp. 1307–1310. [Google Scholar]
- Wang, N.; Ambikairajah, E.; Lovell, N.H.; Celler, B.G. Accelerometry based classification of walking patterns using time-frequency analysis. In Proceedings of the 2007 29th Annual International Conference of the Engineering in Medicine and Biology Society (EMBS 2007), Lyon, France, 23–26 August 2007; Volume 5, pp. 4899–4902. [Google Scholar]
- Khan, Z.N.; Ahmad, J. Attention induced multi-head convolutional neural network for human activity recognition. Appl. Soft Comput. 2021, 110, 107671. [Google Scholar] [CrossRef]
- Augustinov, G.; Nisar, M.A.; Li, F.; Tabatabaei, A.; Grzegorzek, M.; Sohrabi, K.; Fudickar, S. Transformer-Based Recognition of Activities of Daily Living from Wearable Sensor Data. Available online: https://doi.org/10.21203/rs.3.rs-2015249/v1 (accessed on 12 July 2022).
- Shi, S.; Wang, Y.; Dong, H.; Gui, G.; Ohtsuki, T. Smartphone-Aided Human Activity Recognition Method Using Residual Multi-Layer Perceptron. In Proceedings of the IEEE INFOCOM 2022-IEEE Conference on Computer Communications Workshops (INFOCOM WKSHPS), New York, NY, USA, 2–5 May 2022; pp. 1–6. [Google Scholar]
- Zhang, Y.; Zhang, Y.; Zhang, Z.; Bao, J.; Song, Y. Human activity recognition based on time series analysis using U-Net. arXiv 2018, arXiv:1809.08113. [Google Scholar]
- Wu, J.; Feng, Y.; Sun, P. Sensor fusion for recognition of activities of daily living. Sensors 2018, 18, 4029. [Google Scholar] [CrossRef] [PubMed]
- Kidger, P.; Foster, J.; Li, X.; Lyons, T.J. Neural sdes as infinite-dimensional gans. In Proceedings of the International Conference on Machine Learning, Virtual, 18–24 July 2021; pp. 5453–5463. [Google Scholar]
- Vaswani, A.; Shazeer, N.; Parmar, N.; Uszkoreit, J.; Jones, L.; Gomez, A.N.; Kaiser, Ł.; Polosukhin, I. Attention is all you need. In Proceedings of the Advances in Neural Information Processing Systems 30 (NIPS 2017), Long Beach, CA, USA, 4–9 December 2017; pp. 5998–6008. [Google Scholar]
- Radford, A.; Wu, J.; Child, R.; Luan, D.; Amodei, D.; Sutskever, I. Language models are unsupervised multitask learners. OpenAI Blog 2019, 1, 9. [Google Scholar]
- Särkkä, S.; Solin, A. Applied Stochastic Differential Equations; Cambridge University Press: Cambridge, UK, 2019; Volume 10. [Google Scholar]
- Jolliffe, I. Principal Component Analysis. Encyclopedia of Statistics in Behavioral Science. Available online: https://doi.org/10.1002/0470013192.bsa501 (accessed on 12 July 2022).
- Ross, D.A.; Lim, J.; Lin, R.S.; Yang, M.H. Incremental learning for robust visual tracking. Int. J. Comput. Vis. 2008, 77, 125–141. [Google Scholar] [CrossRef]
- Haykin, S. Neural Networks: A Comprehensive Foundation; Prentice Hall PTR: Hoboken, NJ, USA, 1994. [Google Scholar]
- Krishnan, R.G.; Shalit, U.; Sontag, D. Structured inference networks for nonlinear state space models. In Proceedings of the Thirty-First AAAI Conference on Artificial Intelligence, San Francisco, CA, USA, 4–9 February 2017. [Google Scholar]
- Zhao, T.Z.; Nagabandi, A.; Rakelly, K.; Finn, C.; Levine, S. Meld: Meta-reinforcement learning from images via latent state models. arXiv 2020, arXiv:2010.13957. [Google Scholar]
- Xie, Z.; Liu, C.; Zhang, Y.; Lu, H.; Wang, D.; Ding, Y. Adversarial and Contrastive Variational Autoencoder for Sequential Recommendation. Available online: https://arxiv.org/pdf/2103.10693.pdf (accessed on 12 July 2022).
- Oord, A.V.D.; Li, Y.; Vinyals, O. Representation learning with contrastive predictive coding. arXiv 2018, arXiv:1807.03748. [Google Scholar]
- Guo, Z.D.; Azar, M.G.; Piot, B.; Pires, B.A.; Munos, R. Neural predictive belief representations. arXiv 2018, arXiv:1811.06407. [Google Scholar]
- Bishop, C.M. Pattern Recognition and Machine Learning; Springer: New York, NY, USA, 2006. [Google Scholar]
- Kingma, D.P.; Welling, M. Auto-Encoding Variational Bayes. The International Conference on Learning Representations (ICLR) 2014. Available online: https://arxiv.org/pdf/1312.6114v10.pdf (accessed on 1 May 2014).
- Matlab Application. Available online: https://apps.apple.com/us/app/matlab-mobile/id370976661 (accessed on 12 July 2022).
- iPhone XS Max Specification. Available online: https://support.apple.com/kb/SP780?viewlocale=en_US&locale=ko_KR (accessed on 12 July 2022).
- Paszke, A.; Gross, S.; Chintala, S.; Chanan, G.; Yang, E.; DeVito, Z.; Lin, Z.; Desmaison, A.; Antiga, L.; Lerer, A. Automatic Differentiation in Pytorch., NIPS-W 2017. Available online: https://openreview.net/forum?id=BJJsrmfCZ (accessed on 12 July 2022).
- Definition of Walking and Running, Walk Jog Run Club. Available online: http://www.wjrclub.com/terms-and-definitions.html (accessed on 12 July 2022).
- Definition of Squats, Healthline Media. Available online: https://www.healthline.com/health/exercise-fitness/what-muscles-do-squats-work#how-to (accessed on 12 July 2022).
- Definition of Jumping Jacks, Healthline Media. Available online: https://www.healthline.com/health/fitness-exercise/jumping-jacks#how-to (accessed on 12 July 2022).
- Loshchilov, I.; Hutter, F. Decoupled weight decay regularization. arXiv 2017, arXiv:1711.05101. [Google Scholar]
- Kolic, B.; Sabuco, J.; Farmer, J.D. Estimating initial conditions for dynamical systems with incomplete information. Nonlinear Dyn. 2022, 108, 3783–3805. [Google Scholar] [CrossRef]
- Chen, N.; Karl, M.; Van Der Smagt, P. Dynamic movement primitives in latent space of time-dependent variational autoencoders. In Proceedings of the 2016 IEEE-RAS 16th International Conference on Humanoid Robots (Humanoids), Cancun, Mexico, 15–17 November 2016; pp. 629–636. [Google Scholar]
- Chen, Y.C. A tutorial on kernel density estimation and recent advances. Biostat. Epidemiol. 2017, 1, 161–187. [Google Scholar] [CrossRef]
- Virtanen, P.; Gommers, R.; Oliphant, T.E.; Haberl, M.; Reddy, T.; Cournapeau, D.; Burovski, E.; Peterson, P.; Weckesser, W.; Bright, J.; et al. SciPy 1.0: Fundamental algorithms for scientific computing in Python. Nat. Methods 2020, 17, 261–272. [Google Scholar] [CrossRef] [PubMed]
- Hunter, J.D. Matplotlib: A 2D graphics environment. Comput. Sci. Eng. 2007, 9, 90–95. [Google Scholar] [CrossRef]





















| Subjects | Gender | Height (cm) | Weight (kg) |
|---|---|---|---|
| Subject 1 | M | 175 | 80 |
| Subject 2 | M | 172 | 67 |
| Subject 3 | F | 163 | 68 |
| Subject 4 | M | 164 | 62 |
| Subject 5 | M | 188 | 75 |
| Subject 6 | M | 174 | 65 |
| Subject 7 | M | 167 | 56 |
| Subject 8 | M | 171 | 74 |
| Subject 9 | F | 164 | 70 |
| Subject 10 | F | 158 | 57 |
| Average | 169.6 | 67.4 |
| Notation | Meaning |
|---|---|
| Angular velocities around the -directions, respectively | |
| Square root of the sum of squares of angular velocities, |
Publisher’s Note: MDPI stays neutral with regard to jurisdictional claims in published maps and institutional affiliations. |
© 2022 by the authors. Licensee MDPI, Basel, Switzerland. This article is an open access article distributed under the terms and conditions of the Creative Commons Attribution (CC BY) license (https://creativecommons.org/licenses/by/4.0/).
Share and Cite
Lee, J.; Kim, T.; Park, J.; Park, J. Smartphone Sensor-Based Human Motion Characterization with Neural Stochastic Differential Equations and Transformer Model. Sensors 2022, 22, 7480. https://doi.org/10.3390/s22197480
Lee J, Kim T, Park J, Park J. Smartphone Sensor-Based Human Motion Characterization with Neural Stochastic Differential Equations and Transformer Model. Sensors. 2022; 22(19):7480. https://doi.org/10.3390/s22197480
Chicago/Turabian StyleLee, Juwon, Taehwan Kim, Jeongho Park, and Jooyoung Park. 2022. "Smartphone Sensor-Based Human Motion Characterization with Neural Stochastic Differential Equations and Transformer Model" Sensors 22, no. 19: 7480. https://doi.org/10.3390/s22197480
APA StyleLee, J., Kim, T., Park, J., & Park, J. (2022). Smartphone Sensor-Based Human Motion Characterization with Neural Stochastic Differential Equations and Transformer Model. Sensors, 22(19), 7480. https://doi.org/10.3390/s22197480
